Verordening (EU) Nr. 1215/2012 van het Europees Parlement en de Raad van 12 december 2012 betreffende de rechterlijke bevoegdheid, de erkenning en de tenuitvoerlegging van beslissingen in burgerlijke en handelszaken (de ‘herschikte EEX-Verordening’)
Rb. Den Haag, 25-09-2019, nr. C/09/563488 / HA ZA 18-1176
ECLI:NL:RBDHA:2019:10064, Hoger beroep: (Gedeeltelijke) vernietiging en zelf afgedaan
- Instantie
Rechtbank Den Haag
- Datum
25-09-2019
- Zaaknummer
C/09/563488 / HA ZA 18-1176
- Vakgebied(en)
Intellectuele-eigendomsrecht (V)
- Brondocumenten en formele relaties
ECLI:NL:RBDHA:2019:10064, Uitspraak, Rechtbank Den Haag, 25‑09‑2019; (Bodemzaak, Eerste aanleg - meervoudig)
Hoger beroep: ECLI:NL:GHDHA:2021:2057, (Gedeeltelijke) vernietiging en zelf afgedaan
ECLI:NL:RBDHA:2018:15034, Uitspraak, Rechtbank Den Haag, 19‑12‑2018; (Bodemzaak, Eerste aanleg - enkelvoudig)
- Vindplaatsen
BIE 2019/13
Uitspraak 25‑09‑2019
Inhoudsindicatie
Octrooirecht. Nederlandse deel Europees octrooi vectored-VDSL grotendeels vernietigd wegens toegevoegde materie. Overwegingen ten overvloede ten aanzien van (niet-)inbreuk. zie ook ecli:nl:rbdha:2018:15034.
Partij(en)
vonnis
RECHTBANK DEN HAAG
Team handel
zaaknummer / rolnummer: C/09/563488 / HA ZA 18-1176
Vonnis van 25 september 2019
in de zaak van
de rechtspersoon naar vreemd recht
ADAPTIVE SPECTRUM AND SIGNAL ALIGNMENT INCORPORATED,
te Redwood Shores, California, Verenigde Staten van Amerika,
eiseres in conventie,
verweerster in reconventie,
advocaat mr. J.A. Dullaart te Naaldwijk,
tegen
1. KONINKLIJKE KPN N.V.,
te Rotterdam,
2. TELFORT ZAKELIJK B.V.,
te Oostrum, gemeente Venray,
3. XS4ALL INTERNET B.V.,
te Amsterdam,
4. KPN B.V.,
te Rotterdam,
gedaagden in conventie,
eiseressen in reconventie,
advocaat mr. F.W. Gerritzen te Amsterdam
en
NOKIA SOLUTIONS AND NETWORKS NEDERLAND B.V.
te Den Haag,
gevoegd aan de zijde van gedaagden,
advocaat: mr. A. Killan te Den Haag.
Partijen zullen hierna ASSIA, KPN c.s. en Nokia genoemd worden, en gedaagden afzonderlijk ook KPN NV, Telfort, XS4ALL, KPN BV.
Voor ASSIA is de zaak ter zitting inhoudelijk behandeld door mr. J.D. Drok, mr. ir. R.C. Laddé en mr. E. Kenninck, advocaten te Amsterdam, bijgestaan door de octrooigemachtigde ir. C. Box. KPN c.s. is bijgestaan door haar advocaat en door zijn kantoorgenoot mr. L.J. Braams en voor Nokia traden op haar advocaat, voornoemd, mr. P. van Gemert en mr. ir. K. Hsia, advocaten te Den Haag, bijgestaan door de octrooigemachtigden dr. ir. J.J. Hutter en dr. ir. H. van der Heijden.
1. De procedure
1.1.
Het verloop van de procedure blijkt uit:
- -
de beschikkingen van de voorzieningenrechter van deze rechtbank van 5 oktober 2018 en 11 oktober 2018 waarbij ASSIA verlof is verleend KPN c.s. te dagvaarden volgens de regeling voor de versnelde bodemprocedure in octrooizaken (hierna: VRO-reglement);
- -
het vonnis in het incident van 19 december 2018 en de daarin aangeduide stukken;
- -
het verzoek van ASSIA van 21 november 2018 tot vertrouwelijke behandeling van een nog over te leggen volledige versie van EP19;
- -
de conclusie van antwoord in conventie, tevens conclusie van eis in reconventie, van 30 januari 2019 met producties GP1 t/m GP23;
- -
de conclusie van antwoord gevoegde partij van 30 januari 2019 met producties VP1 t/m VP45;
- -
de conclusie van antwoord in reconventie van 27 maart 2019 met producties EP27 t/m EP48;
- -
de akte houdende overlegging aanvullende producties, tevens verzoek vertrouwelijke behandeling van ASSIA van 8 mei 2019 met producties EP49 t/m GP60;
- -
de akte overlegging aanvullende productie van KPN c.s. van 8 mei 2019 met producties GP24 t/m GP30;
- -
de akte houdende overlegging nadere producties gevoegde partij van 8 mei 2019 met producties VP46 t/m VP61;
- -
de akte houdende overlegging reactieve producties van ASSIA van 7 juni 2019 met producties EP61 t/m EP67;
- -
de akte overlegging reactieve producties GP31 en GP32 van KPN c.s. van 7 juni 2019;
- -
de akte houdende overlegging reactieve producties gevoegde partij van 7 juni 2019, met producties VP62 t/m VP66;
- -
de brief van mr. Drok van 21 juni 2019 met proceskostenoverzicht;
- -
de specificatie proceskosten KPN c.s.. tot en met 14 juni 2019, ontvangen op 21 juni 2019;
- -
de akte houdende overlegging overzicht proceskosten gevoegde partij van 21 juni 2019;
- -
de e-mail van mr. Gerritzen van 3 juli 2019 met aanvullende specificatie van de proceskosten van KPN c.s.;
- -
de akte houdende overlegging overzicht aanvullende proceskosten gevoegde partij, ontvangen op 3 juli 2019;
- -
de e-mail van mr. Drok van 4 juli 2019 met een aanvullend proceskostenoverzicht zijdens ASSIA;
- -
de ter gelegenheid van het pleidooi van 5 juli 2019 door partijen gehanteerde pleitnotities,
met dien verstande dat in de pleitnota van ASSIA de randnummers 48 en 49 zijn doorgehaald, in de pleitnota van KPN c.s. randnummers 6.1 t/m 9.2 en in de pleitnotities van Nokia randnummer 127 vanaf ‘Er is geen..’ en randnummer 184, omdat deze niet zijn gepleit.
prealabele beslissingen
1.2.
KPN c.s. heeft bezwaar gemaakt tegen toelating van aanvullende producties EP57 en EP58 en Nokia heeft de rechtbank gevraagd om de aanvullende producties EP52 t/m EP56 te weigeren. Voorafgaand aan de inhoudelijke pleidooien hebben zij hun reeds per brieven uiteengezette bezwaren (waarop ASSIA schriftelijk heeft gereageerd) nogmaals mondeling toegelicht aan de hand van afzonderlijke pleitnoties die eveneens deel uitmaken van het procesdossier. ASSIA heeft op de bezwaren gereageerd (niet aan de hand van pleitnotities) en daarbij op haar beurt bezwaar gemaakt tegen toelating van de producties GP 31, GP32, VP63, VP64, VP65 en VP66.
1.3.
De rechtbank heeft naar aanleiding van de door partijen over en weer opgeworpen bezwaren ter zitting, voorafgaand aan de pleidooien, als volgt beslist:
- -
dat de als reactieve producties overgelegde producties VP65 en VP66 worden geweigerd omdat deze in strijd met artikel 9 van het VRO-reglement worden geacht nu in feite sprake is van verkapte conclusies;
- -
dat ASSIA in het kader van haar inbreukargumentatie te laat (niet in de dagvaarding maar voor het eerst in EP54) heeft gesteld dat ook inbreuk wordt gemaakt op upstream vectoring, zodat haar stellingen dienaangaande buiten beschouwing worden gelaten en EP54 wordt geweigerd voor zover die verklaring ziet op upstream vectoring;
- -
dat alle overige producties waartegen bezwaar is gemaakt als niet in strijd met het VRO-reglement en/of de goede procesorde worden toegelaten met dien verstande dat de rechtbank gedaagden (bij e-mail van 20 mei 2019) de gelegenheid heeft geboden om op EP52 t/m EP54 te reageren met even lange (dat wil zeggen evenveel woorden bevattende) deskundigenverklaringen, van welke mogelijkheid Nokia gebruik heeft gemaakt.
1.4.
Partijen hebben hun standpunten over het door ASSIA verzochte vertrouwelijke behandeling van enkele producties voorafgaand aan de pleidooien nader toegelicht. De rechtbank heeft geoordeeld dat producties EP57 en EP58 moeten worden aangemerkt als vertrouwelijk, voor wat betreft de in die producties opgenomen vertrouwelijke informatie (zie voorts r.o. 4.10). Voor EP19 is het verzoek afgewezen. Het deel van de pleidooi-zitting dat op de vertrouwelijke informatie betrekking had, heeft, op verzoek van ASSIA, met gesloten deuren plaats gevonden (art. 27 lid 1 Rv). Voor het pleidooi van ASSIA is dit gebeurd voor hetgeen is opgenomen in haar pleitnota vanaf randnummer 102 en het pleidooi van KPN c.s. is met gesloten deuren gehouden voor zover randnummer 4.5 het blauwe gedeelte en 5.1 en 5.2 zijn gepleit (6.1 t/m 8.2 zijn niet gepleit).
1.5.
Ten slotte is een datum voor vonnis bepaald.
2. De feiten
2.1.
Europees octrooi EP 2 259 456 B1 (hierna: het octrooi of EP 456) met gelding in onder meer Nederland voor ‘Dynamic digital communication system control’ is op 15 juli 2015 verleend aan The Board of Trustees of the Leland Stanford Junior University (hierna: Stanford) op een aanvrage daartoe van 31 mei 2002. Bij de aanvrage is de prioriteit ingeroepen van octrooiaanvrage US 295392 van 1 juni 2001 en van octrooiaanvrage US 877724 van 8 juni 2001. Tegen de verlening van EP 456 is geen oppositie ingesteld.
2.2.
Het octrooi is op 22 september 2010 afgesplitst van moederaanvrage EP 1 396 101. De oorspronkelijke (moeder)aanvrage is gepubliceerd als WO 02/100008 A1 (hierna: WO 008 of de aanvrage).
2.3.
EP 456 telt in totaal achttien conclusies, waarvan twee onafhankelijke conclusies: werkwijze conclusie 1 en voortbrengsel conclusie 16. De voor deze procedure relevante conclusies luiden in de oorspronkelijke Engelse tekst als volgt:
1. A method of controlling a digital communication system (700) in a Digital Subscriber Line (DSL) system using Discrete Multi-tone communications having a plurality of communication lines (710) on which signals are transmitted and received, the signals being affected by interference during transmission, each of the communication lines being used by a user, the method comprising the steps of: during initialization, creating a model of the line, signal and interference characteristics of a communication line based on signals carried by other communication lines; after initialization, processing signals carried on the communication line using the model to remove interference from signals carried on the other communication lines by coding the signals carried on the communication line_using canceller or precoder blocks at receiver or transmitter locations, respectively, and synchronizing transmissions of signals using synchronized block transmission and reception; wherein creating a model includes performing training-based channel identification during initialization in response to the step of synchronizing, the step of processing signals using the model to remove interference from signals includes determining the parameters of the canceller or of precoder blocks based on the training-based channel identification performed during initialization and in response to the synchronized block transmission and reception, the method being characterised by including the further step of allocating energy in frequency independently within each of said communication lines being used by each said user.
2. The method of claim 1, wherein the step of synchronizing transmissions of signals using synchronized block transmission and reception is also performed during initialization.
3. The method of claim 1 wherein each communication line (710) is communicatively coupling a central location and to a respective user location and wherein the step of processing signals using the model includes modifying a signal prior to transmission of a signal that is to be transmitted from the central office to a user location.
4. The method of claim 1 wherein each communication line (710) is communicatively coupling a central location and to a respective user location and wherein the step of processing signals using the model includes, at the central location, removing interference from a signal after reception of the signal.
5. The method of claim 1 wherein the step of synchronizing transmissions of signals using synchronized block transmission and reception is also performed during initialization.
6. The method of claim 1 wherein the interference affecting transmission of signals includes crosstalk from adjacent ones of the communication lines (712) and wherein the step of processing signals is accomplished without the use of a non-linear pre-coding operation to bind the energy of the processed signals.
7. The method of claim 1 wherein the digital communication system uses discrete multitone transmission and the step of processing signals using the model to remove interference from signals is done on a tone by tone basis.(…)
9. The method of claim 1 further including the step of collecting information about line, signal and interference characteristics of the communication lines at a location other than a location of one of the users.
(…)
13. The method of claim 1, wherein creating a model includes performing block-level synchronization during initialization.
14. The method of claim 1, wherein processing signals using the model to remove interference from signals includes processing signals in canceller or in precoder blocks using the determined parameters.
(…)
16. An arrangement for controlling communication in a digital communication system (700) in a Digital Subscriber Line (DSL) system using Discrete Multi-tone Communications having a plurality of communication lines (710) on which signals are transmitted and received, the signals being affected by interference during transmission, each of the communication lines (710) being used by a user, the arrangement comprising: means for synchronizing transmissions of signals using synchronized block transmission and reception and, during initialization, creating a model of line, signal and interference characteristics of a communication line based on signals carried by other communication lines; means for, after initialization, processing signals carried on the communication line using the model to remove interference from signals carried on the other communication lines by coding the signals carried on the communication line using canceller or precoder blocks at receiver or transmitter locations, respectively, wherein creating a model includes performing training-based channel identification during initialization in response to the step of synchronizing, and wherein processing signals using the model to remove interference from signals includes determining the parameters of the canceller or of precoder blocks based on the training-based channel identification performed during initialization and in response to the synchronized block transmission and reception; the arrangement being characterised by further including means for allocating energy in frequency independently within each of said communication lines being used by each said user.
17. The arrangement of claim 16, wherein the step of synchronizing transmissions of signals using synchronized block transmission and reception is also performed during initialization.
2.4.
De niet bestreden Nederlandse vertaling van deze conclusies luidt:
1. Werkwijze voor besturing van een digitaal communicatiesysteem (700) in een
Digital Subscriber Line (DSL)-systeem waarbij gebruik wordt gemaakt van discrete meertonige communicaties (Discrete Multi-tone Communications) die een veelvoud aan
communicatieverbindingen (710) hebben waarop signalen worden overgebracht en ontvangen, waarbij de signalen worden aangetast door interferentie gedurende transmissie, waarbij elk van de communicatielijnen wordt gebruikt door een gebruiker, waarbij de werkwijze de stappen omvat van:
gedurende initialisatie, het creëren van een model van de lijn-, signaal- en
interferentiekarakteristieken van een communicatielijn gebaseerd op signalen gedragen door
andere communicatielijnen;
na initialisatie, het verwerken van signalen gedragen door de communicatielijn
waarbij gebruik wordt gemaakt van het model om de interferentie te verwijderen van signalen gedragen door de andere communicatielijnen door het coderen van de signalen gedragen door de communicatielijn waarbij gebruik wordt gemaakt van annuleer- of precodeerblokken bij de respectievelijke ontvanger- of zenderlocaties, en
het synchroniseren van transmissies van signalen waarbij gebruik wordt gemaakt
van gesynchroniseerde bloktransmissie en ontvangst;
waarbij het creëren van een model het uitvoeren omvat van training-gebaseerde
kanaalidentificatie gedurende initialisatie in reactie op de synchronisatiestap,
de stap van het verwerken van signalen waarbij gebruik wordt gemaakt van het model om interferentie te verwijderen uit signalen het vaststellen omvat van de parameters van de annuleer- of van de precodeerblokken gebaseerd op de training-gebaseerde kanaalidentificatie uitgevoerd gedurende de initialisatie en in reactie op de gesynchroniseerde bloktransmissie en ontvangst,
waarbij de werkwijze wordt gekenmerkt door het omvatten van de verdere stap van het toekennen van energie in frequentie onafhankelijk binnen ieder van de communicatielijnen die gebruikt wordt door iedere gebruiker.
2. Werkwijze volgens conclusie 1, waarbij de stap van het synchroniseren van
transmissies van signalen waarbij gebruik wordt gemaakt van gesynchroniseerde bloktransmissie en ontvangst ook wordt uitgevoerd tijdens initialisatie.
3. Werkwijze volgens conclusie 1 waarbij iedere communicatielijn (710) communicatief een centrale locatie koppelt en aan een respectieve gebruikerslocatie en waarbij de stap van het verwerken van signalen waarbij gebruik wordt gemaakt van het model het aanpassen van een signaal omvat voorafgaand aan transmissie van een signaal dat dient te worden overgebracht van het centrale kantoor naar een gebruikerslocatie.
4. Werkwijze volgens conclusie 1 waarbij iedere communicatielijn (710) communicatief een centrale locatie koppelt en aan een respectievelijke gebruikerslocatie en waarbij de stap van verwerken van de signalen waarbij gebruik wordt gemaakt van het model, bij de centrale locatie, het verwijderen omvat van interferentie van een signaal na ontvangst van het signaal.
5. Werkwijze volgens conclusie 1 waarbij de stap van het synchroniseren van transmissies van signalen waarbij gebruik wordt gemaakt van gesynchroniseerde bloktransmissie en ontvangst ook wordt uitgevoerd tijdens initialisatie.
6. Werkwijze volgens conclusie 1 waarbij de interferentie die de transmissie van signalen aantast overspraak omvat van naastgelegen communicatielijnen (712) en waarbij de stap van het verwerken van signalen wordt bereikt zonder het gebruik van een niet-lineaire precoderende handeling om de energie te binden van de verwerkte signalen.
7. Werkwijze volgens conclusie 1 waarbij het digitale communicatiesysteem gebruik maakt van discrete meertonige transmissie en de stap van het verwerken van signalen gebruik makende van het model voor het verwijderen van interferentie uit signalen wordt gedaan op een toon-voor-toonbasis (tone-by-tone basis).
(…)
9. Werkwijze volgens conclusie 1 verder omvattende de stap van informatievergaring over lijn-, signaal- en interferentiekarakteristieken van de communicatielijnen bij een andere locatie dan een locatie van een van de gebruikers.
(…)
13. Werkwijze volgens conclusie 1, waarbij het creëren van een model het uitvoeren omvat van blokniveausynchronisatie gedurende initialisatie.
14. Werkwijze volgens conclusie 1, waarbij het verwerken van signalen gebruik makende van het model voor het verwijderen van interferentie uit signalen het verwerken omvat van signalen in annuleer- of precodeerblokken waarbij gebruik wordt gemaakt van de vastgestelde parameters.
(…)
16. Inrichting voor het besturen van communicatie in een digitaal communicatiesysteem (700) in een Digital Subscriber Line (DSL)-systeem waarbij gebruik wordt gemaakt van discrete meertonige communicaties (Discrete Multi-tone Communications) die beschikt over een veelvoud aan communicatielijnen (710) waarop signalen worden overgebracht en ontvangen, waarbij de signalen worden aangetast door interferentie gedurende transmissie, waarbij elk van de communicatielijnen wordt gebruikt door een gebruiker, waarbij de inrichting omvat:
middelen voor het synchroniseren van transmissie van signalen waarbij gebruik wordt gemaakt van gesynchroniseerde bloktransmissie en ontvangst en, gedurende initialisatie, het creëren van een model van lijn-, signaal- en interferentiekarakteristieken van een communicatielijn gebaseerd op signalen gedragen door andere communicatielijnen;
middelen voor, na initialisatie, het verwerken van signalen die gedragen worden door de communicatielijn waarbij gebruik wordt gemaakt van het model om interferentie te verwijderen uit signalen die gedragen worden door de andere communicatielijnen door het coderen van de signalen gedragen door de communicatielijn waarbij gebruik wordt gemaakt van annuleer of precodeerblokken bij respectievelijke ontvanger- of zenderlocaties,
waarbij het creëren van een model het uitvoeren van training-gebaseerde kanaalidentificatie omvat gedurende initialisatie in reactie op de stap van synchronisatie, en
waarbij het verwerken van signalen waarbij gebruik wordt gemaakt van het model voor het verwijderen van interferentie van signalen het vaststellen omvat van de parameters van de annuleer- of precodeerblokken gebaseerd op de training-gebaseerde kanaalidentificatie uitgevoerd gedurende initialisatie en in reactie op de gesynchroniseerde bloktransmissie en ontvangst;
waarbij de inrichting wordt gekenmerkt door verder middelen te omvatten voor het toekennen van energie in frequentie onafhankelijk binnen ieder van de communicatielijnen die gebruikt wordt door iedere gebruiker.
17. Inrichting volgens conclusie 16, waarbij de stap van het synchroniseren van transmissies van signalen gebruik makende van gesynchroniseerde bloktransmissie en ontvangst ook wordt uitgevoerd gedurende initialisatie.
2.5.
De beschrijving van EP 456 bevat onder meer de volgende passages:
BACKGROUND OF THE INVENTION
Field of the Invention
[0001] This invention relates generally to methods, systems and apparatus for managing digital communications systems. More specifically, this invention relates to dynamically controlling system parameters that affect performance in communication systems such as DSL systems.
Description of Related Art
[0002] The present invention refers to digital communication systems where the transmission medium typically is copper wiring. Most commonly the copper wiring consists of twisted pairs (also referred to as "lines" or "loops") categorized according to several manufacturing specifications (for example AWG-26, AWG-24, CAT-3, CAT-5, CAT-6). Typical communication systems making use of copper wiring include Digital Subscriber Line (DSL) systems, such as ISDN, HDSL, ADSL and VDSL, and Local Area Networks (LAN), such as Ethernet. A transceiver (for example, a user modem) is situated at each end of the communications line that incorporates the copper wiring.
[0003] Existing phone lines typically are "bundled" in some way. "Bundling" several pairs (in a binder or otherwise) can improve service to a single user or permit service for multiple users. (…)
[0004] Another application is the use of the telephone loop plant for DSL service, one example of which is shown in Figure 2 . The twisted pairs 210 emanating from each Customer Premises Equipment (CPE) 220 are grouped into one or more binders 230, which converge at a terminus 240 such as a central office (CO), an optical network unit (ONU), or a remote terminal (RT). Of course, hybrid scenarios may also occur, such as the use of multiple pairs by a single DSL customer aiming to improve his overall data rate.[0005] The bundling of twisted pairs arises either out of necessity (for example, the existing telephone loop infrastructure) or because of the benefits of improved performance (for example, 1000-BaseT Ethernet). In either case however, communications in these settings suffer from interference arising from electromagnetic coupling between neighboring pairs, referred to as "crosstalk" interference. This means that any signal received by a modem at the end of a twisted pair generally contains not only the transmitted signal of the specific pair (which itself is likely distorted to some extent), but also distorted signals transmitted on neighboring pairs. It is apparent, therefore, that the transmission characteristics of a specific pair (for example, the pair's transmitted power) can materially influence communication on a neighboring pair due to the induced crosstalk. Therefore, transmissions on neighboring pairs (especially those belonging to a bundle or sharing the same binder) are coupled in certain ways. The interfering signals are commonly treated as noise. However, crosstalk can be identified in some situations. (See United States Serial No. 09/788,267 ). If crosstalk coupling functions can be identified, it may be possible to remove the crosstalk interference.
(….)
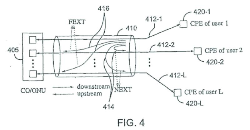
[0009] One of the shortcomings of current multi-user communication systems is power control. In typical communication systems, which are interference-limited, each user's performance depends not only on its own power allocation, but also on the power allocation of all other users. Consequently, the system design generally involves important performance trade-offs among different users. The DSL environment can be considered a multi-user system, which would benefit from an advanced power allocation scheme that maximizes or allows selection from most or all of the achievable data rates for multiple DSL modems in the presence of mutual interference.[0010] As mentioned above, DSL technology provides high speed data services via ordinary telephone copper pairs. The DSL environment is considered a multi-user environment because telephone lines from different users are bundled together on the way from the central office, and different lines in the bundle frequently create crosstalk into each other. Such crosstalk can be the dominant noise source in a loop. However, early DSL systems such as ADSL and HDSL are designed as single-user systems. Although single-user systems are considerably easier to design, an actual inulti-user system design can realize much higher data rates than those of single-user system designs.[0011] As the demand for higher data rates increases and communication systems move toward higher frequency bands, where the crosstalk problem is more pronounced, spectral compatibility and power control are central issues. This is especially true for VDSL, where frequencies up to 20MHz can be used.[0012] Power control in DSL systems differs from power control in wireless systems because, although the DSL environment varies from loop to loop, it does not vary over time. Since fading and mobility are not issues, the assumption of perfect channel knowledge is reasonable. This allows the implementation of sophisticated centralized power control schemes. On the other hand, unlike the wireless situation where flat fading can often be assumed, the DSL loops are severely frequency selective. Thus, any advanced power allocation scheme needs to consider not only the total amount of power allocated for each user, but also the allocation of power in each frequency. In particular, VDSL systems suffer from a near-far problem when two transmitters located at different distances from the central offices both attempt to communicate with the central office. When one transmitter is much closer to the central office than the other, the interference due to the closer transmitter often overwhelms the signal from the farther transmitter.[0013] DSL modems use frequencies above the traditional voice band to carry highspeed data. To combat intersymbol interference in the severely frequency selective telephone channel, DSL transmission uses Discrete Multitone (DMT) modulation, which divides the frequency band into a large number of sub-channels and lets each sub-channel carry a separate data stream. The use of DMT modulation allows implementation of arbitrary power allocation in each frequency tone, allowing spectral shaping.[0014] As shown in Figure 4 , a DSL bundle 410 can consist of a number of subscriber lines 412 bundled together which, due to their close proximity, generate crosstalk. Near-end crosstalk (NEXT) 414 refers to crosstalk created by transmitters located on the same side as the receiver. Far-end crosstalk (FEXT) 416 refers to crosstalk created by transmitters located on the opposite side. NEXT typically is much larger than FEXT. The examples of the present invention presented herein use frequency duplexed systems for illustrative purposes.
(..)
[0027] Crosstalk coupling is strongest among the twisted-pairs in a binder group. Therefore, eliminating or mitigating self-FEXT within a binder group has the biggest performance benefit. "Unbundled" lines of different service providers may share a binder group which can result in the absence of collocation of the CO transceiver equipment.(…)
[0028] The crosstalk problem has been addressed before with some shortcomings. For example, in some systems, MIMO Minimum-Mean-Square-Error (MMSE) linear equalizers were derived. Another prior method employs the singular value decomposition to achieve crosstalk cancellation assuming co-location of both transmitters and receivers. Other earlier methods include "wider than Nyquist" transmitters which were shown to provide performance advantages compared to "Nyquist-limited" ones, and crosstalk cyclostationarity (induced by transmitter synchronization) combined with oversampling which were shown to result in higher SNR values.[0029] The paper "A Multi-user Precoding Scheme achieving Crosstalk Cancellation with Application to DSL systems", by G.Gimis and J.M. Cioffi discloses a precoding method for DMT modulation combined with an optimal distribution of energy for a system with multiple users .[0030] None of the earlier methods or systems provided a relatively simple and effective reduction in crosstalk interference in wireline communication systems. However, vectored transmission (as defined in this invention) can achieve a high degree of crosstalk reduction without unreasonable complexity. Moreover, the use of vectored transmission can accommodate the approaching architectural changes coming to DSL service as well as providing an opportunity for dynamic system management which can overcome the shortcomings of prior systems and methods.
BRIEF SUMMARY OF THE INVENTION
[0031] The present invention relates to a method and apparatus for dynamically controlling a digital communication system, such as a DSL system, according to the accompanying claims.[0032] Further details and advantages of the invention arc provided In the following Detailed Description and the associated Figures,
BRIEF DESCRIPTIONS OF THE DRAWINGS
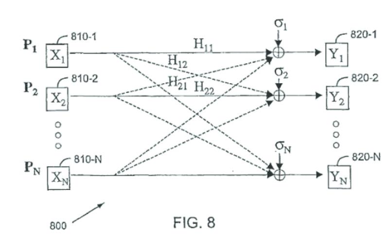
[0033] The present invention will be readily understood by the following detailed description in conjunction with the accompanying drawings, wherein like reference numerals designate like structural elements, and in which:Figure 1 is a schematic diagram of a set of twisted pair telephone lines used for transmission of an aggregate information stream.Figure 2 is a schematic diagram of a DSL system utilizing an existing telephone loop plant.Figure 3 is a schematic view of a communication system using link requirements and constraints and line and signal characteristic information on a per line basis.Figure 4 is a schematic representation of a DSL system showing a bundle of transmission lines in a binder.Figure 5 is a schematic representation of the near-far problem encountered with FEXT crosstalk.Figure 6 is a schematic representation of a DSL system showing a bundle of transmission lines in a binder wherein some of the lines share a fiber or other link between a CO and an ONU.Figure 7 is a schematic representation of one embodiment of the present invention in which information about line and signal characteristics from a number of DSL lines is shared and used in a joint communication adaptation configuration.Figure 8 is an interference channel model showing crosstalk interference among DSL lines.Figure 9 is a timing diagram showing synchronization of block transmission and reception at a CO/ONU.Figure 10 shows FEXT coupling measurements for loops with length of 1640 feet.Figure 11 shows a canceller block of one embodiment of the present invention corresponding to a single tone in a discrete multitone system.Figure 12 shows a system for upstream vectored DMT transmission combining canceller blocks of all tones.Figure 13 shows a MIMO precoder of the present invention corresponding to a single tone in a discrete multitone system.Figure 14 shows a vectored DMT system for downstream transmission combining precoders of the present invention for all tones and including the DMT transmitters and receivers.Figure 15 illustrates the QR decomposition of two possible orderings.Figure 16 is a graphical depiction of the differences in data rates available with one embodiment of the present invention as a function of loop length.
DETAILED DESCRIPTION OF THE INVENTION
[0034] The following detailed description of the invention will be with reference to one or more embodiments of the invention, but is not limited to such embodiments. The detailed description is intended only to be illustrative. Those skilled in the art will readily appreciate that the detailed description given herein with respect to the Figures is provided for explanatory purposes as the invention extends beyond these limited embodiments. (…)
GENERAL
(…)
[0045] Two specific implementations of the present invention are now presented. (…)
VECTORED TRANSMISSION
[0074] In the following example, vectored transmission for DSL systems is explained. (…)
Channel Model and DMT Transmission
(…)
[0076] Two fundamental assumptions are used in connection with this discussion of a preferred embodiment. First, all users employ block transmission with a cyclic prefix (CP) of at least length ν. Also, block transmission and reception at the CO/ONU are synchronized as illustrated in the timing diagram of Figure 9.
(…)
[0080] Applying Discrete Fourier Transform (DFT) modulation, which is known in the art, an Inverse Discrete Fourier Transform (IDFT) operation is performed on each transmitted data block (prior to appending the CP), and a DFT operation is performed on each received data block (after discarding the CP), thus yielding a channel description where the samples are stacked in groups corresponding to users, and each of the groups contains samples corresponding to tones. It is desirable to reorganize these samples for further processing by stacking in groups corresponding to tones, where each group contains samples corresponding to different users. To this end, a permutation matrix P having NL rows and NL columns is defined, which is composed of the N x N blocks Pij where i,j=1,...,L. The block Pij contains all zeros, except for a one at position (j,i). When matrix P is right-multiplied with a vector of size NL, the elements of P are re-ordered from L groups of N components into N groups of L components. Also, note that P-1=P* =P. Applying this reordering operation to both the transmitter and the receiver samples, yields:

[0081] Therefore, Zi, Ui and Ni contain the received samples, transmitted symbols and noise samples of all users corresponding to tone i, and Ti fully characterizes MIMO transmission within tone i. In the following, a distinction between upstream and downstream will be made by adopting the notation Ti,up and Ti,down. [0082] Equation (22) shows that crosstalk cancellation can be performed independently in each tone. Therefore, as explained in more detail below, an array of canceller blocks can be employed at the CO/ONU to remove crosstalk within each tone for upstream communication. Similarly, precoder blocks can be used at the CO/ONU to pre-distort the transmitted signals within each tone, so that signals received at the CPE are crosstalk-free. Determining the parameters of the canceller/precoder blocks relies on perfect knowledge of the channel matrix and noise covariance matrix at the CO/ONU. This assumption is reasonable for DSL, since the twisted pair channels are stationary, and systems can afford training-based channel identification during initialization.
(…)
Crosstalk Cancellation via QR Decomposition
[0085] Starting with Equation (22), the methods to remove crosstalk within each tone are described first for upstream and then for downstream communication. In the following, the matrices Ti,up and Ti,down are assumed to be non-singular (the justification for this assumption and the consequences of ill-conditioning are discussed below).
Upstream
[0086] For upstream transmission, the co-location of the CO/ONU transceiver equipment gives the opportunity to perform joint signal processing of the received samples. The computation of the QR decomposition of matrix Ti,up yields:

where Qi is a unitary matrix and Ri is an upper triangular matrix. If the received samples are "rotated/reflected" by then Equation (22) becomes:

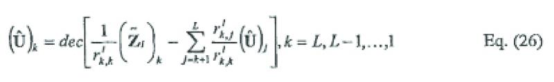
where Ñi = Q*iNi has an identity covariance matrix. Since Ri is upper triangular and Ni has uncorrelated components, the input Ui can be recovered by back-substitution combined with symbol-by-symbol detection. Thus, as seen in Figure 11, a decision feedback structure 1100 is created with the feedforward matrix module 1110 using Q*i and the feedback matrix module 1120 using I – Ri. The detection of the kth element of Ui is expressed as:

where r1k,j is the (k, j) element of Ri. Assuming that the previous decisions are correct, crosstalk is completely cancelled, and L "parallel" channels are created within each tone. The operations described above can be used to define a preferred canceller block corresponding to a single tone, which is shown in Figure 11. Combining the canceller blocks of all tones, and taking into account DMT transmission, a system 1200 for upstream vectored DMT transmission is shown in Figure 12. The transmitters 1210-1 through 1210-L send their respective signals through channel 1220. The receivers 1230-1 through 1230-L receive the signals from channel 1220 and process the received signals using canceller blocks 1240-1 through 1240-L which, in the preferred embodiment, resemble the block of Figure 11.
Downstream
[0087] For downstream transmission in the preferred embodiment, joint signal processing of the transmitted symbols is used. The QR decomposition of TTi ,down results in:

where again Qi is a unitary matrix and Ri is an upper triangular matrix. Assuming that the symbols are "rotated/reflected" by QiT * prior to being transmitted:

So, choosing:

crosstalk-free reception is achieved, where the transmitted symbols in tone i are the elements of Ũi. (…)
where ΓMi,k is defined as:

And Mi,k is the constellation size of user k on tone i, while d is the constellation point spacing. (…). These operations result in:

which implies crosstalk-free reception. The preferred MIMO precoder described above corresponds to a single tone and is shown in Figure 13 . Combining the precoders of all tones and including the DMT transmitters and receivers, the vectored DMT system for downstream transmission is shown in Figure 14 . This system resembles the system of Figure 12, except that signals are "pre-processed" with precoders 1420-1 through 1420-L before being sent by the system transmitters 1410-1 through 1410-L, respectively.
[0088] Assuming that transmit and receive filtering at the CO/ONU and at the CPE is identical, and noise within a tone has the same statistics for all users, the reciprocity property for twisted pair transmission implies that Ti,up = Ti,down .
In that case, Equations (23) and (27) give the QR decomposition of the same matrix.
[0089] For the upstream channel, regardless of the loop topology, the diagonal element of a column of Ti is larger in magnitude than the off-diagonal elements of the same column. This occurs because, in upstream transmission, the crosstalk coupled signal originating from a specific transmitter can never exceed the "directly" received signal of the same transmitter, and typically the magnitude difference is more than 20 dB. The insertion loss of a signal is always smaller than the coupling loss that it experiences when it propagates into a neighboring pair.
[0091] The preceding discussion concerning upstream transmission can be readily extended to downstream transmission by starting with the observation that the crosstalk signals at a specific receiver can never exceed the magnitude of a "directly" received signal. Alternatively, the same conclusions can be reached by using the transpose relationship between the upstream and downstream channel matrices.
[0092] The computational cost incurred by the QR cancellation is decomposed into the cost of the QR decompositions and the cost associated with signal processing. DSL channels are stationary, so the QR decompositions need to be computed infrequently (preferably during initialization). (…) On the other hand, the real-time computational burden due to the canceller and precoder blocks cannot be reduced. In a straightforward implementation, the operations dominating the total cost are those of Equations (24) and (28).
[0093] Although the assumption of perfect channel matrix knowledge is reasonable in the given environment, it is still worth briefly considering the effects of channel estimation errors. (…) A similar analysis can be applied for downstream communication, but modulo arithmetic complicates the expressions. Ignoring the modulo operations, the effects of the estimation errors can be separated into a detection bias term and a residual crosstalk term.[0094] The results of this analysis reveal that the impact of channel estimation errors is aggravated when any of the diagonal elements of R̂i are small. Although channel matrix singularity is almost impossible in the DSL environment, an ill-conditioned channel (implying small diagonal elements) cannot be ruled out, thus increasing the impact of channel estimation errors and posing several computational problems. Such cases arise in high frequencies (for example, in loop topologies that have extreme loop length differences) or in the presence of bridged taps. Nevertheless, the energy allocation algorithms discussed below prevent the occurrence of such phenomena by not allowing transmission in frequencies where the diagonal elements of Ri are small.[0095] As seen above, the elimination of crosstalk in the signals of a system will substantially improve performance of the system. Optimizing energy allocations in the system, when taken in conjunction with the crosstalk elimination likewise improves system performance. Also, as noted above, appropriate energy allocation can help avoid problems resulting from the impact of estimation errors in ill-conditioned channels.
Transmission Optimization
[0096] "Transmission optimization" as used in the following example will refer to maximization of a weighted data rate sum. However, in the broadest sense of the present invention, the term "optimization" is not so limited. Optimization may also mean determining the maximum rates available and allocating or provisioning available resources (including data rates for various users) within a digital communication system.[0097] The methods disclosed in the following discussion concern energy allocation in frequency generally, energy allocation in frequency while observing constraints on induced crosstalk, and energy allocation combined with upstream/downstream frequency selection.
Energy Allocation in General
[0098] The optimization objective is the maximization of the weighted sum of the data rates of all users:

Where ak ≥ 0 is the weight assigned to the kth user, and Rk is the achievable data rate of the kth user, which may refer to either the upstream or the downstream direction. In order to compute the data rate, an appropriate known gap approximation is employed. Taking into account the fact that vectoring essentially "diagonalizes" the channel (and assuming no error propagation in the upstream direction), the upstream and downstream achievable rates are obtained:


where r [lees ‘Γ’, zie WO 008, p. 36, rechtbank] is defined as the transmission gap, and depends on the probability of error requirement, the coding gain and the required martin [lees: ‘margin’, zie WO 008, p. 36, rechtbank]. Also,Nup and Ndown are the sets of upstream and downstream tone indices correspondingly (…). Error propagation effects are generally limited since DSL systems operate at very small probabilities of error.
[0099] The parameters with respect to which optimization takes place are

for upstream transmission and

for downstream transmission. These parameters are constrained by limits on the transmitted energy. In upstream transmission, the total transmit energy is constrained by:

where is the energy of (Ui)k
in Equation (25), and εk,up is the maximum allowed upstream transmitted energy of user k. Since it is deduced that:


In downstream transmission, the total transmit energy constraint is expressed as:

where
εik
is the energy of (Ui)k in Equation (21) [lees: ‘(28)’, rechtbank. NB in de corresponderende passage in WO 008 staat dit ook verkeerd; partijen zijn het hierover eens], and εk,down is the maximum allowed downstream transmitted energy of user k. Unfortunately, this constraint does not translate directly to a constraint for due to non-linear precoding.

[0100] However, simulation results for extreme loop topologies indicate that use of the preferred precoder described above does not result in considerable correlation between the transmitted signals of different users. It is reasonable to assume that this result holds generally, since the simulated loops correspond to a worst-case situation with regard to the crosstalk coupling.
[0101] Therefore, the approximation is made and Equation (38) for downstream becomes:


[0102] With this in mind, it is seen that the energy allocation problem of Equation (33) becomes independent for each user, and thus the ak weights are irrelevant in this scenario. The optimization problem for each transmission direction is broken into k waterfilling problems (…)
2.6.
Het octrooischrift bevat onder meer de volgende tekeningen:





2.7.
EP 456 is, onder meer, aangemeld bij de International Telecommunications Union (ITU) als essentieel voor de ITU-T standaard G.993.5 getiteld ‘Self-FEXT cancellation (vectoring) for use with VDSL2 transceivers’ (hierna ook: G.vector standaard). Deze standaard staat ook wel bekend als ‘vectored-VDSL2’. Het is een standaard op het gebied van digitale gegevenscommunicatie over de vaste telefoonlijn. De G.vector standaard wordt geïmplementeerd in combinatie met standaard G.933.2 (beter bekend als VDSL2, een opvolger van ADSL) en maakt snellere breedbandtoegang mogelijk, in het bijzonder om transmissiesnelheden van 100 MB/s of hoger te behalen.
2.8.
ASSIA heeft van Stanford op 16 augustus 2016 een exclusieve licentie verkregen voor, onder andere, EP 456.
2.9.
Op 28 september 2018 heeft (the Board of Trustees van) Stanford een verklaring afgegeven met, voor zover hier van belang, de volgende tekst:
‘1. Stanford University is the sole assignee of the patent EP 2 259 456 "Dynamic digital communication system control" (the Patent) for all designated countries.
(…)
3. ASSIA is authorized to bring suit in its own name for the benefit of ASSIA and Stanford University against third parties infringing the Patent and to claim financial compensation for past, present, and future infringement or misappropriation of the Patent.”
2.10.
In een gezamenlijke verklaring van Stanford en ASSIA van april 2019 is onder meer het volgende opgenomen:
“2. On September 28, 2018, Stanford University provided a declaration (the Declaration) submitted in the Dutch proceedings initiated with the Writ of Summons of October 12, 2018 (the Proceedings).
3. Stanford University and ASSIA wish to provide a further explanation of how the aforementioned Declaration should be interpreted, namely that Stanford University and ASSIA agreed that ASSIA would initiate the Proceedings in its own name for the benefit of and on the account of Stanford University (and, for the avoidance of doubt, for the benefit of and account of ASSIA where it concerns ASSIA's own damages).
4. Stanford University and ASSIA hereby confirm that they reviewed and accepted the claims to be made before filing of the Writ of Summons in the Proceedings.”
2.11.
KPN BV exploiteert een breedband-netwerkarchitectuur waarin gebruik wordt gemaakt van een combinatie van op glasvezel en koper gebaseerde breedband technologieën. KPN levert haar diensten zowel direct aan bedrijven en consumenten onder de merknaam KPN als aan ‘wholesale’ klanten, waaronder haar dochterondernemingen Telfort en XS4ALL. Beide dochterondernemingen leveren weer internet diensten aan zakelijke en particuliere afnemers. KPN NV is de aan de Amsterdamse beurs genoteerde houdstermaatschappij die de aandelen in KPN BV, en indirect de aandelen in Telfort en XS4ALL houdt. Zij verricht zelf geen operationele activiteiten.
2.12.
KPN c.s. past de G.vector standaard toe in haar (vectored) VDSL systemen. Nokia levert daartoe aan KPN onder meer de voor toepassing van haar breedbandarchitectuur essentiële zogenoemde Digital Subscriber Line Access Multiplexer (hierna: "DSLAM"). Dit product maakt onderdeel uit van het netwerk-systeem van KPN en wordt tevens gebruikt door Telfort en XS4ALL.
2.13.
In de G.vector standaard is op pagina 31 t/m 33 onder meer het volgende opgenomen (waarbij alleen het downstream deel is weergegeven):
“10 Initialization of a vectored group
This clause defines the initialization of a vectored group.
10.1
Overview
(…)
Figure 10-1 provides an overview of the initialization procedure for both upstream and downstream directions. (..)

In the downstream direction, at the beginning of the Channel Discovery phase, the VTU-O of the initializing line transmits O-P-VECTOR 1 signal which comprises only sync symbols modulated by the pilot sequence and which is aligned with sync symbols of vectored lines, see Figure 10-2. The O-P-VECTOR 1 signal allows the VCE to estimate FEXT channels from the initializing lines into the vectored lines. The VCE estimates these FEXT channels based on the reported clipped error samples from the VTU-Rs of the vectored lines and enables the pre-coding in the VTU-Os of these vectored lines to cancel FEXT from the initializing lines into these vectored lines during the remainder of the initialization of the initializing lines.
At the beginning of the Training phase, the initializing VTU-O will transmit O-P-VECTOR 1-1 signal, which is the same as O-P-VECTOR 1 and allows the VCE to update the downstream FEXT channel estimates from the initializing lines into the vectored lines, prior to transitioning into the ITU-T G.993.2 Training phase.
After the ITU-T G.993.2 Training phase, the VTU-O transmits the O-P-VECTOR 2 signal, followed by the O-P-VECTOR 2-1 signal, which both comprise sync symbols modulated by the pilot sequence and regular symbols carrying the SOC, see Figure 10-3. During the transmission of O-P-VECTOR 2-1, the VCE estimates FEXT channels from all vectored lines into each initializing line and vice versa. Finally, at the end of the transmission of O-P-VECTOR 2-1, the whole FEXT channel matrix, including FEXT coefficients from the initializing line into the vectored lines and FEXT coefficients from the vectored lines into each initializing line, is estimated by the VCE. At this point the initialization process is complete and the initializing lines may be included in the pre-coding operation. After O-P-VECTOR 2-1 transmission is complete, the VTU-O of the initializing line enters the Channel Analysis and Exchange phase for estimation of the signal-to-noise ratio (SNR) and determination of the bit loading to be used during Showtime.” [onderstrepingen toegevoegd, rechtbank]
3. Het geschil
in conventie
3.1.
Stellende dat KPN c.s. inbreuk maakt op conclusies 1 t/m 7, 9, 13, 14, 16 en 17 van EP 456, vordert ASSIA dat de rechtbank bij vonnis, voor zover mogelijk uitvoerbaar bij
voorraad:
primair:
1. KPN c.s. verbiedt om met ingang van twee maanden na betekening van het in deze
procedure te wijzen vonnis in Nederland direct of indirect inbreuk te maken op EP 456;
subsidiair:
2. voor recht verklaart dat KPN c.s. inbreuk maakt op EP 456;
3. KPN c.s. hoofdelijk veroordeelt om aan ASSIA te betalen, bij wijze van
licentievergoeding voor het gebruik van EP 456, een bedrag van € 2,25 voor iedere bestaande of nieuwe afnemer van breedbandtoegang van KPN c.s. in Nederland waarbij gebruikt wordt gemaakt van de werkwijze(n) die door EP 456 onder bescherming wordt/worden gesteld;
meer subsidiair:
4. voor recht verklaart dat KPN c.s. inbreuk maakt op EP 456;
5. KPN c.s. hoofdelijk veroordeelt om aan ASSIA te betalen, bij wijze van voorschot op
de licentievergoeding die KPN c.s. aan ASSIA verschuldigd is voor het gebruik van EP 456, een eenmalig bedrag van €1 (waaraan, zoals ASSIA heeft toegelicht, moet worden toegevoegd: “voor iedere bestaande of nieuwe afnemer van breedbandtoegang van KPN c.s. in Nederland”), althans een door de rechtbank in goede justitie vast te stellen bedrag;
nog meer subsidiair:
6. voor recht verklaart dat KPN c.s. inbreuk maakt op EP 456;
en voorts {zowel primair, subsidiair, meer subsidiair als nog meer subsidiair):
7. KPN c.s. veroordeelt in het vergoeden van de schade, nader op te maken bij staat, die
ASSIA heeft geleden als gevolg van de inbreuk die KPN c.s. op EP 456 heeft gemaakt en nog zal maken (deze vordering komt te vervallen indien de (subsidiaire) vordering onder 3 wordt toegewezen);
8. KPN c.s. beveelt om uiterlijk zes weken na betekening van dit vonnis aan de advocaten van ASSIA opgave te doen van het aantal afnemers van hun breedbandtoegangsdiensten waarbij gebruikt wordt gemaakt van de werkwijze(n) die door EP 456 onder bescherming wordt/worden gesteld, op de volgende peildata:
a. de dag van betekening van het vonnis;
b. 1 januari 2018;
c. 1 januari 2017;
d. 1 januari 2016;
e. 1 januari 2015;
f. 1 januari 2014;
onder verstrekking van alle, voor zover noodzakelijk geanonimiseerde, bescheiden die
ASSIA redelijkerwijs nodig heeft om de opgave te kunnen verifiëren (deze vordering
komt te vervallen indien de (subsidiaire) vordering onder 5 [bedoeld zal zijn 3, rechtbank] wordt toegewezen,
zulks voor zover mogelijk op straffe van dwangsommen en met hoofdelijke veroordeling van KPN c.s. en Nokia c.s. [sic] in de volledige en evenredige kosten conform art. 1019h Rv.
3.2.
Aan haar vorderingen legt ASSIA, samengevat, het volgende ten grondslag.
3.2.1.
Uit documentatie van KPN c.s. zelf volgt dat zij vectored-VDSL aanbiedt met toepassing van (het protocol van) de G.vector standaard. Omdat de werkwijzen van conclusies 1 t/m 7, 9, 13, 14 en voortbrengselen van conclusies 16 en 17 van EP 456 essentiële onderdelen zijn van die standaard, maakt KPN c.s. daarop inbreuk.
3.2.2.
KPN c.s. is niet ingegaan op het aanbod – dat ASSIA op (F)RAND((Fair,) Reasonable and Non Discriminatory)-voorwaarden heeft gedaan – om een licentie af te nemen, zodat ASSIA gerechtigd is om een verbod te vorderen.
3.3.
KPN c.s. en Nokia voeren dezelfde weren, althans zij hebben de gevoerde weren over en weer overgenomen, waarbij zij de werkafspraak hebben gemaakt dat KPN c.s. het (F)RAND verweer voor haar rekening neemt en Nokia het technische verweer (ongeldigheid en niet-inbreuk). Zij voeren, samengevat, het volgende verweer, strekkende tot niet-ontvankelijkverklaring van ASSIA, althans, tot afwijzing van de vorderingen.
3.3.1.
ASSIA is niet ontvankelijk in haar verbodsvorderingen en de verklaringen voor recht omdat deze vorderingen zijn voorbehouden aan de octrooihouder, terwijl ASSIA in de dagvaarding (sub 27) stelt alleen namens zichzelf op te treden.
3.3.2.
ASSIA is niet ontvankelijk in de overige vorderingen omdat zij niet heeft onderbouwd dat zij licentiehouder is en evenmin dat zij het recht heeft verkregen om in rechte op te treden.
3.3.3.
KPN c.s. maakt geen inbreuk op de ingeroepen conclusies van EP 456. Het octrooi is niet essentieel voor de G.vector standaard, zodat toepassing van de standaard niet meebrengt dat KPN c.s. inbreuk maakt op deze conclusies van EP 456. ASSIA heeft de inbreuk voorts niet bewezen dan wel onvoldoende onderbouwd.
3.3.4.
Van inbreuk kan voorts geen sprake zijn omdat EP 456 nietig is vanwege gebrek aan nieuwheid (in welk verband relevant is dat EP 456 geen geldig beroep kan doen op de prioriteitsdocumenten), dan wel gebrek aan inventiviteit, omdat de ingeroepen conclusies toegevoegde materie bevatten dan wel wegens niet-nawerkbaarheid van die conclusies.
in (deels voorwaardelijke) reconventie
3.4.
KPN c.s. vordert dat de rechtbank bij vonnis, voor zover mogelijk uitvoerbaar bij voorraad:
I. voor recht verklaart dat EP 456 in zijn geheel ongeldig is;
II. voor zover de rechtbank meent dat Stanford partij is bij deze procedure, het Nederlandse deel van EP 456 te vernietigen.
3.5.
Ter onderbouwing van haar vorderingen in reconventie verwijst KPN c.s. naar hetgeen door KPN/Nokia omtrent de niet-ontvankelijkheid van ASSIA in de verbodsvordering in conventie is aangevoerd en naar hetgeen aldaar door Nokia is aangevoerd met betrekking tot de nietigheid van EP 456.
3.6.
ASSIA voert verweer strekkende tot afwijzing van de vorderingen.
4. De beoordeling
in conventie en in (deels voorwaardelijke) reconventie
bevoegdheid
4.1.
De rechtbank is internationaal bevoegd kennis te nemen van de vorderingen in conventie op grond van art. 4 Brussel I-bis1., nu KPN c.s. gevestigd is in Nederland. Ten aanzien van de (voorwaardelijke) reconventionele vordering tot vernietiging van EP 456 NL bestaat bevoegdheid op grond van art. 24 lid 4 Brussel I-bis. Dit geldt ook voor het verweer in conventie voor zover daar een beroep wordt gedaan op nietigheid van het Nederlandse deel van EP 456 alsmede voor de (onvoorwaardelijke) reconventionele verklaring van recht. De relatieve bevoegdheid van deze rechtbank volgt uit art. 80 lid 2 sub a resp. art. 80 lid 1 sub a ROW2..
Aanduiding partijen
4.2.
Omdat KPN c.s. en Nokia dezelfde weren voeren dan wel stellingen innemen, dan wel de gevoerde weren/stellingen over en weer hebben overgenomen door verwijzing, worden gedaagden en interveniënte tezamen ook aangeduid als KPN/Nokia . Echter, waar in het vonnis alleen KPN c.s. of Nokia wordt genoemd, wordt de partij bedoeld die het betreffende verweer heeft toegelicht, tenzij uit de context anders volgt.
niet-ontvankelijkheid ASSIA
4.3.
In reactie op de betwisting dat zij licentiehouder is en bevoegd is om namens zichzelf schade te vorderen, heeft ASSIA bij conclusie van antwoord in reconventie de licentieovereenkomst overgelegd waaruit blijkt dat zij wereldwijd exclusief licentienemer van Stanford is voor onder meer de EP 456 octrooifamilie. Ook heeft zij een verklaring van Stanford van 28 september 2018 overgelegd waarmee Stanford haar het recht verleent om in rechte op te treden om voor zichzelf schade te vorderen. Uit het feit dat KPN/Nokia hierop daarna niet meer zijn teruggekomen, leidt de rechtbank af dat zij de ontvankelijkheid van ASSIA om voor zichzelf als licentienemer een vordering tot schadevergoeding in te stellen niet langer betwisten.
4.4.
KPN/Nokia hebben er voorts – terecht – op gewezen dat naar Nederlands recht alleen de octrooihouder bevoegd is om zijn recht volledig te handhaven, onder meer door het vorderen van een inbreukverbod en een FRAND-royalty. De octrooihouder is geen partij in de procedure, zodat ASSIA voor wat betreft de voorbehouden vorderingen niet ontvankelijk is. Uit de dagvaarding blijkt de hoedanigheid van ASSIA als vertegenwoordiger van octrooihouder Stanford immers niet, aldus nog altijd KPN/Nokia . Na die betwisting heeft ASSIA stukken overgelegd ter onderbouwing van haar stelling dat Stanford haar heeft opgedragen de genoemde vorderingen in te stellen en bij pleidooi heeft zij gezegd als lasthebber van Stanford op te treden.
4.5.
Bij de beoordeling wordt vooropgesteld dat een rechthebbende een derde last kan geven een vordering op eigen naam in te stellen en dat een dergelijke last in beginsel meebrengt dat de derde ook op eigen naam in rechte kan optreden, in welk geval de lasthebber niet gehouden is in de dagvaarding of anderszins te vermelden dat hij ter behartiging van de belangen van een ander optreedt. Pas wanneer het verweer van de wederpartij daartoe aanleiding geeft, zal de lasthebber dienen te stellen en zo nodig te bewijzen dat hij uit hoofde van lastgeving bevoegd is op eigen naam ten behoeve van de rechthebbende op te treden.3.
4.6.
Uit de verklaring van Stanford van 28 september 2018 en uit de gezamenlijke verklaring van Stanford en ASSIA van april 2019, volgt ondubbelzinnig dat Stanford met ASSIA is overeengekomen dat zij, ASSIA, in eigen naam in rechte optreedt, zowel voor zichzelf als voor Stanford, voor rekening van Stanford voor wat betreft de belangen van Stanford en voor eigen rekening voor wat betreft de vordering van haar eigen schade. Dat ASSIA de opdracht heeft aanvaard, hetgeen KPN/Nokia betwisten, blijkt reeds uit het feit dat zij de procedure is gestart.
4.7.
Er is derhalve naar Nederlands recht sprake van lastgeving (art. 7:414 BW). Dit brengt mee dat ASSIA voor de aan de octrooihouder voorbehouden vorderingen als lasthebber formele procespartij is, terwijl Stanford dienaangaande als materiële procespartij aangemerkt moet worden. ASSIA is materieel (en formeel) procespartij voor wat betreft haar eigen vordering als licentienemer.
4.8.
De slotsom van het voorgaande is dat ASSIA ontvankelijk is in alle vorderingen. Dit brengt mee dat ook een vordering in reconventie tot vernietiging van het octrooi kan worden ingesteld jegens Stanford als materiele procespartij.
verzoek ex art. 22 Rv
4.9.
Bij dagvaarding heeft ASSIA de rechtbank verzocht KPN c.s. te bevelen (ex art. 22 Rv) naar waarheid te verklaren hoeveel lijnen zij aanbiedt die gebruik maken van de standaard. De rechtbank gaat aan dit verzoek voorbij. Niet valt in te zien waarom die informatie van belang is voor de onderhavige beslissing, en hoe een dergelijk verzoek in het VRO-regime past. ASSIA heeft die informatie, die van belang is voor de berekening van eventuele schade, bovendien apart gevorderd (vordering 8). Tot slot is het belang aan hetnverzoek komen te ontvallen, gelet op de hierna te nemen beslissing dat van inbreuk geen sprake is omdat het octrooi niet geldig is.
mededelingsverbod
4.10.
De rechtbank begrijpt dat ASSIA een mededelingsverbod verzoekt ten aanzien van het behandelde achter gesloten deuren en omtrent de inhoud van de als vertrouwelijk aangemerkte producties (zie 1.4) op de voet van art. 28 lid 1 sub a en b Rv. Ten aanzien van het verhandelde achter gesloten deuren volgt uit de wet (art. 28 lid 1 sub a Rv) dat het verboden is om daaromtrent mededelingen te doen aan derden. Het verzochte mededelingsverbod in de zin van art. 28 lid 1 sub b Rv ten aanzien van de als vertrouwelijk aangemerkte stukken wordt toegewezen, zoals in het dictum bepaald. Het verbod ziet op (de inhoud van) producties EP57 en EP58.
technische achtergrond
De structuur
4.11.
Zeer vereenvoudigd weergegeven ziet deze, voor een leek op het betreffende gebied lastig te doorgronden, zaak op een digitaal communicatiesysteem waarbij de gegevens naar de gebruiker worden verzonden via een gedraaid paar (‘twisted pair’) koperen telefoonlijnen (hierna ook: de koperparen of (gebruiks)lijnen). De DSL-technologie (DSL staat voor Digital Subscriber Line) maakt het mogelijk om aan veel huishoudens op hoge snelheid gegevenscommunicatie te leveren voor breedbandtoegang via dezelfde draden/lijnen die gebruikt worden voor traditionele spraaktelefoondiensten. Gebruikslijnen van individuele gebruikers zijn in het algemeen in groepen gebundeld in kabels (hierna ook wel bundels) vanuit verdeelkasten.
4.12.
De DSL-technologie omvat een reeks formele standaarden voor het communiceren van breedbandsignalen over koperen lijnen. In de loop der tijd zijn de DSL-standaarden geëvolueerd onder andere om steeds hogere datasnelheden mogelijk te maken. De achtereenvolgende standaarden, van meest ‘eenvoudig’ naar meest geavanceerd, zijn onder meer: ADSL, ADSL2, ADSL2plus, VDSL, VDSL2, G.vector en G.fast. In deze zaak gaat het om een geavanceerde vorm van DSL, die zeer snelle communicatie en verzending van grote bestanden mogelijk maakt, te weten vectored-VDSL2 (Very high speed-DSL2) oftewel de G.vector standaard. In deze standaard is voor het eerst de hierna (in 4.18 e.v.) te bespreken ‘vectoring’ toegepast.
4.13.
De structuur van het communicatiesysteem vanaf de centrale (CO) via een al dan niet op afstand van de CO gelegen ‘verdeelkast’, bij VDSL ook wel aangeduid als DSLAM (zie ook 2.12), naar de (eind)gebruikers is hieronder schematisch weergegeven. In het octrooi wordt (de kant van) de gebruiker ook aangeduid met Consumer Premises Equipment, afgekort CPE (zie 2.6, fig. 2 en 4). De DSLAM vormt als het ware een schakel tussen de centrale van de aanbieder en het modem van de gebruiker. De verbinding tussen de CO en de DSLAM verloopt in het algemeen via glasvezelkabels, terwijl de verbinding van de DSLAM naar de eindgebruiker via de genoemde koperparen verloopt. De koperparen zijn in de figuur weergegeven met

. Zowel in de DSLAM als bij de gebruikers bevindt zich een modem. Alleen modems aan de gebruikerskant zijn in de figuur ingetekend.

4.14.
In de G.vector standaard wordt, net als bij de meeste andere DSL-systemen, een DMT systeem gebruikt om signalen te verzenden. DMT (Discrete Multi-Tone) is een transmissietechniek waarbij gebruik wordt gemaakt van meerdere parallelle signaal-kanalen, ook wel frequentie(s)(banden) of tonen genoemd, binnen één koperpaar/gebruikslijn. De lijn wordt voor de gegevensverzending als het ware verdeeld in sub-kanalen. Dit heeft als voordeel dat de gebruiker/ontvanger veel meer informatie tegelijk kan ontvangen (of verzenden) omdat parallel wordt verzonden via de sub-kanalen. De PSD (Power Spectral Density) is het vermogen (energie/tijdseenheid) verzonden in een frequentieband gedeeld door de breedte van die frequentieband. Door de PSD te wijzigen kunnen sub-kanalen als het ware harder of zachter worden gezet.
Overspraak
4.15.
Het feit dat meerdere koperparen in één kabel zijn gebundeld kan leiden tot een aanzienlijke (elektromagnetische) interferentie tussen parallelle lijnen. Dit verschijnsel staat bekend als overspraak (in de terminologie van het octrooi: ‘crosstalk’). Dit leidt ertoe dat elk signaal dat aan het einde van een lijn door een modem wordt ontvangen, over het algemeen niet alleen het verzonden signaal van het specifieke koperpaar omvat (dat zelf door de afstand al tot op zekere hoogte wordt verzwakt en vervormd), maar eveneens vervormde signalen die worden uitgezonden op naburige koperparen (overspraaksignalen). De overspraaksignalen (ruis) verminderen de zogenoemde signaal-ruisverhouding (Signal to Noise Ratio, SNR)) van het ontvangende modem, waardoor de bereikbare gegevenssnelheid op het corresponderende koperpaar vermindert. Met andere woorden: overspraak leidt ertoe dat dataoverdrachtssnelheden over één of meer van de betrokken koperparen (significant) kunnen afnemen. De naastliggende koperparen gebundeld in een kabel hebben dus een negatief effect op elkaars haalbare datasnelheden. Overspraak is voornamelijk een probleem bij hogere frequenties die worden gebruikt in DSL systemen zoals ADSL, VDSL, G.vector en G.fast.
4.16.
Er kunnen twee vormen van overspraak optreden: (i) overspraak die wordt ervaren bij de ontvanger door zenders aan dezelfde kant van de lijn als de ontvanger, aangeduid als Near-end crosstalk (NEXT), en (ii) overspraak die ontstaat door zenders die zich aan de andere kant van de lijn bevinden dan de ontvanger, m.a.w. interferentie tussen twee koperparen van een kabel gemeten aan het andere uiteinde van de kabel ten opzichte van de storende zender. Deze vorm van overspraak staat bekend als Far-end crosstalk, afgekort als FEXT. Beide vormen zijn hieronder schematisch weergegeven.

4.17.
Overspraak vanaf een lijn hangt samen met het vermogen, waarmee de signalen over die lijn worden verzonden. Zo kunnen de gevolgen van overspraak op een bepaalde band of toon binnen een lijn vanaf andere lijnen worden verminderd door de energie per tijdseenheid van het signaal dat over dat sub-kanaal verstuurd wordt, te verhogen. Dit resulteert in een hogere SNR. Aan de andere kant zal verhoging van de SNR op (een frequentie binnen) een lijn (door verhoging van de PSD), de overspraak op een sub-kanaal met overlappend frequentiespectrum in parallelle lijnen juist verhogen.
Vectoring
4.18.
Overspraak kan gecompenseerd worden door middel van vectoring. Deze methode is in het octrooi beschreven in [0074] e.v. in het hoofdstuk ‘Vectored Transmission’. Bij vectoring wordt een wiskundig model gemaakt om te bepalen hoe de signalen in
een lijn en de signalen in andere lijnen elkaar over en weer beïnvloeden, met andere woorden, wat de overspraak is. Dit model wordt vervolgens gebruikt om de effecten van overspraak te compenseren. Door deze compensatie wordt bewerkstelligd dat de ontvanger ontvangt wat wordt beoogd, doordat het effect van overspraak zoveel mogelijk wordt weggenomen. Met het van de overspraak gemaakte model wordt crosstalk vervolgens op twee manieren, afhankelijk van de communicatierichting, tegengegaan. Communicatie vanaf de CO/DSLAM naar de gebruiker (of CPE) wordt aangeduid als ‘downstream’, terwijl communicatie van de gebruiker naar de DSLAM ‘upstream’ wordt genoemd (zie figuur 4 van EP 456, weergegeven in 2.6). /Crosstalk in de downstream richting wordt al vóór verzending van het signaal aan de gebruiker gecompenseerd. Dit wordt bewerkstelligd door middel van zogenoemde ‘precoder blocks’ (die zich in de DSLAM bevinden). Upstream wordt het effect van overspraak na ontvangst van het signaal gecompenseerd met behulp van zogenoemde ‘canceller blocks’, nadat de data is aangekomen bij de DSLAM, zodat per saldo zo veel mogelijk het signaal overblijft dat oorspronkelijk door de transmitter was verzonden. In de G.vector standaard wordt dit aangeduid als, respectievelijk, precoding en cancellation. Cioffi , een van de uitvinders van EP 456, omschrijft het in één van zijn verklaringen4.aldus: ‘In the DSL community, crosstalk cancellation and precoding are known collectively as “vectoring’.
het octrooi
4.19.
Het octrooi ziet, voor zover hier van belang, net als de G.vector standaard, op het voorkomen van overspraak tussen gebruikslijnen die in een bundel vertrekken vanuit dezelfde verdeelkast, zowel downstream (van de centrale of verdeelkast naar de gebruiker) als upstream (van de gebruiker naar de centrale). Dit gebeurt door vectoring gecombineerd met onafhankelijke energieallocatie. Daardoor maakt het octrooi snellere breedbandtoegang mogelijk op een praktische en economische manier, aldus ASSIA.
4.20.
De omvang van het geschil is beperkt tot overspraak in de downstream richting (zie r.o. 1.3).
4.21.
Volgens EP 456 wordt overspraak downstream (zo veel mogelijk) voorkomen door, na een berekening van de interferentie, een toon voorafgaand aan de verzending vanaf de DSLAM (verdeelkast) te bewerken met behulp van vectoring in een precoder, zoals weergegeven in figuur 14 van EP 456.
Dit, zoals in 4.18 al genoemd, in tegenstelling tot compensatie van overspraak bij upstream berichten, die niet gebeurt vóór verzending maar pas bij ontvangst van het bericht in de DSLAM met behulp van een zogenoemde ‘canceller’, vgl fig 12 van EP 456.
4.22.
Conclusie 1 van het octrooi wordt, in navolging van partijen, onderverdeeld in de volgende deelkenmerken:
1.a A method of controlling a digital communication system (700) in a Digital Subscriber Line (DSL) system
1.b using Discrete Multi-tone communications
1.c having a plurality of communication lines (710) on which signals are transmitted and received,
1.d the signals being affected by interference during transmission,
1.e each of the communication lines being used by a user, the method comprising the steps of:
1.f during initialization, creating a model of the line, signal and interference characteristics of a communication line based on signals carried by other communication lines;
1.g after initialization, processing signals carried on the communication line using the model to remove interference from signals carried on the other communication lines by coding the signals carried on the communication line using canceller or precoder blocks at receiver or transmitter locations, respectively, and
1.h synchronizing transmissions of signals using synchronized block transmission and reception;
1.i wherein creating a model includes performing training-based channel identification during initialization in response to the step of synchronizing,
1.j the step of processing signals using the model to remove interference from signals includes determining the parameters of the canceller or of precoder blocks based on the training-based channel identification performed during initialization and in response to the synchronized block transmission and reception,
1.k the method being characterised by including the further step of allocating energy in frequency independently within each of said communication lines being used by each said user.
en voorts in (deels voorwaardelijke) reconventie
4.23.
Nu octrooihouder Stanford materiele procespartij is (zie 4.7 en 4.8), is de voorwaarde waaronder de vordering tot vernietiging van het octrooi is ingesteld vervuld zodat daaraan wordt toegekomen De rechtbank ziet aanleiding om de reconventie als eerste te beoordelen.
toegevoegde materie?
4.24.
In de conclusie van antwoord stelt Nokia dat met betrekking tot de onafhankelijke conclusies 1 en 16 in acht gevallen sprake is van ongeoorloofde toegevoegde materie in de zin van art.123 lid 2 Europees octrooiverdrag en dat EP 456 NL daarom moet worden vernietigd op grond van art. 75 lid 1 aanhef en sub c ROW. ASSIA betwist dat sprake is van ongeoorloofde toegevoegde materie.
4.25.
De ongeoorloofde toegevoegde materie argumenten van Nokia zijn, samengevat weergegeven en gerangschikt per kenmerk, de volgende:
kenmerk 1.k
- i.
weglaten dat deze maatregel beperkt is tot non-lineaire precoders en cancellers vormt een ontoelaatbare “intermediate generalisation”;
- ii.
dit kenmerk is ten onrechte niet beperkt tot de specifieke preferred (non-lineaire) precoder waarnaar de passage waarop deze toevoeging is gebaseerd terugverwijst;
kenmerk 1.h
weglaten van a. ‘at the CO/ONU’ en b. ‘all users employ block transmission with a cyclic prefix (CP) of at least length v.’ vormt ongeoorloofde toegevoegde materie;
kenmerk 1.f
weglaten van de informatieverzamelingsstap (genoemd in conclusie 1 van WO 008) vormt toegevoegde materie omdat die stap essentieel is;
voor het toevoegen van a. ‘during initialisation’ en b. ‘other communication lines’ zou geen basis zijn in WO008;
kenmerk 1.i
voor “creating a model includes performing training-based channel identification during initialization”, zou geen basis zijn in WO008;
voor toevoeging “in response to the step of synchronizing” evenmin (dit argument wordt ook aangevoerd voor kenmerk 1.j);
kenmerk 1.j
door bij toevoeging van dit kenmerk de maatregel ‘relies on perfect knowledge of the channel matrix and noise covariance matrix at the CO/ONU’ niet mee te nemen zou sprake zijn van ontoelaatbare toegevoegde materie.
4.26.
Naar het oordeel van de rechtbank slaagt de aanval van Nokia ten aanzien van kenmerk 1.k waartoe als volgt wordt overwogen. Gelet daarop kunnen de overige aanvallen van Nokia onbesproken blijven.
4.27.
De rechtbank stelt voorop dat wijzigingen van een Europese octrooiaanvrage (van zowel beschrijving of conclusies) slechts zijn toegestaan binnen de grenzen van hetgeen de vakman, met zijn vakkennis en objectief gezien op de indieningsdatum, rechtstreeks en ondubbelzinnig, impliciet dan wel expliciet, uit de oorspronkelijke aanvrage kan afleiden (de zogenaamde disclosure-test’ of ‘gouden standaard’). Na genoemde wijzigingen mag de vakman, anders gezegd, niet geconfronteerd worden met nieuwe technische informatie.5.De ratio van dit geldigheidsbezwaar is dat de aanvrager van een octrooi, in verband met de rechtszekerheid voor derden, zijn rechtspositie niet mag verbeteren door bescherming te claimen voor materie die niet is geopenbaard in de oorspronkelijke aanvrage. Een en ander volgt uit art. 75 lid sub c ROW, dat bepaalt dat een octrooi door de rechter wordt vernietigd voor zover: “(…) c. het onderwerp van het octrooi niet wordt gedekt door de inhoud van de ingediende aanvrage of, indien het octrooi is verleend op een afgesplitste of gewijzigde aanvrage (…), door de inhoud van de oorspronkelijke aanvrage”.
4.28.
In de rechtspraak van de Kamers van Beroep van het Europees Octrooibureau (EOB) zijn criteria aangelegd die worden gehanteerd voor de toegevoegde materie-toetsing in specifieke situaties, zoals bij toevoegingen aan dan wel weglatingen uit oorspronkelijk ingediende conclusies, of het in een conclusie veralgemeniseren van een kenmerk van een bepaalde uitvoeringsvorm zonder de overige kenmerken daarvan aldus te veralgemeniseren (‘intermediate generalisation’). Nokia heeft een beroep gedaan op de in de EOB-rechtspraak ontwikkelde regel dat een intermediate generalisation slechts toelaatbaar is als het voor de vakman duidelijk is dat tussen het veralgemeniseerde kenmerk en de overige kenmerken van de uitvoeringsvorm waaruit het kenmerk is gehaald geen functioneel of structureel verband bestaat. De rechtbank zal ook naar deze regel verwijzen. In lijn met G 2/10 is de rechtbank van oordeel dat deze regel slechts een hulpmiddel is en dat uiteindelijk slechts het antwoord op de eerder geformuleerde hoofdvraag (de disclosure-test of ‘gouden standaard’) de doorslag geeft.
4.29.
Voor de beoordeling van toegevoegde materie geldt de tekst van WO 008 als de oorspronkelijke aanvrage van (de moederaanvrage van) EP 456. Nokia baseert haar argumenten uitsluitend op uitbreiding van materie ten opzichte van die aanvrage en niet (mede) op uitbreiding ten opzichte van de oorspronkelijke afgesplitste aanvrage uit 2010. Voor zover hier van belang, wijkt de beschrijving van WO 008 niet af van de hiervoor in 2.5 weergegeven beschrijving in het octrooischrift, met uitzondering van de in WO 008 ontbrekende alineanummers.
kenmerk1. k
4.30.
De beweerdelijke uitbreiding van materie-bezwaren (i) en (ii), die beide betrekking hebben op kenmerk 1.k, worden tezamen besproken omdat deze in elkaars verlengde liggen.
4.31.
Kenmerk k is tijdens de verleningsprocedure van de afgesplitste aanvrage EP 456 aan conclusies 1 en 16 toegevoegd ter afbakening van een document uit de stand van de techniek dat door de examiner (mogelijk) nieuwheidsschadend werd geacht (D1). In de woorden van ASSIA is het octrooi daarbij beperkt van “vectoring” in het algemeen (zonder dat het relevant was of dit met lineaire of non-lineaire precoders gebeurde) tot “onafhankelijke energietoewijzing”, naar de rechtbank begrijpt in combinatie met vectoring.6.Kenmerk 1.k luidt: ‘the method being characterised by including the further step of allocating energy in frequency independently within each of said communication lines being used by each said user’. In de Nederlandse vertaling: ‘waarbij de werkwijze wordt gekenmerkt door het omvatten van de verdere stap van het toekennen van energie in frequentie onafhankelijk binnen ieder van de communicatielijnen die gebruikt wordt door iedere gebruiker’.
4.32.
Dit kenmerk ziet op onafhankelijke energieallocatie (of -toewijzing) aan tonen/frequenties binnen een gebruikerslijn, en wordt geopenbaard op pagina 37 van WO 008. Daarmee wordt bedoeld dat bij verdeling van de voor een gebruikerslijn beschikbare energie over de verschillende sub-kanalen binnen een gebruikerslijn, het niet nodig is om rekening te houden met de energie(verdeling) binnen andere lijnen. Daarover lijken partijen het eens.
4.33.
Partijen houdt in de kern verdeeld of WO 008 aan de vakman duidelijk en ondubbelzinnig openbaart dat de vereenvoudiging van de energieallocatie (van formule Eq 33 naar Eq 39), waardoor de toewijzing van energie per toon binnen één gebruikerslijn onafhankelijk wordt van de energietoewijzing in andere lijnen, uitsluitend is geopenbaard in combinatie met een niet-lineaire (preferred) precoder of geldt voor alle precoders, in het bijzonder ook voor lineaire precoders. De rechtbank is met Nokia van oordeel dat de vakman uit WO 008 op de indieningsdatum niet rechtstreeks en ondubbelzinnig, impliciet dan wel expliciet, zou begrijpen dat de methode van onafhankelijke energietoewijzing ook kan worden toegepast in combinatie met (een methode dan wel een inrichting waarbij gebruik wordt gemaakt van) een lineaire precoder noch van enige andere (al dan niet lineaire) precoder anders dan de beschreven preferred precoder. Daartoe is het volgende redengevend.
4.34.
Als basis voor de toevoeging van kenmerk 1.k verwees Stanford tijdens de verleningsprocedure naar p. 35, r. 6-11, p. 37 onder vergelijking 39 tot en met het volgende deel en naar conclusies 10 en 11 van WO 008. Nokia heeft er terecht op gewezen dat de passage op p. 35, r. 6-11 (waarvan de tekst overeenkomt met [0095] van EP 456, zie 2.5), niets openbaart over onafhankelijke energieallocatie per gebruiker, maar slechts leert dat het combineren van (1) overspraak eliminatie (“crosstalk elimination”) met (2) optimalisatie van de energietoewijzing, de prestaties van het systeem zal verbeteren. Ook in conclusies 10 en 11 van WO 008 is geen basis te vinden voor kenmerk 1.k. Hetgeen daar wordt geclaimd ziet veeleer op afhankelijke energietoewijzing. Een en ander is door ASSIA niet betwist. De basis voor kenmerk 1.k moet dan ook worden gevonden op pagina 37 van WO 008, onder Eq (39), in de zinsnede:
‘With this in mind, it is seen that the energy allocation problem of Equation (33) becomes independent for each user, and thus the ak weights are irrelevant in this scenario’.
4.35.
Nokia betoogt dat die geciteerde passage, de enige plaats in WO 008 waar onafhankelijke energietoewijzing genoemd wordt, zo moet worden gelezen dat deze manier van energietoewijzing uitsluitend wordt geopenbaard in het kader van een specifiek uitvoeringsvoorbeeld, te weten uitsluitend in combinatie met een (specifieke) non-lineaire precoder die via vectoring de overspraak compenseert. Door kenmerk 1.k toe te voegen zonder tevens op te nemen het (beperkende en functionele) kenmerk dat die wijze van energietoewijzing uitsluitend geldt in combinatie met (i) niet-lineaire precoders of (ii) met de preferred precoder is sprake van intermediate generalisation.
4.36.
De bedoelde preferred precoder is in WO 008 (en in EP 456)7.wiskundig uitgedrukt in vergelijking Eq (29). Deze vergelijking is hieronder weergegeven zoals opgenomen in de pleitnota van ASSIA, met kleuren:

Partijen zijn het erover eens dat de in Eq 29 weergeven vergelijking vectoring behelst en dat de wiskundige bewerking voor de precoder niet-lineair is vanwege de daarin opgenomen modulo berekening (weergegeven in het zwart met hoofdletter gamma). In de vergelijking staat k voor het aantal lijnen/gebruikers in de bundel. De oorspronkelijke signalen die moeten worden verzonden over een frequentie i aan een gebruiker zijn in het blauw weergeven. Dit wordt in WO 008 en het octrooi ook de diagonale component genoemd. De compensatiefactoren die op een toon/frequentie worden aangebracht om overspraak te compenseren zijn in het rood weergegeven en worden de niet-diagonale componenten van de matrix genoemd.
4.37.
Ter onderbouwing van haar standpunt wijst Nokia op de volgende passage op pagina 37 van WO 008 (waarvan de hiervoor in 4.34 weergegeven zin het slotakkoord vormt):

Zij voert aan dat ‘with this in mind’ terugverwijst naar de veralgemenisering ‘It is reasonable to assume that this result holds generally’, dat weer terug verwijst naar de zin ervoor. Dit moet zo worden begrepen dat de veralgemenisering die wordt gemaakt ziet op de simulatieresultaten met betrekking tot extreme kanaalomstandigheden (‘extreme loop topologies’), die veralgemeniseerd kunnen worden naar alle kanaalomstandigheden. Dit volgt uit de toevoeging ‘since the simulated loops correspond to а worst-case situation with rеgard tot the crosstalk coupling’.
4.38.
De rechtbank is met Nokia van oordeel dat de vakman in deze passage (of elders in WO 008) geen aanwijzing – expliciet noch impliciet – vindt dat de veralgemenisering ook ziet op veralgemenisering van de ‘preferred precoder’ naar elke willekeurige precoder, in het bijzonder ook naar lineaire precoders. Uit de tekst van de passage is duidelijk dat de veralgemenisering betrekking heeft op de “preferred precoder”, wat verwijst naar de precoder van Eq 29. Volgens professor M. Moonen , deskundige van Nokia, is dat ook nog een specifiek type precoder, namelijk van het type Zero Forcing (ZF), hetgeen niet door ASSIA (noch haar deskundigen) is betwist.8.Zonder verdere aanwijzingen, die ontbreken, zal een gemiddelde vakman dan niet de conclusie trekken dat onafhankelijke energietoewijzing bij elke andere precoder, lineair of niet, zal kunnen plaatsvinden. Integendeel. In WO 008 (p. 35, r. 6-11) leert de vakman in het hoofdstuk ‘VECTORED TRANSMISSION’ in DSL systemen (p. 27 e.v.) dat ‘Crosstalk cancellation via QR Composition’ en ‘Transmission Optimization’ (waaronder energy allocation) als verschillende stappen van vectoring behandeld worden. Op p. 35, r.6-11, leert hij dat crosstalk elimination (in de downstream richting door middel van de besproken preferred precoder) de werking van het (DSL) systeem kan verbeteren en dat, daarnaast, energieallocatie ook het systeem kan verbeteren. Dit lijken derhalve twee verschillende stappen/bewerkingen.
4.39.
Ook ASSIA stelt dat sprake is van verschillende stappen die weliswaar nauw met elkaar samenhangen. Zij voert aan dat de onderkenning van de diagonale dominantie van een DSL kanaal (onder bepaalde randvoorwaarden) zoals in WO 008 geopenbaard9., meerdere technische gevolgen heeft, te weten enerzijds voor de overspraak correctie (de vectoring/de precoder) en anderzijds voor de energietoewijzing. Naar zij betoogt zijn de technische effecten:
(1) voor energietoewijzing binnen een lijn dat deze onafhankelijk wordt van de toewijzing (van energie) aan andere lijnen (kenmerk 1.k) (Eq (33) kan worden vereenvoudigd tot Eq (39)) en
(2) voor de crosstalk elimination dat de modulo berekening achterwege kan blijven in Eq 29 (de preferred precoder) waardoor de precoder lineair wordt.
4.40.
De rechtbank ziet, met Nokia, niet hoe de vakman effect (2) op de prioriteitsdatum voldoende duidelijk en ondubbelzinnig uit WO 008 leert. Op p. 36 en 37 van WO 008 wordt uitgelegd dat vectoring de kanalen in feite diagonaliseert10.en wat dit voor gevolgen heeft voor de energie toekenning (de energy constraint). Met betrekking tot downstream situatie wordt daarbij expliciet opgemerkt dat de bewerking daar ingewikkelder is vanwege ‘non-linear precoding’ (onderstreping rechtbank). Dit wijst erop dat met die randvoorwaarde bij energie toekenning in de downstream richting rekening moet worden gehouden. Voorts leert de aanvrage slechts dat Eq (33) ten gevolge van de veralgemenisering van de resultaten van de simulaties met ‘extreme loop topologies’ kan worden vereenvoudigd tot Eq (39), waardoor onafhankelijke energietoewijzing mogelijk is (effect 1).
4.41.
In de tekst van WO 008 wordt aan onafhankelijke energieallocatie nergens het gevolg verbonden dat daarmee ook de modulo operatie in de (downstream) signaalaanpassing voor overspraakcompensatie van Eq (29) kan worden weggelaten, zodat die vergelijking lineair wordt. Er wordt geen expliciet verband gelegd tussen de energietoewijzing bedoeld in Eq (33) en Eq (39) enerzijds en de precoding operatie van Eq (29) anderzijds. De vraag is dan of de vakman dit impliciet, maar wel duidelijk en ondubbelzinnig (zie 4.27) zal begrijpen.
4.42.
ASSIA betoogt (ook middels de verklaringen van Kanellakopoulos , Cioffi en Ginis11.) dat de vakman bij lezing van hetgeen in het hoofdstuk ‘Transmission Optimization’ wordt beschreven over de energietoewijzing zou begrijpen dat dit ook gevolgen heeft voor de preferred precoder, in die zin dat hij zou inzien dat uit vergelijking Eq (29) de hierboven in het rood weergegeven bewerking kan worden weggelaten waardoor de precoder lineair wordt. Dit betoog overtuigt niet. Al niet omdat niet is komen vast te staan dat de gemiddelde vakman die conclusie rechtstreeks en ondubbelzinnig zal trekken. Mede-uitvinder Ginis verklaart hierover (in VP64) het volgende:
“12. (…) There is nothing in EP456 suggesting that the result of ¶[0100] applies only to the case of the “preferred precoder”. Any skilled person would understand from ¶[0100] that variations of the “preferred precoder” would also result in the same simulation results.
13. Such a skilled person would be specifically motivated to simplify the precoder structure. The skilled person would have knowledge of ¶[0091] of EP456. This knowledge would lead him/her to the observation that, under the conditions of ¶[0091], in equation (29), the sum term is much smaller than the (~U,i)k term. That observation would motivate a precoder structure without the modulo operation, i.e. a linear precoder.”
Dat de vakman gemotiveerd zou zijn om de ‘precoder structure’ aan te passen, is echter niet relevant in het kader van toegevoegde materie. Het gaat er immers om of die aanpassing (tot een lineaire precoder) duidelijk en ondubbelzinnig uit WO 008 volgt. Dat is niet het geval en te minder ten aanzien van andere precoders dan die van Eq 29, waarvoor zelfs geen enkele mathematische/theoretische onderbouwing is gegeven. Daarbij speelt een rol dat vectoring, naar ASSIA zelf heeft toegelicht, ten tijde van de aanvrage nog in de kinderschoenen stond, in die zin dat daarover nog niet veel bekend was. Dit heeft ook zijn weerslag op de aan de gemiddelde vakman op dat moment toe te dichten vakkennis en zijn vermogen om deducties te maken. Het is ook maar de vraag of de gemiddelde vakman qua algemene vakkennis op dit terrein op de prioriteitsdatum overeenkomt met de door Kanellakopoulos in zijn verklaring bij herhaling genoemde ‘experienced practitioner’.
4.43.
ASSIA en haar deskundigen wijzen ook nog op de volgende passage in WO 008 ter onderbouwing van veralgemenisering van de onafhankelijke energietoewijzing respectievelijk weglaten van de modulo-operatie in Eq 29 (p. 33-34):


4.44.
ASSIA stelt dat hierin de diagonale dominantie van de matrix, die de basis vormt voor de vectoring berekeningen, wordt beschreven en zo de “doorbraak” van het octrooi weergeeft. Het is deze diagonale dominantie die de gemiddelde vakman (kennelijk rechtsreeks en ondubbelzinnig) tot de conclusie zou leiden dat de energietoename als gevolg van de compensatiefactoren voor overspraak (in wezen dus de energietoename van de niet-diagonale component van de precoder) kan worden verwaarloosd in Eq 29 zodat het rode gedeelte (zie 4.35) kan worden weggelaten, zo ook de modulo-operatie, aldus nog altijd ASSIA. Deze stelling wordt verworpen.
4.45.
Ook in de betreffende passage wordt geen van deze voor de redenering van ASSIA belangrijke (tussen)conclusies getrokken, ondanks dat Eq 29 kort daarvoor (slechts één bladzijde met maar twee paragrafen tekst en drie vergelijkingen) in de aanvrage is weergegeven. De rechtbank is het met Nokia eens dat het maar zeer de vraag is of een gemiddelde vakman de door ASSIA gewenste (tussen)conclusies naar aanleiding van deze passage (noodzakelijkerwijs) zal trekken. Als die passage zo relevant was als ASSIA nu doet voorkomen, dan zou een gemiddelde vakman hebben verwacht dat de daaraan te verbinden (eind)conclusies aangaande veralgemenisering van de onafhankelijke energietoewijzing en weglating van de modulo-operatie aldaar of elders zouden worden benoemd. Het trekken van die conclusies uit deze passage wordt – ook in de optiek van ASSIA – aan het (abstracte) denkvermogen van de gemiddelde vakman overgelaten. De gemiddelde vakman wordt echter geacht hoogstens in zeer beperkte mate van zijn reflectie en fantasie gebruik te maken in het kader van de disclosure-test.12.Juist gezien het relatief onontgonnen vakgebied, dient een vakman daarbij aan de hand te worden genomen, zeker als de passage en de bijbehorende ongeschreven conclusies die daaruit getrokken zouden moeten worden, zo belangrijk zijn voor de uitvinding. Dit is niet gebeurd. Hier komt bij dat Nokia er terecht op heeft gewezen dat in het zogenoemde prioriteitsartikel – dat is geschreven door de uitvinders van het octrooi vóór de datum van de aanvrage (en waaruit een groot deel van de beschrijving van de aanvrage letterlijk is overgenomen) en dat is gepubliceerd in juni 2002 – de hiervoor genoemde passage terugkomt eveneens zonder dat daaraan de conclusie tot weglating van de modulo-operatie wordt verbonden. Integendeel, daarin wordt in de paragraaf III.C waarin de betreffende passage staat, juist benadrukt dat de modulo operatie noodzakelijk is, zelfs bij diagonale dominantie van de matrix (p. 1091-1092)13.:
“All the previous arguments were made for upstream transmission, but they can easily be extended to downstream transmission by starting with the observation that the crosstalk signals at a specific receiver can never exceed in magnitude the “directly” received signal. (Alternatively, the same conclusions can be reached by using the transpose relationship between the upstream and downstream channel matrices, which in most practical situations is approximately true.) In this case, the diagonal element of a row of Ti is always larger in magnitude than the off-diagonal elements of the same row. Again, it should be stressed that this condition is not equivalent to saying that the crosstalk signals are weak, and therefore the modulo operation is absolutely necessary during precoding, in order to prevent energy increase.” (onderstreping rechtbank)
4.46.
Aan ASSIA moet worden toegegeven dat dit artikel is gepubliceerd na indiening van WO 008 en in zoverre niet rechtstreeks kan worden gebruikt ter interpretatie van de aanvrage maar het zegt wel wat over hoe een gemiddelde vakman (en zelfs de uitvinders) de betreffende passages zou(den) opvatten en hij daaruit niet, en zeker niet rechtstreeks, duidelijk en ondubbelzinnig, de door ASSIA gewenste conclusies zal kunnen destilleren. Dat verderop in het artikel ook nog de passage van p. 37 WO 008 terugkomt, maakt het voorgaande niet anders, nu deze zoals hiervoor al is overwogen gekoppeld is aan een specifieke precoder.
4.47.
ASSIA heeft nog aangevoerd dat kenmerk 1.k geen intermediate generalisation vormt omdat de preferred precoder slechts een voorkeursuitvoering zou zijn. Aan dit betoog gaat de rechtbank, voor zover dit met het voorgaande niet reeds is weerlegd, voorbij. De resultaten van de simulaties met “extreme loop topologies” en bijbehorende veralgemenisering zien immers op toepassing van de “preferred precoder” en zijn niet algemener te trekken.
4.48.
De rechtbank is dan ook van oordeel dat de vakman zou begrijpen dat de vereenvoudiging van de energieallocatie is beperkt tot een situatie waarbij voor vectoring de preferred precoder gebruikt wordt. Dit brengt mee dat onafhankelijke energieallocatie uitsluitend is geopenbaard in combinatie met het gebruik van de niet-lineaire preferred precoder, en dat dit deel-kenmerk, dat functioneel verband houdt met de onafhankelijke energieallocatie, ten onrechte is weggelaten. Er is sprake van intermediate generalisation en derhalve van ongeoorloofde toegevoegde materie.
conclusie in reconventie
4.49.
Het voorgaande leidt ertoe dat conclusies 1 en 16 van EP 456 NL nietig zijn. Nokia heeft voorts gesteld en toegelicht waarom de ingeroepen volgconclusies (zie 3.1) nietig zijn wegens toegevoegde materie dan wel gebrek aan nieuwheid/inventiviteit. Nu ASSIA daar geen gemotiveerde betwisting tegenover stelt, zal de gevorderde vernietiging van deze volgconclusies eveneens worden toegewezen. Afhankelijke conclusies 8, 10, 11, 12, 15 en 18 blijven ongewijzigd in stand nu Nokia niet heeft toegelicht waarom die conclusies vernietigd zouden moeten worden.
4.50.
Bij die stand van zaken valt niet in te zien welk aanvullend belang KPN/Nokia nog hebben bij de tevens gevorderde verklaring voor recht dat het Nederlandse deel van EP 456 niet geldig is. Die vordering wijst de rechtbank dan ook af.
en voorts in conventie
4.51.
De uitkomst in reconventie brengt reeds mee dat KPN c.s. geen inbreuk maakt, zodat het gevorderde inbreuk verbod zal worden afgewezen. Het doek valt daarmee ook voor alle overige (neven)vorderingen.
4.52.
Ter bevordering van een mogelijk verder debat tussen partijen, hecht de rechtbank er echter aan om ten overvloede in te gaan op een door Nokia opgeworpen niet-inbreuk argument.
ten overvloede
4.53.
KPN/Nokia voeren onder meer aan dat KPN c.s. geen inbreuk maakt op het octrooi omdat zij – met haar DSLAM – kenmerk 1.f niet toepast. Dit is, naar Nokia betoogt, het geval omdat, kort gezegd, bij haar systeem gedurende de initialisatie, anders dan kenmerk 1.f voorschrijft, géén model wordt gemaakt, althans niet noodzakelijkerwijs, van, onder meer, de interferentiekarakteristieken van een communicatielijn gebaseerd op signalen gedragen door andere communicatielijnen. Dit gebeurt bij haar, althans kan bij haar gebeuren, naar zij aanvoert, na de initialisatie, tijdens ‘Showtime’. De discussie over (of al dan niet is voldaan aan) kenmerk 1.f is evenwel nogal beperkt geweest. Bij de stand van de discussie na afloop van de pleidooien zou dit verweer slagen, hetgeen als volgt wordt toegelicht.
4.54.
Kenmerk 1.f luidt: during initialization, creating a model of the line, signal and interference characteristics of a communication line based on signals carried by other communication lines.
In de Nederlandse vertaling is de tekst als volgt: gedurende initialisatie, het creëren van een model van de lijn-, signaal- en interferentiekarakteristieken van een communicatielijn gebaseerd op signalen gedragen door andere communicatielijnen.
4.55.
Partijen zijn het erover eens dat dit kenmerk ziet op de situatie waarbij een aantal gevectorde lijnen (een ‘vectored group’) al actief is in een (vectored) VDSL systeem, en een nieuwe gebruikerslijn opkomt en wil gaan deelnemen aan – en derhalve moet worden ingepast in – de vectored group, en niet op de beginsituatie waarbij nog geen vectored group is gevormd.14.Dit is in lijn met de verwijzing door ASSIA in de claim chart (productie VP40) met betrekking tot kenmerk 1.f naar hoofdstuk(ken 9 en) 10 van de standaard15.:
“Clause 9 of G.993.5 describes that in order to activate a line in a vectored group of lines, an initialization as described in Clause 10 of G.993.5 must be performed. The situation that clause 10 envisions is of a vectored group in which a new line is being activated. (…)”
Ook Kanellakopoulos verwijst naar ‘Section 10’ van de standaard en merkt op (EP 67, par. 7 en 8):
“7. (…) it is important to cancel all (or at least most of) the crosstalk between all the “active” lines (i.e., the lines that are in Showtime and transmitting user data) in the vectored group. When a new line (for example, a new user) wants to join the vectored group, it has to go through a process of initialization. This new line is then called an “initializing” line; once it goes through initialization and joins the vectored group, the initializing line becomes one of the active lines.
8. This initialization process is described in Section 10 of G.993.5; the most relevant part to this discussion is Section 10.1, pp. 31-33.”
Hoofdstuk 10 van de standaard (zie 2.13), getiteld ‘Initialization of a vectored group’, ziet op het inpassen van een nieuwe lijn in een vectored group. Dit wordt hierna aangeduid als het initialisatieproces en door partijen ook wel als initialisatie.
4.56.
De nieuwe, opkomende, lijn bij dit initialisatieproces wordt aangeduid als de initialiserende lijn (‘initializing line’). De andere, reeds actieve, lijnen in de vectored group, duiden partijen aan als actieve lijnen of ‘lines in Showtime’ (zie Spruyt sub 8 en Kanellakopoulos sub 7: ‘the “active” lines (i.e., the lines that are in Showtime and transmitting user data)’. In (figuur 10-1 van) de standaard worden deze lijnen aangeduid als ‘vectored lines’.
4.57.
Spruyt , een ingenieur in dienst van Nokia, verklaart (in productie VP 61) over de werking van de door KPN c.s. gebruikte DSLAM van Nokia, onder verwijzing naar de standaard, als volgt:
“5. The vectoring implementation as designed by NOKIA (further referred to as 'NOKIA Vectoring') contains choices in implementing the G.vector standard. These implementation choices are neither prescribed, nor prevented, by the standard. (…)
7. The initialization procedure per the G.vector standard consists of successive steps. After the G.vector initialization procedure has been completed, the link enters the G.vector
‘Showtime’ state, which is the state of user data transmission.
8. NOKIA Vectoring allows that, when one or more lines initialize (initializing line, being a
VDSL2 line that is starting up and progressing through the G.vector initialization procedure), crosstalk from the already active lines (being VDSL2 lines that are in Showtime) into the initializing line(s) is not cancelled during initialization. Also, in that case, no model is created during initialization for the crosstalk from the other lines in Showtime into the initializing line(s).
9. This implementation is known within NOKIA as ‘Gain During Showtime’, since it is designed in such a way that measuring the crosstalk (i.e. building the crosstalk model) from the active lines into the initializing line(s) as well as measuring the crosstalk in between the initializing lines (in case multiple lines initialize simultaneously) is performed during Showtime (and not during initialization).
10. (…) this NOKIA Vectoring implementation with ‘Gain During Showtime’ is not prescribed as such in the G.vector standard, but it is also not prevented by the standard.” [onderstreping rechtbank]
4.58.
Nokia heeft – voor het eerst tijdens pleidooi – toegelicht dat wanneer een nieuwe lijn toetreedt tot een vectored group, rekening gehouden moet worden met twee vormen van FEXT crosstalk/overspraak, en dat daarvan twee (deel)modellen gecreëerd (moeten) worden, te weten:
- één (deel)model van crosstalk veroorzaakt door de initialiserende lijn16.op de reeds actieve lijnen (hierna door de rechtbank aangeduid als model 1) en
- een tweede (deel)model van crosstalk veroorzaakt door de actieve lijnen op de initialiserende lijn (hierna: model 2).
Ter verduidelijking van het verschil zijn hieronder afbeeldingen van, respectievelijk, overspraak bedoeld in model 1 en model 2, opgenomen (overgenomen uit de pleitnota van Nokia):

4.59.
Het feit dat deze twee weergegeven vormen van overspraak zich voordoen en daarvan afzonderlijke (deel)modellen gemaakt worden, lijkt niet in geschil. Kanellakopoulos , door ASSIA als deskundige opgevoerd, onderschrijft dit. In EP67 randnummer 9 bespreekt hij wat hier wordt aangeduid als model 1, onder verwijzing naar de standaard waarin dit ook wordt genoemd (‘create a model of crosstalk from the initializing line into the active lines (O-P-VECTOR 1 and O-P-VECTOR 1-1 in Figure 10-1)’). In randnummers 10 en 11 van zijn verklaring duidt hij op model 2 (‘a model for the crosstalk from the active lines into the initializing line’).
4.60.
Nokia’s niet-inbreuk verweer komt er op neer dat bij haar DSLAM systeem model 2 niet wordt gemaakt tijdens de initialisatiefase maar tijdens ‘Showtime’. Zij wijst erop dat de G.vector standaard alleen voorschrijft dat tijdens de initialisatie in de downstream richting model 1 moet worden gemaakt. Dit is in figuur 10-1 van de standaard weergegeven als “O-P-VECTOR 1”.
4.61.
Het standpunt van ASSIA is dat KPN c.s. inbreuk maakt op kenmerk 1.f omdat tijdens de initialisatie noodzakelijkerwijs ‘een model’ gemaakt wordt. Dat standpunt van ASSIA leidt de rechtbank af uit de verklaring van Kanellakopoulos onder 12. en 13, waar hij opmerkt dat het niet anders kan dat tijdens de initialisatie een model gemaakt moet worden om het effect van de overspraak van de initialiserende lijn op de actieve lijnen te neutraliseren. Hij noemt dat de standaard met “O-P-VECTOR 1” dit voorschrijft, en verbindt daaraan de conclusie dat KPN/Nokia daarmee inbreuk maakt. Ook volgt dit uit de opmerking in de pleitnota randnummer 54, slot, dat ‘in ieder geval tijdens initialisatie een model wordt gecreëerd, zoals conclusie 1.f vereist’ en uit randnummer 55. ASSIA lijkt hiermee kennelijk te bedoelen dat kenmerk 1.f zo gelezen moet worden, dat model 1 en 2 daaronder vallen – althans zij maakt tussen die (deel)modellen geen onderscheid (terwijl Nokia dit zoals gezegd voor het eerst duidelijk tijdens pleidooi heeft gedaan) en beschouwt deze als één model – terwijl het standpunt van KPN/Nokia is dat kenmerk 1.f uitsluitend voorschrijft dat tijdens de initialisatie (deel)model 2 gemaakt wordt.
4.62.
Naar het oordeel van de rechtbank zal de vakman kenmerk 1.f zo begrijpen dat dit uitsluitend ziet op het creëren van model 2. Dit volgt in de eerste plaats uit de tekst van het kenmerk, waarin is opgenomen:
gedurende initialisatie, het creëren van een model van de (…) interferentiekarakteristieken van een communicatielijn gebaseerd op signalen gedragen door andere communicatielijnen”.
Tijdens pleidooi heeft Nokia toegelicht dat kenmerk 1.f, gelezen in samenhang met kenmerkt 1.g, aldus moet worden begrepen dat met ‘een communicatielijn’ de initialiserende lijn bedoeld wordt en met de ‘andere communicatielijnen’ de actieve lijnen. Dit is door ASSIA niet betwist, zodat dit tot uitgangspunt dient. Het is overigens ook niet goed denkbaar het kenmerk te lezen op model 1, omdat dat (deel)model niet wordt gebaseerd op meerdere (“andere”) communicatielijnen maar slechts op de nieuw inkomende, initiërende lijn. Kenmerk 1.f noemt dan uitsluitend dat tijdens de initialisatie een model wordt gemaakt van de interferentiekarakteristieken gebaseerd op signalen gedragen door de actieve lijnen. Het maken van een (deel)model van de overspraak van de signalen verzonden over de initialiserende lijn naar de al actieve lijnen wordt niet genoemd. Dit betekent dat de tekst van dit kenmerk alleen voorschrijft om tijdens het initialisatieproces (deel)model 2 te maken. Gesteld noch gebleken is dat de beschrijving of de tekeningen van EP 456 de vakman aanleiding geven om dit kenmerk anders te lezen. De (tussen)conclusie is dan ook dat kenmerk 1.f uitsluitend ziet op (deel)model 2.
4.63.
Vervolgens is de vraag wat KPN c.s. toepast, en of dit onder de beschermingsomvang van het octrooi valt. ASSIA heeft er op gewezen dat Spruyt niet ondubbelzinnig stelt dat KPN c.s. model 2 pas na het initialisatieproces maakt en derhalve geen inbreuk maakt maar slechts dat het door haar gebruikte systeem het mogelijk maakt om ‘during Showtime’ model 2 te maken. Zij doelt daarbij op randnummer 8 in de verklaring van Spruyt (‘allows’). Hetgeen gebeurt tijdens Showtime is in die lezing van ASSIA slechts een aanpassing van een al tijdens de initialisatie gegenereerd volledig model, inclusief model 2. Anderzijds lijkt ASSIA ook te onderschrijven dat het mogelijk is om model 2 – de compensatie voor de overspraak door actieve lijnen op de initialiserende lijn – pas na initialisatie te creëren ‘during Showtime’, als de initialiserende lijn al actief is, en dat dit meebrengt dat dit na de initialisatie gebeurt. Dit volgt uit de verklaring van Kanellakopoulos (EP67, randnummers 10 en 12). Tijdens pleidooi (pleitnota, randnummer 56) zegt ASSIA hierover:
“56. Zoals Kanellakopoulos uitlegt in zijn verklaring die is overgelegd als productie 67, is het inderdaad mogelijk dat wanneer een nieuwe lijn wordt bijgeschakeld, pas na initialisatie van die lijn het model wordt aangepast om overspraak van alle bestaande lijnen in die nieuwe lijn tegen te gaan, zoals Spruyt ook suggereert. Omgekeerd, de aanpassing van het model om overspraak van de nieuwe lijn in alle bestaande lijnen tegen te gaan, gebeurt al tijdens initialisatie van de nieuwe lijn. De ratio hierachter is dat niet alle bestaande lijnen hinder ondervinden wanneer een nieuwe lijn wordt bijgeschakeld. Aangezien de nieuwe lijn nog aan het opstarten is, is het niet erg als het model pas later wordt aangepast voor wat betreft de overspraak die wordt veroorzaakt door de bestaande lijnen in de nieuwe lijn. [nadruk en onderstreping toegevoegd, rechtbank]
4.64.
ASSIA betwist evenmin dat de standaard de procedure van Gain during Showtime toestaat (althans, niet uitsluit), en zij heeft ook niet expliciet (en voldoende onderbouwd) aangevoerd dat model 2 volgens de standaard gemaakt moet worden tijdens de initialisatie, terwijl zij dit wel aanvoert voor ‘het model’. Weliswaar spreekt zij in het hierboven weergegeven onderstreepte deel van het citaat uit haar pleitnota over aanpassing van ‘het model’ (naar de rechtbank begrijpt mede doelend op (deel)model 2), waarmee zij suggereert dat er al wel een model 2 zou zijn. Echter, die suggestie heeft zij op geen enkele manier handen en voeten gegeven en lijkt door Kanellakopoulos (in EP67) te worden weersproken:
“9. During this initialization process, it is mandated by the standard to create a model of the crosstalk from the initializing line into the active lines (O-P-VECTOR 1 and O-PVECTOR 1-1 in Figure 10-1), and then utilize this model to cancel the crosstalk from the initializing line into the active lines. (…)
10. This is not necessary for the initializing line, since that user is not yet active. That line can start operating without canceling the crosstalk from the previously active lines, and then gradually create a model for that crosstalk, cancel that crosstalk, and increase its data speed over the course of several seconds or even several minutes.
11. This is exactly the process that Mr. Spruyt is describing. He states that, during initialization, the Nokia implementation does not create a model for the crosstalk from the active lines into the initializing line, and does not cancel that crosstalk.”
4.65.
Het heeft er veel van weg dat hier sprake is van een woordenspel, waarbij partijen elk iets anders lijken te bedoelen met de woorden ‘model’, ‘initialisatie’, ‘aanpassen’ en wat al dan niet optioneel is in de standaard. De rechtbank kan het feit dat KPN c.s. de G.vector standaard toepast niet rijmen met hetgeen zij zegt te doen enerzijds en hetgeen de standaard lijkt voor te schrijven anderzijds. In de standaard loopt het initialisatieproces door totdat ook (deel)model 2 is gecreëerd tijdens de training phase. Op pagina 33 (zie 2.13) staat immers expliciet dat de initialisatiefase is afgerond nadat O-P-VECTOR 2-1 (zie figuur 10-1 van de standaard) geheel is verzonden en de gehele FEXT kanaal matrix is berekend, met inbegrip van de FEXT coëfficiënten van de initialiserende lijn in de gevectorde lijnen (model 1, O-P-VECTOR 1, 1-1 en 2-1) en die van de gevectorde lijnen in iedere initialiserende lijn (model 2, O-P-VECTOR 2-1). Daarna begint pas de fase die in de standaard wordt aangeduid als Showtime. De rechtbank leest niet in de standaard dat het maken van model 2 tijdens de initialisatie fase optioneel is.
4.66.
Hier wreekt zich dat het debat over dit inbreuk argument pas tijdens het pleidooi daadwerkelijk is gevoerd, aan de hand van de genoemde verklaring van Spruyt die als aanvullende productie VP61 is overgelegd, en de reactie daarop van deskundige Kanellakopoulos van 6 juni 2019 namens ASSIA (reactieve productie EP67). Ondanks het late moment waarop dit argument is aangevoerd, kan daaraan, anders dan ASSIA betoogt, niet als tardief voorbij gegaan worden. Dit is het geval vanwege de proceshouding van ASSIA zelf. Zij heeft ervoor gekozen om in de dagvaarding in deze VRO-procedure de inbreuk op EP 456 uitsluitend toe te lichten door erop te wijzen dat KPN c.s. de G.vector standaard toepast. Met betrekking tot kenmerk 1.f is in de dagvaarding geen enkele specifieke verwijzing naar een relevante passage uit de standaard opgenomen. Gelet op de summiere toelichting op de inbreuk in de dagvaarding, kon ook Nokia bij conclusie van antwoord volstaan met een (summiere) betwisting dat maatregel 1.f wordt toegepast. De claim chart die ASSIA eerder, in het kader van de onderhandelingen over de licentie, aan KPN c.s. heeft verstrekt, kan bij de beoordeling van haar stellingen in de dagvaarding geen rol spelen nu zij daarop in dat stadium geen beroep heeft gedaan. De bedoelde claim chart is bovendien niet door haar in het geding gebracht maar pas door Nokia bij conclusie van antwoord (als VP40).
4.67.
Gelet op het genoemde (summiere) debat en de standaard, die tot tegenstrijdige uitkomsten leiden, kan de rechtbank derhalve niet vaststellen of KPN c.s. met haar DSLAM al dan niet inbreuk maakt op conclusie 1 omdat niet duidelijk is of model 2 bij haar DSLAM uitsluitend na de initialisatie (tijdens Showtime) wordt gemaakt, of, zoals kenmerk 1.f vereist, ook tijdens initialisatie, waarbij het model tijdens Showtime nog (verder) kan worden aangepast. Ook is niet gedebatteerd over de vraag of het begrip ‘initialisatie’ in het octrooi en de term ‘Showtime’ zoals gebruikt door Spruyt , wellicht anders uitgelegd moeten worden dan in de G.vector standaard. Ofschoon het aan ASSIA is om de inbreuk voldoende te onderbouwen, wat zij tot op heden onvoldoende heeft gedaan zodat tot afwijzing zou kunnen worden geconcludeerd, zou de rechtbank – vanwege het gemankeerde debat – voor de vraag hebben gestaan of een aktewisseling nodig zou zijn geweest. Gelet op de uitkomst in reconventie is nader debat daarover en een beslissing op dit punt in deze procedure echter niet nodig.
conclusie in conventie
4.68.
De vorderingen van ASSIA worden afgewezen omdat de ingeroepen conclusies nietig zijn.
en voorts in conventie en reconventie
proceskosten in conventie en reconventie
4.69.
Als in het ongelijk gestelde partij wordt ASSIA veroordeeld in de proceskosten in conventie. KPN c.s. en Nokia vorderen kosten op de voet van art. 1019h Rv. KPN c.s. vordert in totaal € 268.478,29 aan advocaatkosten en € 468.636,25 aan verschotten (te weten kosten van haar deskundige Sidak) dat wil zeggen in totaal € 755.114,54. Nokia heeft kosten gespecificeerd tot een bedrag van in totaal € 493.624,09. ASSIA heeft tegen die specificaties geen bezwaar gemaakt, zodat deze, nu deze redelijk en evenredig lijken, volledig toewijsbaar zijn. Zoals besproken met partijen zal 50% van de kosten worden toegerekend aan de procedure in conventie. Daarmee worden de kosten van KPN c.s. begroot op € 377.557,27 en die van Nokia op € 246.812,05.
4.70.
Als overwegend in het ongelijk gesteld, wordt ASSIA eveneens veroordeeld in de kosten in reconventie, die voor KPN c.s. en Nokia worden vastgesteld op hetzelfde bedrag als in conventie (te weten 50% van de totaal gevorderde kosten).
5. De beslissing
De rechtbank
in conventie
5.1.
wijst de vorderingen af,
5.2.
veroordeelt ASSIA in de proceskosten, aan de zijde van KPN c.s. tot op heden begroot op € 377.557,27, en aan de zijde van Nokia op € 246.812,05;
in reconventie
5.3.
vernietigt conclusies 1 t/m 7, 9, 13, 14, 16 en 17 van het Nederlandse deel van
EP 2 259 456;
5.4.
veroordeelt ASSIA in de proceskosten, aan de zijde van KPN c.s. tot op heden begroot op € 377.557,27, en aan de zijde van Nokia tot op heden op € 246.812,05;
5.5.
wijst af het meer of anders gevorderde;
in conventie en reconventie
5.6.
verbiedt partijen op de voet van art. 28 lid 1 onder b Rv om mededelingen te doen aan derden over de inhoud van de in r.o. 4.10 genoemde producties,
5.7.
verklaart de proceskostenveroordelingen uitvoerbaar bij voorraad.
Dit vonnis is gewezen door mr. E.F. Brinkman, mr. M.E. Kokke en mr.ir. J.H.F. de Vries en in het openbaar uitgesproken op 25 september 2019.
Voetnoten
Voetnoten Uitspraak 25‑09‑2019
Rijksoctrooiwet 1995
HR 26 november 2004, NJ 2005, 41, ECLI:NL:HR:2004:AP9665 (Haantjes/Damstra, r.o. 3.3, recent bevestigd in HR 16 november 2018, ECLI:NL:HR:2018:2112, r.o. 5.2.3
EP48 sub 38
G 2/10 van augustus 2011, ECLI:EP:BA:2011:G000210.20110830 (https://www.epo.org/law-practice/case-law-appeals/recent/g100002ex1.html)
Pleitnota ASSIA randnummer 23
Paragraaf [0087] van EP 456 en p. 32 van WO 008
VP 62, randnummer 6 en VP 58, randnummer 14
Geopenbaard op p. 33/34 WO 008, overeenkomend met [0089] en [0091] van EP 456 (voor respectievelijk upstream en downstream)
ASSIA legt in de conclusie van antwoord in reconventie sub 269 uit dat met ‘kanaal’ hier wordt bedoeld de set van L lijnen van de respectievelijke L gebruikers voor een bepaalde toon. (accent toegevoegd, rechtbank). Zij legt voorts in voetnoot 27 uit dat deze “diagonalisering” iets anders is dan de diagonale dominantie van de transfermatrix.
EP48, EP53 en EP 64
Zie Case Law Boards of Appeal EPO 2016, II.E.1.1.3, p. 402
“Vectored Transmission for Digital Subscriber Line Systems”, G. Ginis en J.M. Cioffi , IEEE JOURNAL ON SELECTED AREAS IN COMMUNICATIONS, VOL. 20, NO. 5, JUNE 2002, p. 1085-1104 (VP58F)
Een enkele passage in de stukken van ASSIA kan anders worden gelezen – ‘initialisatiefase’ lijkt in de dagvaarding onder 72 te duiden op de situatie waarbij er nog geen vectored group is. Echter, dit is achterhaald door het later verkondigde ondubbelzinnige standpunt van ASSIA dat kenmerk 1.f ziet op een toetredende nieuwe (‘initialiserende’) lijn in een vectored group.
Wat hier wordt aangeduid als hoofdstuk van de standaard wordt door partijen ook wel Clause (ASSIA) of Section ( Kanellakopoulos ) genoemd.
Er kunnen ook meerdere lijnen tegelijkertijd initialiseren, dus waar hierna die initialiserende lijn in enkelvoud wordt aangeduid, kan ook het meervoud gelezen worden.
Uitspraak 19‑12‑2018
Inhoudsindicatie
Voegingsincident toegewezen
Partij(en)
vonnis
RECHTBANK DEN HAAG
Team handel
zaaknummer / rolnummer: C/09/563488 / HA ZA 18-1176
Vonnis in incident van 19 december 2018
in de zaak van
de rechtspersoon naar vreemd recht
ADAPTIVE SPECTRUM AND SIGNAL ALIGNMENT INCORPORATED,
te California, Verenigde Staten van Amerika,
eiseres in de hoofdzaak,
verweerster in het incident,
advocaat: mr. J.D. Drok te Amsterdam,
tegen
1. KONINKLIJKE KPN N.V.,
te Rotterdam,
2. KPN B.V.,
te Rotterdam,
3. TELFORT ZAKELIJK B.V.,
te Oostrum,
4. XS4ALL INTERNET B.V.,
te Amsterdam,
gedaagden in de hoofdzaak,
verweersters in het incident,
advocaat: mr. F.W. Gerritzen te Amsterdam,
en
NOKIA SOLUTIONS AND NETWORKS NEDERLAND B.V.,
te Den Haag,
eiseres in het incident,
advocaat: mr. A. Killan te Den Haag.
Partijen zullen hierna ASSIA, KPN c.s. en Nokia genoemd worden.
1. De procedure
1.1.
Het verloop van de procedure blijkt uit:
- -
de dagvaarding van 12 oktober 2018;
- -
de akte houdende overlegging producties van 21 november 2018, met producties 1 tot en met 26;
- -
de incidentele conclusie houdende vordering tot voeging ex art. 217 Rv;
- -
de conclusie van antwoord in het incident van ASSIA;
- -
de conclusie van antwoord in het voegingsincident ex 217 Rv van KPN c.s..
1.2.
Ten slotte is vonnis bepaald in het incident.
2. Het geschil in het incident
2.1.
Nokia vordert dat haar wordt toegestaan zich in de hoofdzaak aan de zijde van KPN c.s. te voegen, met veroordeling van ASSIA in de daadwerkelijke kosten van dit incident. Nokia heeft ter onderbouwing van haar vordering gesteld dat zij, als leverancier van de door ASSIA aangevallen producten van KPN c.s., een (groot) belang heeft bij de uitkomst van de hoofdzaak, omdat deze rechtens en feitelijk gevolgen voor haar kan hebben. Zo heeft ASSIA in de dagvaarding gerefereerd aan een product van Nokia, dat door Nokia aan KPN c.s. wordt geleverd. Toewijzing van de vordering van ASSIA zou kunnen betekenen dat het product van Nokia als inbreukmakend wordt aangemerkt, zonder dat Nokia zich hiertegen heeft kunnen verweren. Verder acht Nokia het aannemelijk dat KPN c.s. haar schade van een eventueel inbreukverbod op Nokia zal willen verhalen.
2.2.
ASSIA voert verweer en concludeert tot afwijzing van de vordering in het incident, met veroordeling van Nokia in de kosten van dit incident. ASSIA heeft daartoe aangevoerd - verkort weergegeven - dat Nokia geen voldoende concreet belang heeft gesteld bij haar vordering tot voeging. Daarnaast brengt toewijzing van de vordering tot voeging twee keer zo hoge kosten met zich, creëert de voeging een procedurele ongelijkheid en werkt de voeging onnodig vertragend.
2.3.
KPN c.s. steunt de incidentele vordering en concludeert tot toewijzing daarvan, met veroordeling van ASSIA in de daadwerkelijke kosten van dit incident.
2.4.
Op de stellingen van partijen wordt hierna, voor zover van belang, nader ingegaan.
3. De beoordeling
in het incident
3.1.
Een ieder die belang heeft bij een tussen andere partijen aanhangig geding, kan ingevolge artikel 217 Rv1.vorderen zich daarin te mogen voegen. Voor het aannemen van een zodanig belang is voldoende dat de partij die voeging vordert, nadelige gevolgen kan ondervinden van een uitkomst van de procedure die ongunstig is voor de partij aan wier zijde zij zich voegt. Onder nadelige gevolgen zijn in dit verband te verstaan de feitelijke of juridische gevolgen die de toe- dan wel afwijzing van de in die procedure ingestelde vordering of het gezag van gewijsde van in de uitspraak in die procedure gegeven eindbeslissingen zal kunnen hebben voor degene die de voeging vordert2.. Aan de toewijsbaarheid kunnen niettemin de eisen van een goede procesorde in de weg staan.
3.2.
De incidentele vordering komt voor toewijzing in aanmerking. Daartoe is het volgende redengevend.
3.3.
De vordering is tijdig ingesteld en Nokia heeft voldoende aannemelijk gemaakt dat zij een belang heeft om zich te voegen in de hoofdzaak. Nokia kan, in haar hoedanigheid van leverancier van KPN c.s., immers aansprakelijk worden gehouden voor door KPN c.s. te lijden schade als gevolg van een eventueel inbreukverbod. Anders dan ASSIA betoogt, is niet vereist dat op dit moment al duidelijk is dat dit ook daadwerkelijk zal gebeuren.
3.4.
Aan het verweer van ASSIA dat toewijzing van de vordering leidt tot een toename van de kosten van de procedure en tot procedurele ongelijkheid, wordt voorbijgegaan. Dat de kosten van ASSIA hoger uitvallen doordat zij extra werkzaamheden zal moeten verrichten en mogelijk ook doordat zij bij afwijzing van haar vorderingen in de hoofdzaak in de kosten van de voegende partij kan worden veroordeeld, kan niet aan toewijzing in de weg staan. Van procedurele ongelijkheid is geen sprake omdat het eigen aan voeging is dat de gevoegde partij haar zienswijze ten aanzien van de vorderingen in de hoofdzaak kenbaar mag maken. Dat betekent ook dat het Nokia zal zijn toegestaan producties in het geding te brengen. De rechtbank zal ter zake beslissen als na te melden. Nu daarbij wordt aangesloten bij de voor de hoofdzaak, op grond van het Versneld Regime in Octrooizaken (hierna: VRO), bij beschikking van 5 oktober 2018 vastgestelde termijnen zijn de bezwaren tegen voeging in verband met onredelijke vertraging van de VRO-procedure weggenomen. Het verweer ten slotte dat de voeging leidt tot een verdubbeling van de pleittijd, gaat niet op nu in verband met de voeging in beginsel geen extra pleittijd zal worden toegestaan.
3.5.
ASSIA zal als de in het ongelijk gestelde partij worden veroordeeld in de kosten van dit incident aan de zijde van Nokia. Nokia heeft een volledige proceskostenveroordeling op de voet van artikel 1019h Rv gevorderd, maar zij heeft nagelaten deze kosten te begroten en te specificeren. Bij gebreke daarvan wordt bij de vaststelling van het salaris van de advocaat aansluiting gezocht bij de liquidatietarieven civiel zoals die gelden voor uitspraken op of na 1 mei 2018, waarbij wordt uitgegaan van tarief II voor vorderingen van onbepaalde waarde. Aan proceskosten wordt dan ook een bedrag van € 543,- (1 punt x tarief € 543,-) toegewezen.
3.6.
De rechtbank ziet, gelet op de omvang van de door KPN c.s. ingediende conclusie van antwoord in het incident, waarin zij slechts aangeeft de vordering van Nokia te steunen, aanleiding om de kosten van het incident op nihil te stellen.
in de hoofdzaak
3.7.
Nu de gevorderde voeging wordt toegewezen in een VRO-zaak, zullen de in de VRO-beschikking van 5 oktober 2018 gegeven bepalingen voor zoveel mogelijk van overeenkomstige toepassing zijn op Nokia als gevoegde partij. Dit betekent dat Nokia op dezelfde momenten als KPN c.s. aan zet is in de procedure.
3.8.
Elke verdere beslissing wordt aangehouden.
4. De beslissing
De rechtbank
in het incident
4.1.
laat Nokia toe zich te voegen in de hoofdzaak aan de zijde van KPN c.s.;
4.2.
veroordeelt ASSIA in de kosten van dit incident;
4.3.
begroot deze kosten tot op deze uitspraak aan de zijde van KPN c.s. op nihil;
4.4.
begroot deze kosten tot op deze uitspraak aan de zijde van Nokia op € 543,-;
4.5.
verklaart dit vonnis wat de proceskostenveroordeling betreft uitvoerbaar bij voorraad;
4.6.
wijst af hetgeen meer of anders is gevorderd.
in de hoofdzaak
4.7.
bepaalt dat de procedure wordt voortgezet overeenkomstig het bepaalde in de VRO-beschikking van 5 oktober 2018, met dien verstande dat Nokia op de (rol)zitting van woensdag 30 januari 2019 eveneens zal kunnen concluderen voor antwoord, waartoe geen verder uitstel zal worden verleend;
4.8.
bepaalt dat de in de VRO-beschikking van 5 oktober 2018 gegeven bepalingen, voor zover relevant, op overeenkomstige wijze voor Nokia van toepassing zijn;
4.9.
houdt elke verdere beslissing aan.
Dit vonnis is gewezen door mr. J. Th. van Walderveen en in het openbaar uitgesproken op 19 december 2018.
Voetnoten
Voetnoten Uitspraak 19‑12‑2018
Wetboek van Burgerlijke Rechtsvordering
HR 12 juni 2015, ECLI:NL:HR:2015:1602 (https://uitspraken.rechtspraak.nl/inziendocument?id=ECLI:NL:HR:2015:1602), NJ 2015/295; HR 11 september 2015, ECLI:NL:HR:2015:2534 (https://uitspraken.rechtspraak.nl/inziendocument?id=ECLI:NL:HR:2015:2534), NJ 2015/369; HR 24 februari 2017, ECLI:NL:HR:2017:306, NJ 2017/125.