Einde inhoudsopgave
Regeling milieu-informatie luchthaven Schiphol
Bijlage 8
Geldend
Geldend vanaf 01-11-2025
- Redactionele toelichting
De wijzigingsopdracht komt niet overeen met de te wijzigen tekst.
- Bronpublicatie:
02-06-2025, Stcrt. 2025, 17386 (uitgifte: 12-06-2025, regelingnummer: IENW/BSK-2025/120873)
- Inwerkingtreding
01-11-2025
- Bronpublicatie inwerkingtreding:
06-05-2025, Stb. 2025, 119 (uitgifte: 07-05-2025, kamerstukken/regelingnummer: -)
- Afhankelijke geldigheid
Treedt tegelijk in werking met het KB van 06-05-2025, Stb. 119.
- Vakgebied(en)
Vervoersrecht / Luchtvervoer
als bedoeld in de artikelen 2.1, 2.2, 2.5 en 2.6 van de Regeling milieu-informatie luchthaven Schiphol
§ 1. Definities en begrippen
AAA: Amsterdam Advanced Air traffic control;
AIP: Aeronautical Information Publication;
AMSL: Above Mean Sea Level;
appendices: de vigerende versie van de bij het artikel 4.2.3, tweede lid van het besluit behorende ‘Appendices van de voorschriften voor de berekening van de geluidbelasting’;
APU: Auxiliary Power Unit;
ARTAS-APP: Advanced Radar Tracker And Server — Approach;
baantijd: gerealiseerde aankomst- of vertrektijd van een vliegtuigbeweging bij het arriveren op de landingsbaan of verlaten van de startbaan;
besluit:Luchthavenverkeerbesluit Schiphol;
CCIS: Closed Circuit Information System;
CDA: Continuous Descent Approach;
DTHR: Displaced runway Threshold
eindnadering: het moment waarop het vliegtuig op de verlengde aslijn van de landingsbaan het daalpad van minimaal 3 graden onderschept om te komen tot de voorgenomen landing ;
etmaalperiode: periode van het etmaal waarover de geluidbelasting wordt berekend;
GPU: Ground Power Unit;
handelsverkeer: verkeersvluchten van luchtvaartmaatschappijen die open staan voor individuele boekingen voor passagiers, vracht of post, en die betreffen: geregelde vluchten, zijnde lijnvluchten of commerciële vluchten uitgevoerd op een vaste route volgens een gepubliceerde dienstregeling, en niet-geregelde vluchten, zijnde chartervluchten in het passagiers- en vrachtvervoer of commerciële vluchten met een ongeregeld karakter;
handhavingspunt: een punt als bedoeld in artikel 4.2.1 derde lid van het besluit voor Lden en in artikel 4.2.2 derde lid van het besluit voor de Lnight;
IFR: Instrument Flight Rules;
KNMI: Koninklijk Nederlands Meteorologisch Instituut;
LDA: Landing Distance Available;
LMD: Luchtvaart Meteorologische Dienst;
LVNL-coördinatenstelsel: dit coördinatenstelsel is gebaseerd op hetzelfde principe als het Rijksdriekhoeksstelsel. De verschillen zijn: een andere oorsprong, te weten de verkeerstoren op Schiphol, en het LVNL-stelsel is geroteerd ten opzichte van het Rijksdriehoeksstelsel;
MTOW: Maximum Take Off Weight; het maximale startgewicht van het vliegtuig;
NM: Nautische Mijlen;
positioneringsvluchten: vluchten ter ondersteuning van lijn- of chartervluchten;
QNH: lokale luchtdruk ter plaatse van de luchthaven gecorrigeerd naar zeeniveau;
RNAV: Area Navigation; een navigatiemethode die het vliegtuig toestaat elk gewenst vliegpad te volgen dat binnen het bereik van de grondnavigatie-apparatuur en/of binnen het bereik van de systemen aan boord van het vliegtuig ligt;
schematijd: vooraf geplande aankomst- of vertrektijd van een vliegtuigbeweging bij het arriveren op of verlaten van de vliegtuig opstelplaats;
SSR: Secondary Surveillance Radar;
TAR: Terminal Approach Radar;
UTC: Co-ordinated universal time;
VFR: Visual Flight Rules;
vigerende versie: versie geldend op het moment van registratie;
vlucht: vliegtuigbeweging van of naar Schiphol zoals geregistreerd met het registratiesysteem van de exploitant.
§ 2. Te registreren gegevens
§ 2.1. Van elke vliegtuigbeweging van of naar Schiphol met het luchtverkeersleidingsysteem AAA, indien het systeem operationeel in gebruik is, te registreren gegevens
- a.
het vluchtnummer met daarin de drie-letter code conform de vigerende versie van ICAO DOC 8585 voor de luchtvaartmaatschappij;
- b.
vluchtsoort (vertrek of nadering);
- c.
bij een vertrek: de luchthaven van eerste bestemming conform de vigerende versie van ICAO DOC 7910;
- d.
bij een nadering: de luchthaven van herkomst conform de vigerende versie van ICAO DOC 7910;
- e.
het tijdstip waarop de vliegtuigbeweging heeft plaatsgevonden. Dit betreft de ‘Actual time of arrival’ voor een nadering en de ‘Actual time of departure’ voor een vertrek. Dit tijdstip wordt uitgedrukt in datum, uren, minuten en seconden, in UTC;
- f.
de gebruikte start- of landingsbaan;
- g.
de ICAO-code van het vliegtuigtype, conform de vigerende versie van ICAO DOC 8643;
- h.
de start- of landingsbaan waarvoor de gezagvoerder de klaring heeft gekregen, al dan niet op verzoek van de gezagvoerder;
- i.
de SSR code;
- j.
de door de LMD van het KNMI op de luchthaven geregistreerde QNH;
- k.
bij een vertrek: de door de LVNL aan de gezagvoerder opgedragen standaardvertrekprocedure (SID);
- l.
bij een nadering: de door de LVNL aan de gezagvoerder opgedragen vliegprocedure zijnde standaard of transitie nadering (CDA);
- m.
of de vliegtuigbeweging onder VFR of IFR condities is uitgevoerd;
- n.
het soort vliegtuig, onderverdeeld naar straalvliegtuig, propellervliegtuig of helikopter, conform de vigerende versie van ICAO DOC 8643;
- o.
overige beschikbare gegevens die worden betrokken bij het koppelen zoals beschreven in §3.1 onder d, g en h.
§ 2.2. Van elke vliegtuigbeweging van of naar Schiphol met het systeem ARTAS-APP van de luchtverkeersleiding te registreren gegevens
- a.
het tijdstip waarop de vliegtuigbeweging heeft plaatsgevonden. Dit betreft de ‘Actual Time of arrival’ voor een nadering en de ‘Actual time of departure’ voor een vertrek. Dit tijdstip wordt uitgedrukt in datum, uren, minuten en seconden, in UTC;
- b.
de positiewaarnemingen, bestaande uit:
- —
de vliegtuigpositie uitgedrukt in het LVNL-coördinatenstelsel (NM). Dit betreft de horizontale component van de waarneming;
- —
de vlieghoogte in vliegniveaus afkomstig van de transponder van het vliegtuig. Dit betreft de verticale component van de waarneming;
- —
het tijdstip van de waarneming. Dit tijdstip wordt uitgedrukt in datum, uren, minuten, seconden en tienden van seconden, in UTC;
- —
de SSR code;
- —
overige beschikbare gegevens die worden betrokken bij het koppelen van gegevens volgens §3.1 onder d.
§ 2.3. Van elke vliegtuigbeweging van of naar Schiphol te registreren gegevens
- a.
het tijdstip van de vliegtuigbeweging. Dit betreft het tijdstip van de eerste registratie voor een start en het tijdstip van de laatste registratie voor een nadering. Dit tijdstip wordt uitgedrukt in datum, uren, minuten en seconden, in UTC;
- b.
per positiewaarneming:
- —
de vliegtuigpositie in stereografische projectie;
- —
de vlieghoogte afkomstig van de transponder van het vliegtuig, uitgedrukt in vliegniveaus;
- —
het tijdstip van de waarneming. Dit tijdstip wordt uitgedrukt in datum, uren, minuten, seconden en tienden van seconden, in UTC;
- —
de SSR code;
- —
overige beschikbare gegevens die worden betrokken bij het koppelen van gegevens volgens §3.1 onder h;
- c.
de geregistreerde gegevens onder b voldoen aan de nauwkeurigheidscriteria gesteld in ‘Eurocontrol standard document for radar surveillance in en-route airspace and major terminal areas, sur.ET1.ST01.1000-STD-01-01, maart 1997’; voor enkelvoudige primary and secondary surveillance radars of aan de door Eurocontrol op te stellen surveillance standard.
§ 2.4. Van elke vlucht met het registratiesysteem van de exploitant van de luchthaven te registreren gegevens1.
- a.
het soort vliegtuig, onderverdeeld naar straalvliegtuig, propellervliegtuig of helikopter, conform de vigerende versie van ICAO DOC 8643;
- b.
het motortype conform de aanduiding in annex 8E2;
- c.
vervallen;
- d.
de baantijd (datum, uren en minuten) van de vlucht, in lokale tijd;
- e.
het vluchtnummer;
- f.
het soort vlucht, onderverdeeld in passagierslijnvluchten, passagierschartervluchten, vrachtlijnvluchten, vrachtchartervluchten, positioneringsvluchten en vluchten niet-handelsverkeer;
- g.
overige beschikbare gegevens die worden betrokken bij het koppelen van gegevens volgens §3.1 onder g.
§ 2.5. Van het banenstelsel te bepalen gegevens
§ 2.5.1. Meteorologische condities
De LVNL zorgt ervoor dat zij de beschikking krijgt over de volgende door de LMD van het KNMI ter plaatse van het banenstelsel geregistreerde gegevens, welke zijn uitgedrukt in uurgemiddelde waarden gedurende het gehele etmaal, gedurende het gehele jaar:
- a.
de windrichting in graden;
- b.
de windsterkte in knopen;
- c.
de maximale windsnelheid (windstoten) in knopen;
- d.
de hoeveelheid neerslag uitgedrukt in millimeter per uur;
- e.
het horizontaal zicht in meters;
- f.
de wolkenbasis in meters boven het aardoppervlak.
§ 2.5.2. Coördinaten van baandrempels inclusief heli-platform, Landing Distance Available en Displaced runway Threshold ontleend aan het AIP
- a.
De exploitant van de luchthaven en de LVNL zorgen ervoor dat zij de beschikking krijgen over de coördinaten van de baandrempels en heli-platforms. Deze coördinaten zijn uitgedrukt in het Rijksdriehoekstelsel.
- b.
De beschikbare lengte voor de landing (LDA) per landingsbaan en landingsbaanrichting, uitgedrukt in meters.
- c.
De afstand van de Displaced runway Threshold (DTHR) per landingsbaan en landingsbaanrichting, uitgedrukt in meters.
§ 2.6. Gegevens benodigd om te kunnen vaststellen of wordt afgeweken van de regels in hoofdstuk 3 van het besluit
§ 2.6.1. Van technische voorzieningen te bepalen gegevens
Indien volgens de gegevens in §3.1 onder e en in §3.1 onder a een nadering in de periode van 23:00:00 uur tot en met 05:59:59 uur lokale tijd heeft plaatsgevonden op baan 06 of 18R met een straalvliegtuig dat volgens §3.3.1 niet geheel binnen één van de luchtverkeerwegen is uitgevoerd, met als reden het ontbreken of het niet goed functioneren van technische voorzieningen, dient te worden geregistreerd:
- a.
of het vliegtuig is uitgerust met een RNAV systeem en of dit RNAV systeem functioneel was;
- b.
of de navigatie-apparatuur zowel op de grond als in het vliegtuig functioneerde.
§ 2.6.2. Van elke vlucht met CCIS te registreren gegevens
- a.
de windrichting in graden;
- b.
de windsterkte in knopen;
- c.
de maximale windsnelheid (windstoten) in knopen;
- d.
het draaien van de wind in graden;
- e.
de baanstroefheid, onderscheiden naar nat of droog.
§ 2.7. Aanvullend te registreren gegevens t.b.v. berekening uitstoot stoffen
§ 2.7.1. Taxiën met één uitgeschakelde motor
- a.
De exploitant van de luchthaven zorgt ervoor dat zij de beschikking krijgt over de taxiprocedures die de luchtvaartmaatschappijen volgens de handboeken en de interne zorgsystemen voor drie- en viermotorige vliegtuigtypen toepassen;
- b.
De onder a genoemde informatie wordt gebruikt om de percentages drie- en viermotorige vliegtuigen die na de landing met één uitgeschakelde motor van de landingsbaan naar de afhandelingsplaats taxiën te berekenen. Deze percentages worden als volgt berekend:
- —
het percentage voor driemotorige vliegtuigen is gedefinieerd als de verhouding tussen het aantal driemotorige vliegtuigen dat na de landing met één uitgeschakelde motor van de landingsbaan naar de afhandelingsplaats taxiet en het totaal aantal landingen met driemotorige vliegtuigen;
- —
het percentage voor viermotorige vliegtuigen is gedefinieerd als de verhouding tussen het aantal viermotorige vliegtuigen dat na de landing met één uitgeschakelde motor van de landingsbaan naar de afhandelingsplaats taxiet en het totaal aantal landingen met viermotorige vliegtuigen.
§ 2.7.2. Gebruik 400 Hz stroomvoorziening in combinatie met APU
Het gebruikspercentage 400 Hz stroomvoorziening wordt aangeleverd op basis van de gegevens die bij de exploitant aanwezig zijn over de gebruikte stroomvoorziening per LTO. Dit gebruikspercentage 400 Hz stroomvoorziening is gedefinieerd in annex 8E1.
§ 3. Uit te voeren bewerkingen
§ 3.1. Bewerkingen nodig om de in §2.1, §2.2, §2.3 en §2.4 geregistreerde gegevens te koppelen tot databases
- a.
Het in §2.1 onder e geregistreerde tijdstip wordt omgezet in lokale tijd (datum, uren, minuten en seconden) volgens annex 8A.
- b.
Het in §2.2 onder b geregistreerde tijdstip wordt omgezet in lokale tijd (datum, uren, minuten en seconden) volgens annex 8A.
- c.
Het in §2.3 onder b geregistreerde tijdstip wordt omgezet in lokale tijd (datum, uren, minuten en seconden) volgens annex 8A.
- d.
Voor elke vliegtuigbeweging van of naar Schiphol geregistreerd in §2.1 worden de in §2.1 geregistreerde en de in §3.1 onder a berekende gegevens gekoppeld aan de in §2.2 geregistreerde en de in §3.1 onder b berekende gegevens van de betreffende vliegtuigbeweging.
- e.
De onder d gekoppelde gegevens worden opgeslagen in een database.
- f.
Indien onder d geen koppeling kan worden gemaakt, wordt de vliegtuigbeweging niet opgenomen in de database genoemd onder e.
- g.
Voor elke vlucht worden de in §2.4 geregistreerde gegevens gekoppeld aan de in §2.1 geregistreerde en de in §3.1 onder a berekende gegevens van de betreffende vlucht.
- h.
Voor elke vlucht worden de in §2.1 geregistreerde en de in §3.1 onder a berekende gegevens gekoppeld aan de in §2.3 geregistreerde en de in §3.1 onder c berekende gegevens van de betreffende vlucht.
- i.
Indien onder g geen koppeling kan worden gemaakt, worden alleen de gegevens uit §2.4 gebruikt;
- j.
Indien onder h geen koppeling kan worden gemaakt, worden de onder i vermelde gegevens aangevuld met de gegevens uit §2.1.
- k.
De onder g, h, i en j genoemde gegevens worden opgeslagen in een database.
§ 3.2. Bewerkingen nodig om de vliegbaan vast te stellen
§ 3.2.1. Vliegbaanreconstructie
- a.
Voor elke vlucht zoals beschikbaar in §3.1 onder k wordt de vliegbaan gereconstrueerd.
- b.
De vliegbaan wordt gereconstrueerd in het horizontale vlak (grondpad) en in het verticale vlak (hoogteprofiel).
- c.
Voor elke vlucht wordt het tijdstip van positiewaarneming zoals beschikbaar in §3.1 onder k omgezet in lokale tijd (datum, uren, minuten, seconden en tienden van seconden) volgens annex 8A.
- d.
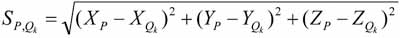
De vliegtuigposities en de vlieghoogten per positiewaarneming zoals beschikbaar in §3.1 onder k worden geconverteerd naar X, Y, Z-coördinaten in het Rijksdriehoekstelsel met gebruikmaking van de in §3.1 onder k beschikbare QNH als functie van de onder c berekende tijdstippen.
- e.
De reconstructie van de vliegbaan geschiedt tot een hoogte van 15000 ft of een afstand langs het grondpad van 70 km gerekend vanaf:
- f.
het begin van de in §3.1 onder k opgenomen startbaan voor starts, bepaald volgens annex 8D4
- g.
het einde van de in §3.1 onder k opgenomen landingsbaan voor landingen, bepaald volgens annex 8D4
- h.
Voor de vliegbaanreconstructie wordt gebruik gemaakt van annex 8D2.
- i.
Indien de in §3.1 onder k genoemde vliegtuigposities, vlieghoogten en/of tijdstippen ontbreken of de vliegbaan niet kan worden gereconstrueerd overeenkomstig de eis gesteld onder f, wordt de vliegbaan niet gereconstrueerd.
§ 3.2.2. Vliegbaanverlenging
- a.
Indien volgens de gegevens uit §3.1 onder k sprake is van een vertrek en dit geen helikopter betreft, wordt de vliegbaan verlengd tot aan het begin van de in §3.1 onder k opgenomen gebruikte startbaan, bepaald volgens annex 8D4, mits het chronologische eerste punt van de in § 3.2.1 gereconstrueerde vliegbaan gelegen is binnen een straal van 15 km ten opzichte van de baandrempel;
- b.
Indien volgens de gegevens uit §3.1 onder k sprake is van een nadering en dit geen helikopter betreft, wordt de vliegbaan verlengd tot aan het einde van de in §3.1 onder k opgenomen gebruikte landingsbaan, bepaald volgens annex 8D4, mits het chronologische laatste punt van de in § 3.2.1 gereconstrueerde vliegbaan gelegen is binnen een straal van 15 km ten opzichte van de baandrempel;
- c.
Indien volgens de gegevens uit §3.1 onder k sprake is van een vertrek of nadering van een helikopter, wordt de vliegbaan verlengd tot aan de in §2.5.2 onder a geregistreerde coördinaten van het heli-platform, ongeacht de voor de betreffende vlucht in §3.1 onder k opgenomen gebruikte start- of landingsbaan, mits het chronologische eerste punt voor een vertrek en het chronologische laatste punt voor een nadering, van de in § 3.2.1 gereconstrueerde vliegbaan gelegen is binnen een straal van 15 km ten opzichte van het heli-platform;
- d.
Voor de vliegbaanverlenging zal gebruik worden gemaakt van een recht lijnsegment, waar nodig aangevuld met één of twee bochtsegmenten waarbij voor de bochtstraal rekening wordt gehouden met de snelheid van het betreffende vliegtuig;
- e.
Indien in §3.1 onder k de gebruikte start- of landingsbaan ontbreekt wordt geen vliegbaanverlenging toegepast;
- f.
Indien de vliegbaan niet tot op de gebruikte start- of landingsbaan verlengd kan worden, wordt de vliegbaanverlenging niet toegepast.
§ 3.3. Bewerkingen nodig om het gebruik van het luchtruim te toetsen
§ 3.3.1. Vaststellen of een straalvliegtuig binnen één van de luchtverkeerwegen is gebleven
- a.
Indien een vliegtuigbeweging volgens de gegevens in §3.1 onder e:
- —
een vertrek van een straalvliegtuig betreft waarvan de bestemming niet de luchthaven EHLE of EHRD is of
- —
een nadering van een straalvliegtuig betreft dat niet afkomstig is van de luchthaven EHLE of EHRD en waar voor het desbetreffende tijdvak, voor de desbetreffende baan luchtverkeerwegen zijn aangewezen in bijlage 1 van het besluit, wordt bepaald of het vliegtuig binnen één van de luchtverkeerwegen is gebleven.
- b.
Van elke onder a genoemde vliegtuigbeweging wordt bepaald welke luchtverkeerwegen voor het desbetreffende tijdvak, voor een vertrek of nadering van de desbetreffende baan zijn aangewezen in bijlage 1 van het besluit. Hiervoor wordt gebruik gemaakt van de in §3.1 onder e beschikbare vluchtsoort, de gebruikte start- of landingsbaan en de lokale tijd.
- c.
Van elke onder a genoemde vliegtuigbeweging wordt het tijdstip van positiewaarneming zoals beschikbaar in §3.1 onder e omgezet in lokale tijd (datum, uren, minuten, seconden en tienden van seconden).
- d.
Van elke onder a genoemde vliegtuigbeweging wordt voor elk van de in §3.1 onder e beschikbare positiewaarnemingen gecontroleerd of het straalvliegtuig binnen één van de onder b bepaalde luchtverkeerwegen is gebleven.
- e.
Indien bij de controle op de verticale begrenzing van de luchtverkeerweg sprake is van een hoogte in voeten, worden de verticale componenten van de positiewaarnemingen omgerekend naar voeten op basis van de in §3.1 onder e beschikbare QNH.
- f.
Indien alle positiewaarnemingen die niet binnen één van de luchtverkeerwegen zijn gebleven zich binnen het in figuur 1 gedefinieerde baantolerantiegebied bevinden, wordt de vliegtuigbeweging niet aangemerkt als een afwijking.
- g.
Indien uit a tot en met f blijkt dat een vliegtuigbeweging niet geheel binnen de horizontale begrenzing van één van de onder b bepaalde luchtverkeerwegen is uitgevoerd, moet voor een vertrek de hoogte waar de vliegtuigbeweging — voor het eerst — buiten de luchtverkeerweg is gekomen worden gedetecteerd, onderscheiden naar:
- —
hoger of lager dan 3000 voet AMSL indien de vliegtuigbeweging volgens §3.1 onder a in de periode van 06:00:00 uur tot en met 22:59:59 uur lokale tijd heeft plaatsgevonden;
- —
hoger of lager dan vliegniveau 90 indien de vliegtuigbeweging volgens §3.1 onder a in de periode van 23:00:00 uur tot en met 05:59:59 uur lokale tijd heeft plaatsgevonden.
- h.
Indien uit a tot en met f blijkt dat een vliegtuigbeweging niet geheel binnen de verticale begrenzing van één van de luchtverkeerwegen is uitgevoerd, moet:
- —
voor een vertrek worden vastgesteld of de horizontale positie waar de vliegtuigbeweging — voor het eerst — buiten één van de luchtverkeerwegen is gekomen ligt in het gebied van de grens Schiphol CTR tot de grens Schiphol TMA;
- —
voor een nadering worden vastgesteld of de horizontale positie waar de vliegbaan — voor het eerst — buiten één van de luchtverkeerwegen is gekomen ligt in het gebied van de grens Schiphol TMA tot de eindnadering.
- i.
Voor a tot en met h wordt gebruik gemaakt van annex 8B. De hiervoor benodigde ligging van de luchtverkeerwegen alsmede de ligging van de CTR en de Schiphol TMA zijn in de desbetreffende regelgeving ter beschikking gesteld door de Minister van Verkeer en Waterstaat.
Figuur 1. Bovenaanzicht van een startbaan: het baantolerantiegebied waarbinnen een vliegtuigbeweging niet als afwijking wordt aangemerkt

§ 3.3.2. Vaststellen of een vertrekkend straalvliegtuig op of boven vliegniveau 60 is gebleven
- a.
Indien een vliegtuigbeweging volgens de gegevens in §3.1 onder e een vertrek van een straalvliegtuig betreft waarvan de bestemming niet de luchthaven EHLEof EHRD is, wordt bepaald of het vliegtuig na het verlaten van de Schiphol TMA op of boven vliegniveau 60 is gebleven;
- b.
Van elke onder a genoemde vliegtuigbeweging wordt voor elk van de in §3.1 onder e geregistreerde positiewaarnemingen gecontroleerd of het straalvliegtuig in de Schiphol TMA tot 3 kilometer daarbuiten op of boven vliegniveau 60 is gebleven;
- c.
Voor a en b wordt gebruik gemaakt van annex 8B. De hiervoor benodigde ligging van de Schiphol TMA is in de desbetreffende regelgeving ter beschikking gesteld door de Minister van Verkeer en Waterstaat.
§ 3.3.3. Vaststellen of een naderend straalvliegtuig boven de minimum vlieghoogte is gebleven
- a.
Indien een vliegtuigbeweging volgens de gegevens in §3.1 onder e en in §3.1 onder a een nadering van een straalvliegtuig betreft waar voor het desbetreffende tijdvak, voor de desbetreffende baan geen luchtverkeerwegen zijn aangewezen in bijlage 1 van het besluit, wordt bepaald of het vliegtuig boven de minimum vlieghoogte is gebleven;
- b.
Van elke onder a genoemde vliegtuigbeweging wordt bepaald welke minimum vlieghoogte voor de desbetreffende periode van toepassing is volgens artikel 3.1.2 lid 3 van het besluit. Hiervoor wordt gebruik gemaakt van het in §3.1 onder a bepaalde tijdstip;
- c.
Indien uit b blijkt dat er sprake is van een hoogtecriterium in voeten, worden de in §3.1 onder e beschikbare verticale componenten van de positiewaarnemingen omgerekend naar voeten op basis van de in §3.1 onder e beschikbare QNH;
- d.
Van elke onder a genoemde vliegtuigbeweging wordt voor elk van de in §3.1 onder e beschikbare positiewaarnemingen gecontroleerd of het straalvliegtuig in de Schiphol TMA tot 3 kilometer daarbuiten op of boven de onder b bepaalde minimum vlieghoogte is gebleven;
- e.
Indien uit a tot en met d blijkt dat een vliegtuigbeweging niet geheel op of boven de minimum vlieghoogte is uitgevoerd, moet worden vastgesteld of de horizontale positie waar de vliegtuigbeweging voor het eerst onder de minimum vlieghoogte is gekomen ligt in het gebied tot de grens van de Schiphol TMA of in het gebied van de grens Schiphol TMA tot de eindnadering;
- f.
Voor de bewerkingen hierboven genoemd onder a tot en met e, wordt gebruik gemaakt van annex 8B. De hiervoor benodigde ligging van de Schiphol TMA is in de desbetreffende regelgeving ter beschikking gesteld door de Minister van Verkeer en Waterstaat.
§ 3.4. Bewerkingen nodig voor berekening totaal risicogewicht
§ 3.4.1. Vaststellen vliegtuigcategorie per vliegtuigtype
- a.
Van elke vlucht, die blijkens §3.1 onder k is uitgevoerd met een straalvliegtuig of een propellervliegtuig, wordt met annex 8C2 de vliegtuigcategorie bepaald op basis van de ICAO-code van het vliegtuigtype;
- b.
Indien de onder a genoemde ICAO code van het vliegtuigtype niet voorkomt in de indelingslijst bedoeld in annex 8C2, dan wordt de vliegtuigcategorie als volgt bepaald:
- 1.
vliegtuigcategorie 4, overeenkomend met vliegtuigen met een gewicht minder dan 5700 kg, wordt toegekend indien de vlucht blijkens §3.1 onder k is uitgevoerd met een vliegtuig met een MTOW minder dan 5700 kg;
- 2.
vliegtuigcategorie 3 wordt toegekend in de overige gevallen;
- 3.
de exploitant van de luchthaven neemt de betreffende ICAO code van het vliegtuigtype binnen een periode van 6 maanden op in de indelingslijst op de wijze zoals beschreven in annex 8C2.
§ 3.5. Bewerkingen nodig voor berekening geluidbelasting
§ 3.5.1. Vaststellen van de vliegtuigcategorie
- a.
Van elke vlucht wordt met annex 8D3 de vliegtuigcategorie bepaald op basis van het in §3.1 onder k beschikbare ICAO-code van het vliegtuigtype en, waar van toepassing, het vluchtnummer met daarin de code voor de luchtvaartmaatschappij;
- b.
Indien de onder a genoemde ICAO code van het vliegtuigtype niet voorkomt in de indelingslijst bedoeld in annex 8D3, dan wordt de vliegtuigcategorie als volgt bepaald:
- 1.
indien volgens §3.1 onder k is uitgevoerd door een helikopter, dan geldt dat:
- a.
vliegtuigcategorie 010 wordt toegekend indien de vlucht volgens §3.1 onder k is uitgevoerd met een helikopter met een MTOW kleiner dan 3000 kg;
- b.
vliegtuigcategorie 012 wordt toegekend indien de vlucht volgens §3.1 onder k is uitgevoerd met een helikopter met een MTOW groter of gelijk aan 3000 kg en kleiner dan 7000 kg;
- c.
vliegtuigcategorie 014 wordt toegekend indien de vlucht volgens §3.1 onder k is uitgevoerd met een helikopter met een MTOW groter of gelijk aan 7000 kg.
- 2.
indien de vlucht volgens §3.1 onder k is uitgevoerd met een straalvliegtuig of een propellervliegtuig en indien de vlucht volgens §3.1 onder k is uitgevoerd met een vliegtuig met een MTOW kleiner dan 6000 kg dan geldt dat vliegtuigcategorie 004 wordt toegekend;
- c.
Er wordt geen vliegtuigcategorie toegekend indien:
- —
de vlucht volgens §3.1 onder k wordt uitgevoerd met een straalvliegtuig of een propellervliegtuig en
- —
de vlucht volgens §3.1 onder k is uitgevoerd met een vliegtuig met een MTOW groter of gelijk aan 6000 kg en/of
- —
voor een vlucht de gegevens onder b ontbreken om de vliegtuigcategorie te kunnen bepalen;
- d.
Indien het in a genoemde vluchtnummer ontbreekt wordt de vliegtuigcategorie bepaald op basis van het vliegtuigtype. Een eventuele nadere indeling op basis van de luchtvaartmaatschappij blijft in dit geval achterwege;
- e.
Voor elke vlucht wordt voor de onder a, b of d bepaalde vliegtuigcategorie de bijbehorende akoestische representant bepaald overeenkomstig paragraaf 2.2.1 van de appendices.
§ 3.5.2. Vaststellen van de te gebruiken prestatiegegevens
Voor elke vlucht worden de uit het berekeningsvoorschrift geluidbelasting te gebruiken prestatiegegevens bepaald. Hiertoe wordt voor elke vlucht de bij de in §3.5.1 onder a, b of d bepaalde vliegtuigcategorie behorende vliegprocedure bepaald. Deze vliegprocedure wordt, overeenkomstig paragraaf 2.3 van de appendices, aangeduid met een viercijferige codering. Van deze codering betreffen de eerste twee cijfers het vluchtsoortnummer en de laatste twee cijfers het klassenummer. Voor naderingen wordt eerst het klassenummer bepaald en vervolgens het vluchtsoortnummer.
Vertrek: vaststellen vluchtsoortnummer
Indien volgens de gegevens in §3.1 onder k sprake is van een vertrek, wordt voor de betreffende vlucht het vluchtsoortnummer bepaald overeenkomstig de allocatietabel ‘Vluchtsoortnummers voor starts vanaf Schiphol’ in de appendices.
Indien uit de allocatietabel geen indeling volgt voor betreffende vlucht, wordt op basis van technische beschikbaarheid van prestatiegegevens voor betreffende vlucht in gegeven voorkeurs-volgorde toegekend:
- •
vluchtsoortnummer 06 (NADP2 1.500 ft procedure),
- •
vluchtsoortnummer 05 (NADP1 procedure),
- •
vluchtsoortnummer 00 (geen NADP1 of NADP2 procedure beschikbaar).
Vertrek: vaststellen klassenummer
Indien volgens de gegevens in §3.1 onder k sprake is van een vertrek wordt voor de betreffende vlucht het klassenummer als volgt bepaald:
- a.
Bij de in §3.1 onder k beschikbare luchthaven van eerste bestemming wordt met een indelingslijst voor de toewijzing van klassenummer aan een vlucht op basis van bestemming het bijbehorende klassenummer bepaald;
- b.
Indien de in §3.1 onder k beschikbare ICAO-code ontbreekt in de indelingslijst, wordt wordt aan de vlucht de hoogst beschikbare klasse van de betreffende vliegtuigcategorie toegekend. De exploitant van de luchthaven neemt binnen een periode van 4 weken de betreffende luchthaven op in de indelingslijst waarbij het klassenummer als volgt dient te worden bepaald:
- 1.
de ortodromische afstand D in kilometers tussen de luchthaven van eerste bestemming en Schiphol wordt bepaald op basis van de coördinaten van het aerodrome reference point van de luchthaven van eerste bestemming en Schiphol. Het aerodrome reference point wordt ontleend aan de voor de luchthaven geldige AIP.
- 2.
op basis van deze afstand wordt met tabel 3 het bijbehorende klassenummer bepaald
- c.
Indien:
- —
de in §3.1 onder k beschikbare ICAO-code ontbreekt of
- —
het aerodrome reference point van de luchthaven van de eerste bestemming niet kan worden vastgesteld wordt aan de vlucht de hoogst beschikbare klasse van de betreffende vliegtuigcategorie toegekend.
Afstand D | KN |
|---|---|
D ≤ 750 | 00 |
750 < D ≤ 1500 | 01 |
1500 < D ≤ 3000 | 02 |
D > 3000 | 03 |
Vertrek: omgaan met het ontbreken van gegevens
Indien een vliegprocedure niet beschikbaar is of niet kan worden bepaald, wordt teruggevallen op standaard vliegprocedures. De toe te passen standaard vliegprocedure voor starts is, als functie van de vliegtuigcategorie, weergegeven in tabel 4.
Vliegtuigcategorie | Standaardvliegprocedure voor starts | Vliegtuigcategorie | Standaardvliegprocedure voor starts |
|---|---|---|---|
004 | 0000 | 4 / 3 | 0502 |
010 | 0001 | 4 / 4 | 0503 |
012 | 0000 | 5 / 1 | 0503 |
014 | 0000 | 5 / 2 | 0502 |
1 / 1 | 0500 | 5 / 3 | 0502 |
1 / 2 | 0500 | 5 / 4 | 0503 |
1 / 3 | 0500 | 6 / 1 | 0503 |
1 / 4 | 0500 | 6 / 2 | 0503 |
2 / 1 | 0502 | 6 / 3 | 0503 |
2 / 2 | 0000 | 7 / 1 | 0503 |
2 / 3 | 0000 | 7 / 2 | 0503 |
2 / 4 | 0503 | 7 / 3 | 0503 |
3 / 1 | 0502 | 7 / 4 | 0503 |
3 / 2 | 0502 | 8 / 1 | 0503 |
3 / 3 | 0502 | 8 / 2 | 0503 |
3 / 4 | 0502 | 8 / 3 | 0503 |
4 / 1 | 0502 | 8 / 4 | 0503 |
4 / 2 | 0502 |
Nadering: vaststellen vluchtsoortnummer
Indien volgens de gegevens in §3.1, onder k, sprake is van een nadering wordt voor de betreffende vlucht het vluchtsoortnummer 12 (Reduced Flaps-nadering) of 10 (Full Flaps-nadering) bepaald overeenkomstig de appendices.
Nadering: vaststellen klassenummer
Indien volgens de gegevens in §3.1 onder k sprake is van een nadering wordt voor de betreffende vlucht het klassenummer als volgt bepaald (zie figuur 2):
- a.
klassenummer 00, zijnde een naderingshoogte van 2000 voet, wordt toegekend indien de hoogte van het snijpunt van het onder §3.2.1 b gereconstrueerde hoogteprofiel van de vlucht met de referentielijn kleiner of gelijk is aan 2500 voet;
- b.
klassenummer 01, zijnde een naderingshoogte van 3000 voet, wordt toegekend indien:
- 1.
de hoogte van het snijpunt van het onder §3.2.1 b gereconstrueerde hoogteprofiel van de vlucht met de referentielijn groter is dan 2500 en kleiner of gelijk is aan 3500 voet of
- 2.
er geen prestatiegegevens beschikbaar zijn voor de CDA nadering genoemd onder c en
- i.
de hoogte van het snijpunt van het onder §3.2.1 b gereconstrueerde hoogteprofiel van de vlucht met de referentielijn groter is dan 3500 voet of
- ii.
er geen snijpunt wordt gevonden;
- c.
klassenummer 09, zijnde een CDA, wordt toegekend indien de hoogte van het snijpunt van het onder §3.2.1 b gereconstrueerde hoogteprofiel van de vlucht met de referentielijn groter is dan 3500 voet of er geen snijpunt wordt gevonden;
- d.
klassenummer 01, zijnde een naderingshoogte van 3000 voet, wordt toegekend indien op basis van a t/m c het klassenummer niet bepaald kan worden.
Figuur 2. Bepalen klassenummer voor naderingen. De referentielijn wordt bepaald ten opzichte van de laatste positiewaarneming

Nadering: Omgaan met het ontbreken van gegevens
In het geval de oorspronkelijk toegekende vliegprocedure niet beschikbaar is wordt teruggevallen op standaard vliegprocedures:
- a.
Voor vliegtuigcategorieën 012 en 014 wordt vliegprocedure 1000 toegekend;
- b.
Voor de overige vliegtuigcategorieën wordt:
- 1.
indien beschikbaar, vliegprocedure 1009, 1201 of 1900 toegekend in geval de oorspronkelijke vliegprocedure 1209 is;
- 2.
indien beschikbaar, vliegprocedure 1900 toegekend in geval de oorspronkelijke vliegprocedure 1009 is;
- 3.
vliegprocedure 1001 toegekend in alle overige gevallen.
§ 4. Uit te voeren berekeningen
§ 4.1. Vaststellen van het percentage afwijkingen van luchtverkeerwegen of minimale vlieghoogtes vanwege de luchtverkeersleiding
Het percentage afwijkingen wordt voor iedere regel van tabel 6 berekend met de hieronder gegeven formules, waarin de weergegeven tijden lokale tijden zijn.
Afwijkingen in het horizontale of het verticale vlak | Vertrekkend of naderend verkeer | Positie | Periode | Te gebruiken formule |
|---|---|---|---|---|
Horizontaal | Vertrek | Vlieghoogte 0 tot 3000 voet | Van 6 tot 23 uur | Formule 1 |
Vlieghoogte 0 tot vliegniveau 90 | Van 23 tot 6 uur | Formule 2 | ||
Nadering | Van 23 tot 6 uur | Formule 3 | ||
Verticaal | Vertrek | Van grens Schiphol CTR tot grens Schiphol TMA | Gehele etmaal | Formule 4 |
Vanaf grens Schiphol TMA | Formule 5 | |||
Nadering | Tot grens Schiphol TMA | Van 6 tot 23 uur | Formule 6 | |
Van 23 tot 6 uur | Formule 7 | |||
Van grens Schiphol TMA tot eindnadering | Van 6 tot 23 uur | Formule 8 | ||
Van 23 tot 6 uur | Formule 9 |
Voor elke formule wordt het percentage bepaald door de ‘teller’ te delen door de ‘noemer’ en het resultaat met 100 te vermenigvuldigen.
Voor het bepalen van de teller wordt gebruik gemaakt van de resultaten van de van toepassing zijnde toetsing die is uitgevoerd conform §3.3.
Voor het bepalen van de noemer wordt gebruik gemaakt van de in §3.1 onder e opgenomen gebruikte start- of landingsbaan, het soort vliegtuig, vluchtsoort en lokale tijd.
Formule 1
Teller = aantal keren in de periode dat een straalvliegtuig, welke is gestart in het tijdvak van 06:00:00 uur tot en met 22:59:59 uur, door de gegeven luchtverkeersleiding beneden een hoogte van 3000 voet AMSL buiten de horizontale begrenzing van de op de vliegtuigbeweging van toepassing zijnde luchtverkeerwegen vliegt.
Noemer = aantal vertrekken met straalvliegtuigen in het tijdvak van 06:00:00 uur tot en met 22:59:59 uur.
Formule 2
Teller = aantal keren in de periode dat een straalvliegtuig, welke is gestart in het tijdvak van 23:00:00 uur tot en met 05:59:59 uur, door de gegeven luchtverkeersleiding beneden vliegniveau 90 buiten de horizontale begrenzing van de op de vliegtuigbeweging van toepassing zijnde luchtverkeerwegen vliegt.
Noemer = aantal vertrekken met straalvliegtuigen in het tijdvak van 23:00:00 uur tot en met 05:59:59 uur.
Formule 3
Teller = aantal keren in de periode dat een straalvliegtuig, welke is genaderd op baan 18R of baan 06 in het tijdvak van 23:00:00 uur tot en met 05:59:59 uur, door de gegeven luchtverkeersleiding buiten de horizontale begrenzing van de op de vliegtuigbeweging van toepassing zijnde luchtverkeerwegen vliegt.
Noemer = aantal naderingen met straalvliegtuigen op baan 18R of baan 06 in het tijdvak van 23:00:00 uur tot en met 05:59:59 uur.
Formule 4
Teller = aantal keren in de periode dat een straalvliegtuig, welke is gestart in het tijdvak van 00:00:00 uur tot en met 23:59:59 uur, door de gegeven luchtverkeersleiding in het gebied van de grens Schiphol CTR tot de grens Schiphol TMA buiten de verticale begrenzing van de op de vliegtuigbeweging van toepassing zijnde luchtverkeerwegen vliegt.
Noemer = aantal vertrekken met straalvliegtuigen in het tijdvak van 00:00:00 uur tot en met 23:59:59 uur.
Formule 5
Teller = aantal keren in de periode dat een straalvliegtuig, welke is gestart in het tijdvak van 00:00:00 uur tot en met 23:59:59 uur, door de gegeven luchtverkeersleiding in het gebied van de grens Schiphol TMA tot drie kilometer daarbuiten beneden vliegniveau 60 vliegt.
Noemer = aantal vertrekken met straalvliegtuigen in het tijdvak van 00:00:00 uur tot en met 23:59:59 uur.
Formule 6
Teller = aantal keren in de periode dat een straalvliegtuig, welke is genaderd in het tijdvak van 06:00:00 uur tot en met 22:59:59 uur, door de gegeven luchtverkeersleiding in het gebied van 3 kilometer buiten de Schiphol TMA tot de grens van de TMA beneden vliegniveau 70 vliegt.
Noemer = aantal naderingen met straalvliegtuigen in het tijdvak van 06:00:00 uur tot en met 22:59:59 uur.
Formule 7
Teller = aantal keren in de periode dat een straalvliegtuig, welke is genaderd in het tijdvak van 23:00:00 uur tot en met 05:59:59 uur, door de gegeven luchtverkeersleiding in het gebied van 3 kilometer buiten de Schiphol TMA tot de grens van de Schiphol TMA beneden vliegniveau 70 vliegt.
Noemer = aantal naderingen met straalvliegtuigen in het tijdvak van 23:00:00 uur tot en met 05:59:59 uur.
Formule 8
Teller = aantal keren in de periode dat een straalvliegtuig, welke is genaderd in het tijdvak van 06:00:00 uur tot en met 22:59:59 uur, door de gegeven luchtverkeersleiding in het gebied van de grens Schiphol TMA tot de eindnadering beneden een hoogte van 2000 voet AMSL vliegt.
Noemer = aantal naderingen met straalvliegtuigen in het tijdvak van 06:00:00 uur tot en met 22:59:59 uur.
Formule 9
Teller = aantal keren in de periode dat een straalvliegtuig, welke is genaderd in het tijdvak van 23:00:00 uur tot en met 05:59:59 uur, door de gegeven luchtverkeersleiding in het gebied van de grens Schiphol TMA tot de eindnadering buiten de verticale begrenzing van de luchtverkeerwegen of beneden een hoogte van 3000 voet AMSL vliegt.
Noemer = aantal naderingen met straalvliegtuigen in het tijdvak van 23:00:00 uur tot en met 05:59:59 uur.
§ 4.1a. Vaststellen van het aantal vliegtuigbewegingen met handelsverkeer en het aantal daarvan gedurende de periode tussen 23:00 en 07:00 uur
- a.
Een vlucht wordt meegeteld in het totaal aantal vliegtuigbewegingen met handelsverkeer als:
- –
de vlucht is geregistreerd als handelsverkeer overeenkomstig § 3.1, onderdeel k, in samenhang met § 2.4, onderdeel f, met tenminste de volgende gegevens:
- ○
de schemadatum;
- ○
de baantijd (datum, uren, minuten, seconden) van de vlucht in lokale tijd;
- ○
de schematijd in lokale tijd;
- ○
de vluchtsoort en
- ○
het vluchtnummer;
- –
het soort vlucht, geregistreerd onder § 2.4, onderdeel f, valt in een van de volgende categorieën:
- ○
passagierslijnvluchten;
- ○
passagierschartervluchten;
- ○
vrachtlijnvluchten;
- ○
vrachtchartervluchten, of
- ○
positioneringsvluchten.
- b.
Een vlucht wordt meegeteld in het totaal aantal vliegtuigbewegingen met handelsverkeer tussen 23:00:00 en 07:00:00 uur als:
- –
de vlucht is geregistreerd als handelsverkeer overeenkomstig § 3.1, onderdeel k, in samenhang met § 2.4, onderdeel f, met tenminste de volgende gegevens:
- o.
de baantijd (datum, uren, minuten, seconden) van de vlucht in lokale tijd;
- o.
de schemadatum;
- o.
de schematijd in lokale tijd;
- o.
de vluchtsoort en
- o.
het vluchtnummer;
- –
het soort vlucht, geregistreerd onder § 2.4, onderdeel f, valt in een van de volgende categorieën:
- o.
passagierslijnvluchten;
- o.
passagierschartervluchten;
- o.
vrachtlijnvluchten;
- o.
vrachtchartervluchten, of
- o.
positioneringsvluchten;
- –
de baantijd (datum, uren, minuten, seconden) volgens § 3.1, onderdeel a, is gelegen in de periode van 23:00:00 tot en met 06:59:59 uur lokale tijd (datum, uren, minuten en seconden volgens Annex 8A).
§ 4.2. Vaststellen van het totale risicogewicht
§ 4.2.1. Berekening van het totale risicogewicht
- a.
De bijdrage tot het totale risicogewicht van elke vlucht wordt berekend met:
- —
MTOW (§3.1 onder k);
- —
vliegtuigcategorie (§3.4.1);
- b.
Het totale risicogewicht is de som van de bijdragen van alle vluchten gedurende het tijdvak;
- c.
Het totale risicogewicht TRGtot wordt berekend met annex 8C1;
- d.
De vlucht wordt niet meegenomen in de berekening van het totale risicogewicht indien de vlucht volgens §3.1 onder k wordt uitgevoerd door een helikopter.
- e.
De vlucht wordt meegeteld in het aantal niet-verwerkte vluchten overeenkomstig §4.2.2, indien:
- —
het MTOW van een vlucht ontbreekt en
- —
de vlucht overeenkomstig §3.1 onder k, geen helikoptervlucht betreft.
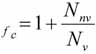
§ 4.2.2. Correctie van het totale risicogewicht voor ontbrekende gegevens
- a.
Het in §4.2.1 berekende totale risicogewicht wordt gecorrigeerd voor het aantal niet-verwerkte vluchten over het tijdvak;
- b.
Voor de correctie van het aantal niet-verwerkte vluchten wordt de volgende correctiefactor (fc) toegepast:
waarbij:
Nnv
Aantal niet-verwerkte vluchten in het tijdvak
Nv
Aantal verwerkte vluchten in het tijdvak

- c.
Het gecorrigeerde totale risicogewicht wordt verkregen door het totale risicogewicht berekend op basis van de verwerkte vluchten over het tijdvak te vermenigvuldigen met de correctiefactor fc conform onderstaande vergelijking:
waarbij:
TRGc
het gecorrigeerde totale risicogewicht over het tijdvak
TRGtot
het ongecorrigeerde totale risicogewicht over het tijdvak, zoals berekend in §4.2.1

§ 4.3. Vaststellen van de geluidbelasting
§ 4.3.1. Vaststellen Lden totale volume van de geluidbelasting
- a.
De bijdrage tot de geluidbelasting van elke vlucht wordt berekend met:
- —
tijdstip van de vlucht (§3.1 onder a);
- —
grondpad gereconstrueerde vliegbaan (§3.2.1);
- —
vliegbaanverlenging (§3.2.2);
- —
vliegtuigcategorie (§3.5.1);
- —
prestatiegegevens (§3.5.2).
- b.
Het totale volume van de geluidbelasting wordt berekend overeenkomstig annex 8D1.
- c.
Bij de berekening van de geluidbelasting voor een tijdvak anders dan een gebruiksjaar of tot het moment dat het totale volume van de geluidbelasting hoger is dan de in artikel 4.2.1, tweede lid van het besluit genoemde waarde, dient de hindersombijdrage voor het resterende deel van het gebruiksjaar gelijk te worden gesteld aan nul;
- d.
De vlucht wordt meegeteld in het aantal niet-verwerkte vluchten overeenkomstig §4.3.5, indien:
- —
van een vlucht de vliegtuigcategorie ontbreekt en/of
- —
van een vlucht geen grondpad van de gereconstrueerde vliegbaan kan worden bepaald conform §3.2.1 en/of
- —
voor een vlucht geen vliegbaanverlenging mogelijk is conform §3.2.2 en
- —
de vlucht volgens §3.1 onder k niet wordt uitgevoerd door een helikopter of niet onder VFR condities is uitgevoerd
- e.
De vlucht wordt niet meegenomen in de berekening van de geluidbelasting, indien:
- —
van een vlucht geen grondpad van de gereconstrueerde vliegbaan kan worden bepaald conform §3.2.1 en/of
- —
voor een vlucht geen vliegbaanverlenging mogelijk is conform §3.2.2 en
- —
de vlucht volgens §3.1 onder k wordt uitgevoerd door een helikopter of onder VFR condities is uitgevoerd.
§ 4.3.2. Vaststellen Lden geluidbelasting in de handhavingspunten
- a.
De hindersombijdrage tot de geluidbelasting van elke vlucht wordt berekend met:
- —
gebruikte start- of landingsbaan (§3.1 onder k);
- —
de beschikbare lengte voor de landing (§2.5.2 onder b );
- —
tijdstip van de vlucht (§3.1 onder a );
- —
grondpad gereconstrueerde vliegbaan (§3.2.1);
- —
vliegbaanverlenging (§3.2.2 );
- —
vliegtuigcategorie (§3.5.1);
- —
prestatiegegevens (§3.5.2 ).
- b.
De geluidbelasting in elk handhavingspunt wordt berekend overeenkomstig annex 8D1.
- c.
Bij de berekening van de geluidbelasting voor een tijdvak anders dan een gebruiksjaar of tot het moment dat de geluidbelasting in een punt hoger is dan de bij dat punt in bijlage 2vanj[lees: van] het besluit aangegeven waarde, dient de hindersombijdrage voor het resterende deel van het gebruiksjaar gelijk te worden gesteld aan nul;
- d.
De vlucht wordt meegeteld in het aantal niet-verwerkte vluchten overeenkomstig §4.3.5, indien:
- —
van een vlucht de vliegtuigcategorie ontbreekt en/of
- —
van een vlucht geen grondpad van de gereconstrueerde vliegbaan kan worden bepaald conform §3.2.1 en/of
- —
voor een vlucht geen vliegbaanverlenging mogelijk is conform §3.2.2 en
- —
de vlucht volgens §3.1 onder k niet wordt uitgevoerd door een helikopter of niet onder VFR condities is uitgevoerd.
- e.
De vlucht wordt niet meegenomen in de berekening van de geluidbelasting, indien:
- —
van een vlucht geen grondpad van de gereconstrueerde vliegbaan kan worden bepaald conform §3.2.1 en/of
- —
voor een vlucht geen vliegbaanverlenging mogelijk is conform §3.2.2 en
- —
de vlucht volgens §3.1 onder k wordt uitgevoerd door een helikopter of onder VFR condities is uitgevoerd.
§ 4.3.3. Vaststellen Lnight totale volume van de geluidbelasting
- a.
De bijdrage tot de geluidbelasting van elke vlucht, die volgens annex 8D1 in Lnight meetelt, wordt berekend met:
- —
tijdstip van de vlucht (§3.1 onder a );
- —
grondpad gereconstrueerde vliegbaan (§3.2.1 );
- —
vliegbaanverlenging (§3.2.2 );
- —
vliegtuigcategorie (§3.5.1);
- —
prestatiegegevens (§3.5.2 ).
- b.
Het totale volume van de geluidbelasting wordt berekend overeenkomstig annex 8D1;
- c.
Bij de berekening van de geluidbelasting voor een tijdvak anders dan een gebruiksjaar of tot het moment dat het totale volume van de geluidbelasting hoger is dan de in artikel 4.2.2, tweede lid, van het besluit genoemde waarde, dient de hindersombijdrage voor het resterende deel van het gebruiksjaar gelijk te worden gesteld aan nul;
- d.
De vlucht wordt meegeteld in het aantal niet-verwerkte vluchten overeenkomstig §4.3.5, indien:
- —
van een vlucht de vliegtuigcategorie ontbreekt en/of
- —
van een vlucht geen grondpad van de gereconstrueerde vliegbaan kan worden bepaald conform §3.2.1 en/of
- —
voor een vlucht geen vliegbaanverlenging mogelijk is conform §3.2.2 en
- —
de vlucht volgens §3.1 onder k niet wordt uitgevoerd door een helikopter of niet onder VFR condities is uitgevoerd
- e.
De vlucht wordt niet meegenomen in de berekening van de geluidbelasting, indien:
- —
van een vlucht geen grondpad van de gereconstrueerde vliegbaan kan worden bepaald conform §3.2.1 en/of
- —
voor een vlucht geen vliegbaanverlenging mogelijk is conform §3.2.2 en
- —
de vlucht volgens §3.1 onder k wordt uitgevoerd door een helikopter of onder VFR condities is uitgevoerd.
§ 4.3.4. Vaststellen Lnight geluidbelasting in de handhavingspunten
- a.
De hindersombijdrage tot de geluidbelasting van elke vlucht, die volgens annex 8D1 in Lnight meetelt, wordt berekend met:
- —
gebruikte start- of landingsbaan (§3.1 onder k );
- —
de beschikbare lengte voor de landing (§2.5.2 onder b );
- —
grondpad gereconstrueerde vliegbaan (§3.2.1 );
- —
vliegbaanverlenging (§3.2.2 );
- —
vliegtuigcategorie (§3.5.1 );
- —
prestatiegegevens (§3.5.2 ).
- b.
De geluidbelasting in elk handhavingspunt wordt berekend overeenkomstig annex 8D1;
- c.
Bij de berekening van de geluidbelasting voor een tijdvak anders dan een gebruiksjaar of tot het moment dat de geluidbelasting in een punt hoger is dan de bij dat punt in bijlage 3 van het besluit aangegeven waarde, dient de hindersombijdrage voor het resterende deel van het gebruiksjaar gelijk te worden gesteld aan nul;
- d.
De vlucht wordt meegeteld in het aantal niet-verwerkte vluchten overeenkomstig §4.3.5, indien:
- —
van een vlucht de vliegtuigcategorie ontbreekt en/of
- —
van een vlucht geen grondpad van de gereconstrueerde vliegbaan kan worden bepaald conform §3.2.1 en/of
- —
voor een vlucht geen vliegbaanverlenging mogelijk is conform §3.2.2 en
- —
de vlucht volgens §3.1 onder k niet wordt uitgevoerd door een helikopter of niet onder VFR condities is uitgevoerd.
- e.
De vlucht wordt niet meegenomen in de berekening van de geluidbelasting, indien:
- —
van een vlucht geen grondpad van de gereconstrueerde vliegbaan kan worden bepaald conform §3.2.1 en/of
- —
voor een vlucht geen vliegbaanverlenging mogelijk is conform §3.2.2 en
- —
de vlucht volgens §3.1 onder k wordt uitgevoerd door een helikopter of onder VFR condities is uitgevoerd.
§ 4.3.5. Correctie van de geluidbelasting voor ontbrekende gegevens
- a.
Het in §4.3.1 onder b en §4.3.3 onder b berekende totale volume van de geluidbelasting en de in §4.3.2 onder b en §4.3.4 onder b berekende geluidbelasting in de handhavingspunten worden per maand gecorrigeerd voor het aantal niet-verwerkte vluchten. Hiervoor wordt de volgende correctiefactor (fc) toegepast:
waarbij:
Nnv:
Aantal niet-verwerkte vluchten in een maand;
Nv:
Aantal verwerkte vluchten in een maand

- b.
De onder a genoemde correctiefactor wordt zowel voor de berekening van de Lden als voor de berekening van de Lnight bepaald;
- c.
Het totale volume van de geluidbelasting (berekend volgens §4.3.1 onder b en §4.3.3 onder b) en de geluidbelasting in de handhavingspunten (berekend volgens §4.3.2 onder b en §4.3.4 onder b), welke zijn berekend op basis van het aantal verwerkte vluchten, worden per maand gecorrigeerd door de betreffende hindersom voor ieder referentie- en handhavingspunt te vermenigvuldigen met de correctiefactor (fc) conform onderstaande vergelijkingen:
waarbij:
Hden,c
de gecorrigeerde hindersom over een maand in een berekeningspunt, gerelateerd aan de etmaalperiode;
Hden
de ongecorrigeerde hindersom over een maand in een berekeningspunt, gerelateerd aan de etmaalperiode;
Hnight,c
de gecorrigeerde hindersom over een maand in een berekeningspunt, gerelateerd aan de nachtperiode;
Hnight
de ongecorrigeerde hindersom over een maand in een berekeningspunt, gerelateerd aan de nachtperiode.

De gecorrigeerde geluidbelasting per referentie- en handhavingspunt wordt op basis van de gecorrigeerde hindersom berekend met behulp van annex 8D1 formule 3 voor de Lden en formule 4 voor de Lnight. Het totale volume geluid wordt op basis van de gecorrigeerde geluidbelasting berekend met behulp van annex 8D1 formule 1 voor de TVGden en formule 2 voor de TVGnight.
§ 4.4. Vaststellen van de uitstoot van stoffen
§ 4.4.1. Berekening van de uitstoot van stoffen
- a.
De uitstoot van elk van de in het besluit genoemde stoffen wordt berekend met:
- —
ICAO-code vliegtuigtype (§3.1 onder k );
- —
motortype (§3.1 onder k );
- —
MTOW (§3.1 onder k );
- —
percentages taxiën met één uitgeschakelde motor (§2.7.1 );
- —
percentage 400 Hz stroomvoorziening in combinatie met APU (§2.7.2 );
- b.
De uitstoot van elk van de in het besluit genoemde stoffen wordt berekend overeenkomstig annex 8E1 en annex 8E2;
- c.
De uitstoot van een in het besluit genoemde stof is de som van de bijdragen van alle vluchten gedurende het tijdvak;
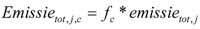
- d.
Bij het niet registreren van het APU-gebruik wordt de fractie APU-gebruik (FracAPU) afgeleid van de fractie APU-gebruik in combinatie met het 400 Hz systeem (FracAPU+400Hz) met de volgende formule: FracAPU = 75 − FracAPU+400Hz.
- e.
Indien de onder a genoemde ICAO code van het vliegtuigtype niet voorkomt in de vliegtuigtypedatabase bedoeld in annex 8E2 of ontbreekt kan de betreffende vlucht niet worden meegenomen in de emissie-berekening. en wordt vlucht meegeteld in het aantal niet verwerkte vluchten overeenkomstig §4.4.2 onder a.
- f.
Indien het onder a genoemde motortype niet voorkomt in de motortype-database bedoeld in annex 8E2 of ontbreekt worden de emissies berekend met de gegevens behorende bij de RB211-524B series package 1 (zie annex 8E2). Voor vliegtuigen met een MTOW < 5700 kg worden bij ontbrekend motortype vaste emissie gegevens gehanteerd. Voor dit geval zijn in de emissie database de pseudo ICAO codes < 5700 1P, < 5700 2P, < 5700 3P, < 5700 1TP, <5700 2TP en <5700 3TP opgenomen (zie annex 8E2). De emissie gegevens voor de P types komen van de IO-360-B als representatieve motor en voor de TP types van de PT6A-45 als representatieve motor.
- g.
Indien van een vlucht het MTOW ontbreekt wordt de vlucht meegeteld in het aantal vluchten waarvoor geen MTOW bekend is overeenkomstig §4.4.2 onder b.
- h.
Indien de in §2.7.1 genoemde percentages ontbreken wordt geen correctie op de normale taxitijd (zie annex 8E1) voor de berekening van de vliegtuigemissies toegepast bij drie- en viermotorige vliegtuigen;
- i.
Indien het in §2.7.2 genoemde gebruikspercentage ontbreekt, wordt de variabele (FracAPU+400Hz) op nul gezet in de berekening van de emissies.
§ 4.4.2. Correctie van de uitstoot van stoffen voor ontbrekende gegevens
- a.
De in §4.4.1 onder b berekende emissies worden gecorrigeerd voor het aantal niet-verwerkte vluchten over het tijdvak. Hiervoor wordt de volgende correctiefactor (fc) toegepast:
waarbij:
Nnv
Aantal niet-verwerkte vluchten over het tijdvak
Nv
Aantal verwerkte vluchten over het tijdvak

De totale emissie per stof, berekend op basis van de verwerkte vluchten, wordt per rapportageperiode vermenigvuldigd met de correctiefactor (fc) conform onderstaande vergelijking:
waarbij:
Emissie-tot,j,c
de gecorrigeerde totale emissie van stof, j, over het tijdvak
Emissie-tot,j
de totale emissie van stof, j, over het tijdvak berekend op basis van de verwerkte vluchten zoals berekend in §4.4.1 onder b.

- b.
Het gesommeerde maximum startgewicht van de vliegtuigbewegingen in het tijdvak wordt gecorrigeerd voor het aantal vluchten waarvoor geen MTOW bekend is. Hiervoor wordt de volgende correctiefactor (fc) toegepast:
waarbij:
Nnv
Aantal vluchten waarvoor geen MTOW bekend is over het tijdvak
Nv
Aantal vluchten waarvoor wel een MTOW bekend is over het tijdvak

Het gesommeerde maximum startgewicht, berekend op basis van de vluchten waarvoor wel een MTOW bekend is, wordt per rapportageperiode vermenigvuldigd met de correctiefactor (fc) conform onderstaande vergelijking:
waarbij:
ΣMTOWc
het gecorrigeerde gesommeerde maximum startgewicht
ΣMTOW
het gesommeerde maximum startgewicht voor de vluchten berekend onder §4.4.1 onder b
- c.
De uitstoot per gecorrigeerde vliegtuigbeweging per stof, j, in het tijdvak is gelijk aan de gecorrigeerde totale emissie van stof, j, over het tijdvak berekend overeenkomstig lid a, gedeeld door het gecorrigeerde gesommeerde maximum startgewicht over het tijdvak berekend overeenkomstig b.
Annex 8A. Omrekening van UTC naar lokale tijd
De berekening van de lokale tijd uit de UTC tijd wordt uitgevoerd met de volgende formule:
met
LT | De lokale tijd op basis van een 24-uurs klok uitgedrukt in uren, minuten, seconden en waar van toepassing in tienden van seconden; |
UTC | De universele tijd (coordinated universal time) op basis van een 24-uurs klok uitgedrukt in uren, minuten en seconden en waar van toepassing in tienden van seconden; |
ΔT | De conversietijd uitgedrukt in uren; |
LT=UTC+ΔT(1)
De waarde van de conversietijd, ΔT, is afhankelijk van de periode waarvoor de UTC tijd is bepaald zoals uit onderstaande tabel volgt:
ΔT (uren) | Periode | Opmerkingen |
|---|---|---|
+1 | wintertijd | Op de laatste zondag van oktober wordt de lokale klok om 03:00 uur naar 02:00 uur gezet en begint de wintertijd. Op de laatste zondag van maart om 02:00 uur wordt de lokale klok naar 03:00 uur gezet en eindigt de wintertijd |
+ 2 | zomertijd1.. | Op de laatste zondag van maart om 02:00 uur wordt de lokale klok naar 03:00 uur gezet en begint de zomertijd. Op de laatste zondag van oktober wordt de lokale klok om 03:00 uur naar 02:00 uur gezet en eindigt de zomertijd. |
Annex 8B. Toetsing van de regels voor het gebruik van het luchtruim
- 1.
Inleiding
- 2.
Toetsing aan luchtverkeerwegen
- 3.
Toetsing op minimale vlieghoogte
- 4.
Begrippenlijst
- 5.
Referenties
1. Inleiding
In deze annex worden successievelijk de algoritmes voor de toetsing aan de luchtverkeerwegen en de toetsing op minimale vlieghoogte beschreven. Beide toetsingen worden onafhankelijk van elkaar uitgevoerd voor iedere vliegtuigbeweging opgenomen in §3.1 onder e.
Van iedere vliegtuigbeweging is in het AAA-systeem een reeks positiewaarnemingen bekend. Een positiewaarneming bestaat uit een horizontale component uitgedrukt in het LVNL-coördinatenstelsel en een verticale component uitgedrukt in een vliegniveau. De positiewaarnemingen worden bepaald met ARTAS.
2. Toetsing aan luchtverkeerwegen
Met deze toetsing wordt invulling gegeven aan de §3.3.1 van bijlage 8 gestelde eisen.
Een luchtverkeerweg kent een horizontale en verticale begrenzing van het gebied waarbinnen vliegtuigbewegingen zich in beginsel moeten bevinden, zie bijlage 1 van het besluit.
In horizontaal opzicht bestaat een luchtverkeerweg uit drie delen: een linkerzijde, een rechterzijde en een poort. De poort verbindt de linker- en rechterzijde en vormt daarmee het einde van de luchtverkeerweg.
Bij de toetsing aan de luchtverkeerwegen wordt bepaald of de reeks positiewaarnemingen behorende bij een vliegtuigbeweging binnen één van de luchtverkeerwegen of het baantolerantiegebied zijn gebleven, waarbij voor de luchtverkeerweg onderscheid wordt gemaakt naar een horizontale en een verticale begrenzing.
Onderstaand algoritme beschrijft puntsgewijs hoe deze toetsing plaatsvindt.
- 1.
Voor iedere positiewaarneming van een vliegtuigbeweging die voldoet aan de in bijlage 8, §3.3.1 onder a, gestelde criteria worden onderstaande controles uitgevoerd.
- 2.
Bepaal op basis van de in bijlage 8 beschikbare vluchtsoort (§3.1 onder e), gebruikte start- of landingsbaan (§3.1 onder e) en tijdstip van de vliegtuigbeweging (§3.1 onder a) de voor deze vliegtuigbeweging van toepassing zijnde luchtverkeerwegen van bijlage 1 van het besluit. Indien er geen luchtverkeerwegen zijn, voldoet de vliegtuigbeweging per definitie aan de gestelde eisen.
- 3.
Controleer per van toepassing zijnde luchtverkeerweg of de reeks positiewaarnemingen behorende bij een vliegtuigbeweging binnen de begrenzingen van de betreffende luchtverkeerweg blijven. Deze controle bestaat uit een controle op de horizontale begrenzing en een controle op de verticale begrenzing. Eerst wordt onderzocht of er een luchtverkeerweg is waaraan de reeks positiewaarnemingen voor wat betreft de horizontale begrenzing voldoet. Daarna vindt de controle op de verticale begrenzing plaats op basis van de luchtverkeerweg die binnen de horizontale begrenzing blijft of de luchtverkeerweg die (als laatste) wordt verlaten. Hieronder worden de controle op de horizontale begrenzing en de controle op de verticale begrenzing uitgewerkt.
Controle op de horizontale begrenzing, vertrek en nadering:
Per luchtverkeerweg worden de positiewaarnemingen vanaf de start- c.q. landingsbaan getoetst. Dit betekent dat een start chronologisch getoetst wordt en een landing omgekeerd chronologisch.
- a)
Selecteer een luchtverkeerweg uit de lijst van mogelijke luchtverkeerwegen;
- b)
Selecteer bij een vertrek de eerste positiewaarneming en bij een nadering de laatste positiewaarneming;
- c)
Bevindt de horizontale component van de positiewaarneming zich binnen het baantolerantiegebied?
Zo ja:
de positiewaarneming blijft binnen de horizontale begrenzing. De volgende positiewaarneming wordt getoetst vanaf c).
Zo nee:
ga door met d).
- d)
Bevindt de horizontale component van de positiewaarneming zich buiten het baantolerantiegebied maar binnen de te onderzoeken luchtverkeerweg (zie ‘Bepalen of een positiewaarneming binnen de luchtverkeerweg ligt’)?
Zo ja:
de positiewaarneming blijft binnen de horizontale begrenzing. De volgende positiewaarneming moet getoetst worden vanaf stap c).
Zo nee:
bepaal op navolgende wijze op welk punt de luchtverkeerweg wordt doorsneden.
- I)
Verbind deze positiewaarneming met de positiewaarneming die voorafgaand aan deze positiewaarneming is getoetst. Deze voorlaatste positiewaarneming bevindt zich dus binnen de luchtverkeerweg danwel binnen het baantolerantiegebied;
- II)
Bepaal in het horizontale vlak het snijpunt van dit lijnstuk met de luchtverkeerweg of het baantolerantiegebied;
- III)
Indien het snijpunt op de poort van de luchtverkeerweg ligt, voldoet deze reeks positiewaarnemingen aan de horizontale begrenzing van deze luchtverkeerweg. Ga door met ‘Controle op de verticale begrenzing, vertrek’ danwel ‘Controle op de verticale begrenzing, nadering’, afhankelijk van de in bijlage 8 beschikbare vluchtsoort (§3.1 onder e), voor de in deze stap geselecteerde luchtverkeerweg.
Indien het snijpunt zich op de linker- of de rechterzijde van de luchtverkeerweg of op de grens van het baantolerantiegebied bevindt, voldoet de reeks positiewaarnemingen niet aan de horizontale begrenzing deze luchtverkeerweg. Bepaal op welk tijdstip en op welke hoogte de luchtverkeerweg wordt doorsneden. Indien er nog een mogelijke luchtverkeerweg is, waarvoor nog geen horizontale toetsing heeft plaatsgevonden, vervolg dan met stap b);
- e)
Indien de reeks positiewaarnemingen behorend tot één vliegtuigbeweging voor geen enkele van toepassing zijnde luchtverkeerweg aan de horizontale begrenzing voldoet, wordt de vliegtuigbeweging aangemerkt als een afwijker.
Bepaal voor de afwijker bij een vertrek de luchtverkeerweg die, blijkens d) III), in de tijd gezien als laatste wordt doorsneden en bij een nadering de luchtverkeerweg die, blijkens d) III), in de tijd gezien als eerste wordt doorsneden.
Indien de afwijker een vertrek betreft en de doorsnijding van de linker- of de rechterzijde van de luchtverkeerweg beneden de in tabel 6 van §4.1 in bijlage 8 genoemde hoogte plaatsvindt, met inachtneming van de vliegmarge volgens ICAO, wordt hij meegeteld in de teller van formule 1 of formule 2 welke zijn gedefinieerd in §4.1 in bijlage 8, afhankelijk van het in bijlage 8 beschikbare tijdstip (§3.1 onder a) en vluchtsoort (§3.1 onder e).
Indien de afwijker een nadering betreft wordt hij meegeteld in de teller van formule 3 welke is gedefinieerd in §4.1 in bijlage 8.
- f)
Ga door met ‘Controle op de verticale begrenzing, vertrek’ danwel ‘Controle op de verticale begrenzing, nadering’ afhankelijk van de in bijlage 8 beschikbare vluchtsoort (§3.1 onder e), gebruikmakend van de in deze stap geselecteerde luchtverkeerweg.
Controle op de verticale begrenzing, vertrek:
- a)
Selecteer de eerste positiewaarneming;
- b)
Bevindt de horizontale component van de positiewaarneming zich binnen het baantolerantiegebied?
Zo ja:
de positiewaarneming blijft binnen de verticale begrenzing. De volgende positiewaarneming moet getoetst worden vanaf b).
Zo nee:
ga door met c).
- c)
Bevindt de horizontale component van de positiewaarneming zich buiten het baantolerantiegebied, maar binnen de te onderzoeken luchtverkeerweg en binnen de CTR?
Zo ja:
Bepaal of de vliegtuigbeweging vanaf het einde van de startbaan tot aan de grens van de CTR een stijgingspercentage van minimaal 3,3% realiseert. Voor deze toetsing is het nodig om de afgelegde weg te weten die op de volgende wijze wordt geschat.
De schatting van de afgelegde weg is de sommatie van de afstanden tussen de positiewaarnemingen vanaf de laatste positiewaarneming met vliegniveau 0 tot en met de huidige positiewaarneming. Immers, er kunnen meerdere positiewaarnemingen zijn met vliegniveau 0. Indien een positiewaarneming met vliegniveau 0 ontbreekt, wordt als startpunt een virtuele positiewaarneming op de baandrempel met vliegniveau 0 genomen.
Overschrijdt de positiewaarneming de verticale eisen, dat wil zeggen: is de voor de betreffende positiewaarneming geldende minimale hoogte van 0,033 * <schatting afgelegde weg in ft> hoger dan de vlieghoogte van deze positiewaarneming?
Zo ja:
De positiewaarneming blijft niet binnen de verticale begrenzing. De vliegtuigbeweging wordt gemarkeerd als een afwijker. De vliegtuigbeweging wordt, op basis van deze controle, niet meegeteld in een teller van een formule in §4.1 van bijlage 8. Vervolg de verticale controle vanaf de eerste positiewaarneming buiten de CTR
Zo nee:
De positiewaarneming blijft binnen de verticale begrenzing. Controleer de volgende positiewaarneming vanaf stap b).
Zo nee:
ga door met d)
- d)
Bevindt de horizontale component van de positiewaarneming zich buiten het baantolerantiegebied, maar binnen de luchtverkeerweg en buiten de CTR?
Zo ja:
controleer of de bij de positiewaarneming behorende hoogte op of boven 1500 ft ligt, met inachtneming van de vliegmarge volgens ICAO
Zo ja:
de positiewaarneming blijft binnen de verticale begrenzing. De volgende positiewaarneming moet getoetst worden vanaf stap b).
Zo nee:
de positiewaarneming blijft niet binnen de verticale begrenzing. De vliegtuigbeweging wordt gemarkeerd als een afwijker en meegeteld in de teller van formule 4 welke is gedefinieerd in §4.1 van bijlage 8.
Zo nee:
ga door met e)
- e)
De horizontale component van de positiewaarneming bevindt zich buiten het baantolerantiegebied en buiten de luchtverkeerweg. De verticale toetsing is afgerond en daarmee is tevens het algoritme afgerond.
Controle op de verticale begrenzing, nadering:
- a)
Selecteer de laatste positiewaarneming;
- b)
Bevindt de horizontale component van de positiewaarneming zich binnen het baantolerantiegebied?
Zo ja:
de positiewaarneming blijft binnen de verticale begrenzing. De hieraan voorafgaande positiewaarneming moet getoetst worden vanaf b).
Zo nee:
ga door met c).
- c)
Bevindt de horizontale component van de positiewaarneming zich buiten het baantolerantiegebied en binnen de luchtverkeerweg en in het horizontale vlak op een afstand van minder dan 6,17 NM van de baandrempel aan het begin van de landingsbaan?
Zo ja:
Bepaal of de vliegtuigbeweging zich boven het denkbeeldige lijnstuk bevindt dat start op de baandrempel, een helling heeft van 4,8% en eindigt op 1800 ft. Voor deze toetsing is het nodig om de nog af te leggen weg te bepalen die op de volgende wijze wordt geschat.
De schatting van de nog af te leggen weg is de sommatie van de afstanden tussen de positiewaarnemingen vanaf de huidige positiewaarneming tot en met de eerste positiewaarneming met vliegniveau 0. Immers, er kunnen meerdere positiewaarnemingen zijn met vliegniveau 0. Indien een positiewaarneming met vliegniveau 0 ontbreekt, wordt als eindpunt een virtuele positiewaarneming op de baandrempel met vliegniveau 0 genomen.
Overschrijdt de positiewaarneming de verticale eisen, dat wil zeggen: is de bij de betreffende positiewaarneming geldende minimale hoogte van 0,048 * <schatting af te leggen weg in ft> hoger dan de vlieghoogte van deze positiewaarneming?
Zo ja:
De positiewaarneming blijft niet binnen de verticale begrenzing. De vliegtuigbeweging wordt gemarkeerd als een afwijker. De vliegtuigbeweging wordt, op basis van deze controle, niet meegeteld in een teller van een formule in §4.1 van bijlage 8.
Zo nee:
De positiewaarneming blijft binnen de verticale begrenzing. Controleer de hieraan voorafgaande positiewaarneming vanaf stap b).
Zo nee:
ga door met d)
- d)
Bevindt de horizontale component van de positiewaarneming zich buiten het baantolerantiegebied en binnen de luchtverkeerweg en in het horizontale vlak op een afstand van minimaal 6,17 NM van de baandrempel aan het begin van de landingsbaan?
Zo ja:
controleer of de bij de positiewaarneming behorende hoogte op of boven 1800 ft ligt.
Zo ja:
de positiewaarneming blijft binnen de verticale begrenzing. De hieraan voorafgaande positiewaarneming moet getoetst worden
Zo nee:
de positiewaarneming blijft niet binnen de verticale begrenzing. De vliegtuigbeweging wordt gemarkeerd als een afwijker. De vliegtuigbeweging wordt meegeteld in de teller van formule 9 uit §4.1 van bijlage 8.
Zo nee:
ga door met e)
- e)
De horizontale component van de positiewaarneming bevindt zich buiten het baantolerantiegebied en buiten de luchtverkeerweg. De verticale toetsing is afgerond en daarmee is tevens het algoritme afgerond.
Bepalen of een positiewaarneming binnen de luchtverkeerweg ligt
Om te bepalen of een positiewaarneming binnen de luchtverkeerweg ligt, wordt de luchtverkeerweg — die is opgebouwd uit cirkelsegmenten en lijnsegmenten — omgevormd tot een polygoon. Daartoe zijn een tweetal acties nodig.
- 1.
Vervang elke cirkelsegment door een aantal lijnstukken (zie Figuur 1). De maximale afstand tussen de lijnstukken en de cirkelboog, m.a.w. de maximale fout die hiermee geïntroduceerd wordt, is 10 meter. Afgezet tegen de grootte van een straalvliegtuig of de positiewaarnemingfout is deze fout bijzonder klein.
Figuur 1. Transformatie 1

- 2.
De oorspronkelijke cirkelsegmenten sluiten niet altijd aan op de aangrenzende lijnstukken c.q. cirkelsegmenten. In een dergelijk geval wordt de verbinding tot stand gebracht door het grenslijnstuk (grenslijnstukken) van de cirkelboog (cirkelbogen) te verwijderen en een nieuw lijnstuk te trekken tussen de uiteinden van de aangrenzende delen (zie Figuur 2).
Figuur 2. Transformatie 2

Met deze 2 transformaties is de bepaling of een positiewaarneming binnen de luchtverkeerweg ligt verworden tot een eenvoudige wiskundige toetsing: ligt het punt binnen de polygoon?
3. Toetsing op minimale vlieghoogte
Vertrekkend verkeer
Met deze toetsing wordt invulling gegeven aan de in §3.3.2 van bijlage 8 gestelde eisen.
- a)
Voor iedere positiewaarneming van een vliegtuigbeweging die voldoet aan de in bijlage 8, §3.3.2 onder a, gestelde criteria, wordt onderstaande controle uitgevoerd.
- b)
Controleer de eerste positiewaarneming
- c)
Bevindt de horizontale component van de positiewaarneming zich buiten de op het horizontale vlak geprojecteerde TMA en is de bij de positiewaarneming behorende hoogte gelijk aan of hoger dan vliegniveau 60, met inachtneming van de vliegmarge volgens ICAO?
Zo ja:
de positiewaarneming voldoet aan de gestelde eis m.b.t de minimale vlieghoogte. De volgende positiewaarneming moet getoetst worden.
Zo nee:
de positiewaarneming voldoet niet aan de gestelde eis m.b.t de minimale vlieghoogte. Deze vliegtuigbeweging wordt gemarkeerd als een afwijker en meegeteld in de teller van formule 5 welke is gedefinieerd in §4.1 in bijlage 8. Dit algoritme is afgerond.
Naderend verkeer
Met deze toetsing wordt invulling gegeven aan de in §3.3.3 van bijlage 8 gestelde eisen.
- a)
Voor iedere positiewaarneming van een vliegtuigbeweging die voldoet aan de in bijlage 8, §3.3.3 onder a, gestelde criteria, worden onderstaande controles uitgevoerd.
- b)
Controleer de eerste positiewaarneming van deze vliegtuigbeweging die zich op een afstand van minder dan 3 km van de grens van de TMA bevindt.
- c)
Bevindt de horizontale component van de positiewaarneming zich buiten de op het horizontale vlak geprojecteerde TMA en is de bij de positiewaarneming behorende hoogte hoger dan de in artikel 3.1.2 lid 3 van het besluit genoemde hoogte, met inachtneming van de vliegmarge volgens ICAO?
Zo ja:
de positiewaarneming voldoet aan de gestelde eis m.b.t. de minimale vlieghoogte. De volgende positiewaarneming moet getoetst worden vanaf c)
Zo nee
de positiewaarneming voldoet niet aan de gestelde eis m.b.t. minimale vlieghoogte. Deze vliegtuigbeweging wordt gemarkeerd als een afwijker en wordt meegeteld in de teller van formule 6 of formule 7 welke zijn gedefinieerd in §4.1 van bijlage 8, afhankelijk van het geregistreerde tijdstip (§3.1 onder a van bijlage 8). Dit algoritme is afgerond.
- d)
Tot aan de eindnadering dient een vliegtuigbeweging zich op of boven de in artikel 3.1.2 lid 3 van het besluit genoemde vlieghoogte te bevinden, met inachtneming van de vliegmarge volgens ICAO. Voor de bepaling van de van toepassing zijnde minimale vlieghoogte wordt gebruik gemaakt van de in §3.1 onder a van bijlage 8 genoemde tijdstip.
Voor de controle op de vlieghoogte wordt gebruik gemaakt van een cirkelsegment. Dit cirkelsegment wordt per baanrichting bepaald en is zodanig gekozen, dat iedere vliegtuigbeweging geacht wordt de eindnadering in dit segment uit te voeren. De cirkel waar het cirkelsegment deel van uitmaakt heeft als middelpunt de in §2.5.2 onder a geregistreerde baandrempel met overdag een straal van 6,281 NM en 's nachts een straal van 9,421 NM. De hoek tussen de verlengde aslijn van de landingsbaan en de zijkant van het cirkelsegment is — aan beide kanten — 10,3°. De keuze voor de grootte van de hoek is gebaseerd op de area splay angle genoemd in paragraaf 2.6.3 van [ICAO PANS-OPS] part III.
Bevindt de horizontale component van de positiewaarneming zich buiten de op het horizontale vlak geprojecteerde CTR en binnen de op het horizontale vlak geprojecteerde TMA, maar buiten de hierboven beschreven cirkelsector?
Zo ja:
Bevindt de positiewaarneming zich op of boven de voor dit tijdstip van toepassing zijnde minimale vlieghoogte, met inachtneming van de vliegmarge volgens ICAO?
Zo ja:
de positiewaarneming voldoet aan de gestelde eis m.b.t. de minimale vlieghoogte. Vervolg de controle voor de volgende positiewaarneming vanaf stap c)
Zo nee:
de positiewaarneming voldoet niet aan de gestelde eis m.b.t. de minimale vlieghoogte. Deze vliegtuigbeweging wordt gemarkeerd als een afwijker en wordt meegeteld in de teller van formule 8 of formule 9 welke zijn gedefinieerd in §4.1 van bijlage 8, afhankelijk van het geregistreerde tijdstip (§3.1 onder a van bijlage 8). Dit algoritme is afgerond.
Zo nee
ga door met e)
- e)
De horizontale component van de positiewaarneming bevindt zich binnen het hierboven beschreven cirkelsegment. De toetsing is afgerond en daarmee is tevens het algoritme afgerond.
Figuur 3. Situatieschets van de cirkelsector voor de nachtperiode

Toelichting: De figuur toont een vliegtuig dat een landing uitvoert op een bepaalde landingsbaan. In de nacht wordt de eindnadering ingezet op een hoogte van 3000 ft, met een daalpad van minimaal 3°. Als het vliegtuig het laatste stuk in rechte lijn vliegt, betekent dit dat op 9,421 NM voor de baandrempel de landing wordt ingezet. Niet iedere vliegtuigbeweging zal de landing in het verlengde van de baanas inzetten.
4. Begrippenlijst
ARTAS | Advanced Radar Tracker And Server. Dit multi-radar systeem levert met een frequentie van één keer per ± 4 seconden een schatting waar een bepaalde vliegtuigbeweging zich op dat moment bevond. De horizontale component wordt uitgedrukt in het LVNL-coördinatenstelsel, de verticale component in vliegniveau. ARTAS-APP voldoet aan de Europese standaard voor radardata uitwisseling RADNET/RSA.95 en radardekking volgens Radnet TF, Cond.ed.2, 5–95. Dit is bij de LVNL vastgelegd in het Surveillance Produkt beschrijvingsdocument van de afdeling S&I/SUR, document DSUR003, v2.5, d.d. 17-01-2002. |
CTR | Control Zone. De coördinaten van de Schiphol CTR zijn vastgelegd in het AIP. |
LVNL-coördinatenstelsel | De coördinaten in de algoritmes van sannex 8B zijn uitgedrukt in het LVNL-coördinatenstelsel De luchtverkeerwegen zijn vastgelegd in het Rijksdriehoek-stelsel. Aangezien de algoritmes werken met het LVNL-coördinatenstelsel, worden de luchtverkeerwegen omgerekend naar LVNL-coördinaten door een transformatie en een rotatie. Het LVNL-coördinatenstelsel gebruikt een stereografische projectie op een aard ellipsoïde met WGS-84 parameters:
(Bron: de afdeling SUR van de LVNL) |
NM | Nautische Mijl |
SUR | Surveillance |
TMA | Terminal Manoeuvring Area. De coördinaten van de Schiphol TMA zijn vastgelegd in de AIP. |
VEMMIS | Veiligheid Efficiency en Milieu, Management Informatie Systeem. Dit is het systeem wat de LVNL hanteert in het kader van de kwaliteitsbewaking. |
Vlieghoogte | In AAA wordt de hoogte van een vliegtuig geregistreerd in vliegniveaus. Indien in de in het besluit gestelde eisen sprake is van de eenheid voeten, wordt de hoogte in vliegniveaus omgerekend naar voeten (ft) op basis van de in §2.1 van bijlage 8 onder j geregistreerde QNH met de volgende formule: hoogte in voeten = 100 × hoogte in vliegniveaus + 26,7 × (QNH-1013,2). |
Vliegmarge volgens ICAO | In [ICAO PANS-ATM] staat in de artikelen 8.5.4.2.4 en 8.5.4.2.5 beschreven dat voor de hoogte (Mode C) een marge van 300 ft geldt. Dit betekent dat een vliegtuigbeweging die geklaard is voor een bepaalde hoogte hier maximaal 300 ft van zal afwijken als gevolg van de toegestane tolerantie van de meetapparatuur. Bij iedere controle waarbij de hoogte gebruikt wordt, wordt daarom rekening gehouden met deze marge. Dit betekent bijvoorbeeld dat een vliegtuigbeweging die de TMA verlaat op FL057 geen afwijking is. |
5. Referenties
ICAO PANS-ATM | ICAO Procedures for Air Navigation Services; Rules of the air and Air Traffic Services |
ICAO PANS-OPS | ICAO Procedures for Air Navigation Services; Operations doc 8168 volume II |
Annex 8C. Grenswaarden; het externe-veiligheidsrisico
Annex 8C1. Eenduidige beschrijving van rekenmodel voor het externe-veiligheidsrisico
- 1.
Inleiding
- 2.
Eindresultaten
- 3.
Berekening van het totaal risicogewicht per tijdvak
- 4.
Invoergegevens
- 5.
Referenties
1. Inleiding
Deze annex bevat een gevalideerde eenduidige beschrijving van het model ter berekening van het totaal risicogewicht van het luchthavenluchtverkeer op Schiphol. De beschrijving is zodanig dat er geen ruimte is voor interpretatie.
Aan de hand van de voorliggende beschrijving kan software worden gebouwd voor het bepalen van het externe veiligheidsrisico in termen van het totaal risicogewicht dat wordt veroorzaakt door het luchthavenluchtverkeer. Deze annex bevat hiertoe een opsomming van de berekeningsstappen die genomen moeten worden om het totaal risicogewicht te berekenen. Hierbij wordt teruggewerkt van resultaat naar invoergegevens.
In hoofdstuk 2 van deze annex wordt het eindresultaat van de berekening van het totaal risicogewicht besproken. De algoritmes ter berekening van de eindresultaten worden beschreven in hoofdstuk 3. Tenslotte wordt in hoofdstuk 4 een overzicht gegeven van de noodzakelijke invoergegevens voor de berekening van het totaal risicogewicht.
2. Eindresultaten
De externe veiligheidsberekening resulteert in het totaal risicogewicht (TRG) ten gevolge van het luchthavenluchtverkeer per gebruiksjaar (zie luchthavenverkeerbesluit artikel 4.1.1) uitgedrukt in ton (1000 kg).
In het kader van de uitvoering Regeling Milieu Informatie dient het totaal risicogewicht tevens te worden berekend voor een korter tijdvak dan een gebruiksjaar. Daarom zal in het vervolg worden gesproken over het tijdvak in plaats van gebruiksjaar.
In het volgende hoofdstuk wordt beschreven hoe het totaal risicogewicht dient te worden berekend.
3. Berekening van het totaal risicogewicht per tijdvak
In dit hoofdstuk worden de berekeningsstappen gegeven die genomen moeten worden om het totaal risicogewicht te berekenen per tijdvak.
3.1. Berekening van totaal risicogewicht
Het totaal risicogewicht ten gevolge van het luchthavenluchtverkeer wordt berekend met de volgende formule:
(1)
met
TRGtot | Totaal risicogewicht ten gevolge van het luchthavenluchtverkeer uitgedrukt in ton (1000 kg); |
TRGgen | Totaal risicogewicht ten gevolge van het luchthavenluchtverkeer voor vliegtuigen behorend tot vliegtuigcategorieën 1, 2 en 3 respectievelijk overeenkomend met de vliegtuiggeneraties 1, 2 en 3 uitgedrukt in ton (1000 kg); |
TRG5700 | Totaal risicogewicht ten gevolge van het luchthavenluchtverkeer voor vliegtuigen behorend tot vliegtuigcategorie 4 overeenkomend met vliegtuigen met een gewicht kleiner dan 5700 kg, uitgedrukt in ton (1000 kg). |

3.2. Berekening van het totaal risicogewicht voor specifieke groep vliegtuigcategorieën
Het totaal risicogewicht, TRG, ten gevolge van het luchthavenluchtverkeer behorend tot een specifieke groep vliegtuigcategorieën wordt berekend met de formule:
(2)
met
TRG | Totaal risicogewicht ten gevolge van het luchthavenluchtverkeer behorend tot een specifieke groep vliegtuigcategorieën uitgedrukt in ton (1000 kg); |
| Gemiddelde ongevalkans per vlucht van het luchthavenluchtverkeer behorend tot de groep vliegtuigcategorieën; |
N | Het totaal aantal vluchten van het luchthavenluchtverkeer behorend tot de groep vliegtuigcategorieën; |
| Gemiddelde maximale startgewicht per vlucht van het luchthavenluchtverkeer behorend tot de groep vliegtuigcategorieën uitgedrukt in ton (1000 kg). |

3.2.1. Berekening van de gemiddelde ongevalkans per vlucht
De gemiddelde ongevalkans per vlucht wordt berekend met de volgende formule:
(3)
met
j | Nummer van de vlucht (start of landing); |
| Gemiddelde ongevalkans per vlucht; |
Pj | Ongevalkans van het vliegtuigtype corresponderend met vlucht, j; |
N | Het totaal aantal vluchten. |

De ongevalkans van het vliegtuigtype corresponderend met vlucht, j, wordt bepaald op basis van de vliegtuigcategorie waartoe het betreffende vliegtuigtype behoort.
De vliegtuigcategorie van het vliegtuigtype corresponderend met vlucht, j, wordt bepaald op basis de indelingslijst bedoeld in annex 8C2, waarin een koppeling is gegeven tussen de ICAO-code van het betreffende vliegtuigtype, overeenkomstig ICAO DOC 8643, ref. [1], en de vliegtuigcategorie. De ICAO-code van het vliegtuigtype corresponderend met vlucht, j, wordt als invoer aan het rekenmodel aangeboden.
3.2.2. Berekening van de ongevalkans per vliegtuigcategorie
In annex 8C3, ontleend aan ref. [1], is per vliegtuigcategorie de ongevalkans gegeven per miljoen vluchten. Voor vliegtuigcategorie 1, 2 en 3 wordt onderscheid gemaakt in vier verschillende soorten ongevallen: landing overrun, landing undershoot, start overrun en start overshoot. De ongevalkansen voor de vliegtuigcategorieën 1, 2 en 3 worden berekend met de volgende formule:
(4)
met
k | Nummer van de vliegtuigcategorie 1, 2 of 3; |
i | Index 1 t/m 4 corresponderend met de ongevalssoorten: landing overrun (i=1), landing undershoot (i=2), start overrun (i=3) en start overshoot (i=4); |
Pk | Ongevalkans van vliegtuigcategorie, k; |
Pk,i | Ongevalkans corresponderend met ongevalssoort, i, van vliegtuigcategorie, k, zoals vermeld in annex 8C3. |

In annex 8C3, ontleend aan ref. [3], is tevens voor vliegtuigcategorie 4 de ongevalkans gegeven per miljoen vluchten. Voor vliegtuigen behorend tot vliegtuigcategorie 4 wordt alleen onderscheid gemaakt tussen start en landing, waarbij de ongevalkans wordt berekend met de volgende formule:
(5)
met
i | Index 1 t/m 2 corresponderend de vluchtsoorten: landing (i=1) en start (i=2); |
P4 | Ongevalkans van vliegtuigcategorie, 4; |
P4,i | Ongevalkans corresponderend met vluchtsoort, i, van vliegtuigcategorie, 4, zoals vermeld in annex 8C3. |

De ongevalskansen, Pk, van vliegtuigcategorieën, 1, 2 en 3, berekend met formule 4 en vliegtuigcategorie, 4, berekend met formule 5, zijn gegeven in de laatste kolom van de tabel uit annex 8C3.
3.2.3. Berekening van het gemiddelde maximale startgewicht per vlucht
Het gemiddelde maximale startgewicht per vlucht wordt berekend met de volgende formule:
(6)
met
j | Nummer van de vlucht (start of landing); |
MMTOW | Gemiddelde maximale startgewicht per vlucht uitgedrukt in ton (1000 kg); |
MTOWj | Maximale startgewicht van het vliegtuig corresponderend met vlucht, j, uitgedrukt in ton (1000 kg); |
N | Het totaal aantal vluchten. |

Het maximale startgewicht, MTOWj corresponderend met vlucht, j, wordt als invoer aan het rekenmodel aangeboden (zie hoofdstuk 4).
4. Invoergegevens
De invoergegevens van het rekenmodel ter berekening van de externe veiligheid bestaan per vlucht uit:
No. | Invoergegeven per vliegtuigtype |
|---|---|
1 | De ICAO-code van het vliegtuig conform devigerende versie van ICAO DOC 8643 |
2 | Het MTOW van het vliegtuig uitgedrukt in ton (1000 kg) |
5. Referenties
- 1.
ICAO document 8643 versie 31, http://www.icao.int/anb/ais/8643
- 2.
Externe veiligheidsberekeningen voor luchthaven Schiphol in het kader van de Milieu Effect Rapportage Schiphol 2003, NLR-CR-2001-399
- 3.
Re-assessment of the model for analysis of third party risk around regional airports, NLR-CR-2002-178
Annex 8C2. Indeling van vliegtuigtypes naar vliegtuigcategorieën (externe veiligheid)
De bepaling van de vliegtuigcategorie vindt plaats op basis van de ICAO-code van het vliegtuigtype. Hiertoe wordt een indelingslijst gehanteerd met per vliegtuigtype de vliegtuigcategorie. Deze indelingslijst is gebaseerd op onderstaande indeling van vliegtuigtypes naar vliegtuigcategorieën.
ICAO-codes van vliegtuigtypes die niet voorkomen in de indelingslijst worden binnen een periode van 6 maanden in de indelingslijst opgenomen. De vliegtuigcategorie wordt daarbij als volgt bepaald:
- a.
het gemiddelde MTOW wordt vastgesteld voor de vluchten in de afgelopen periode van 6 maanden;
- b.
vliegtuigcategorie 4, overeenkomend met vliegtuigen met een gewicht kleiner dan 5700 kg, wordt toegekend indien het gemiddelde MTOW bepaald onder a kleiner is dan 5700 kg;
- c.
vliegtuigcategorie 3 wordt toegekend in de overige gevallen.
ICAO-code versie 38 DOC 8643 | Vliegtuigca-tegorie | ICAO-code versie 38 DOC 8643 | Vliegtuigca-tegorie | ICAO-code versie 38 DOC 8643 | Vliegtuigca-tegorie | ICAO-code versie 38 DOC 8643 | Vliegtuigca-tegorie |
|---|---|---|---|---|---|---|---|
A124 | 3 | AT43 | 3 | B752 | 3 | BN2P | 4 |
A225 | 3 | AT44 | 3 | B753 | 3 | BN2T | 4 |
A306 | 3 | AT45 | 3 | B762 | 3 | BOOM | 4 |
A30B | 2 | AT72 | 3 | B763 | 3 | C130 | 1 |
A310 | 3 | ATP | 3 | B764 | 3 | C150 | 4 |
A318 | 3 | B190 | 2 | B772 | 3 | C152 | 4 |
A319 | 3 | B26 | 1 | B773 | 3 | C160 | 1 |
A320 | 3 | B350 | 2 | B77W | 3 | C172 | 4 |
A321 | 3 | B36T | 4 | BA11 | 2 | C177 | 4 |
A332 | 3 | B461 | 3 | BASS | 4 | C182 | 4 |
A333 | 3 | B462 | 3 | BE10 | 4 | C206 | 4 |
A342 | 3 | B463 | 3 | BE18 | 4 | C207 | 4 |
A343 | 3 | B701 | 1 | BE19 | 4 | C208 | 4 |
A346 | 3 | B703 | 1 | BE20 | 2 | C210 | 4 |
A388 | 3 | B712 | 3 | BE23 | 4 | C212 | 2 |
A3ST | 3 | B721 | 2 | BE30 | 2 | C25A | 4 |
A748 | 1 | B722 | 2 | BE33 | 4 | C295 | 3 |
AA5 | 4 | B731 | 2 | BE35 | 4 | C303 | 4 |
AC11 | 4 | B732 | 2 | BE36 | 4 | C310 | 4 |
AC50 | 4 | B733 | 3 | BE40 | 3 | C320 | 4 |
AC68 | 4 | B734 | 3 | BE55 | 4 | C335 | 4 |
AC90 | 4 | B735 | 3 | BE58 | 4 | C336 | 4 |
AC95 | 4 | B736 | 3 | BE60 | 4 | C337 | 4 |
AEST | 4 | B737 | 3 | BE65 | 4 | C340 | 4 |
AN12 | 1 | B738 | 3 | BE76 | 4 | C402 | 4 |
AN2 | 4 | B739 | 3 | BE80 | 4 | C404 | 4 |
AN22 | 1 | B741 | 2 | BE95 | 4 | C411 | 4 |
AN24 | 1 | B742 | 2 | BE99 | 4 | C414 | 4 |
AN26 | 2 | B743 | 2 | BE9L | 4 | C421 | 4 |
AN72 | 2 | B744 | 3 | BE9T | 4 | C425 | 4 |
ASTR | 3 | B74S | 2 | BELF | 1 | C441 | 4 |
ICAO-code versie 38 DOC 8643 | Vliegtuigcategorie | ICAO-code versie 38 DOC 8643 | Vliegtuigcategorie | ICAO-code versie 38 DOC 8643 | Vliegtuigcategorie | ICAO-code versie 38 DOC 8643 | Vliegtuigcategorie |
|---|---|---|---|---|---|---|---|
C5 | 2 | DH8C | 3 | H25B | 3 | P28A | 4 |
C500 | 2 | DH8D | 3 | H25C | 3 | P28B | 4 |
C501 | 2 | DHC1 | 4 | HA4T | 3 | P28R | 4 |
C510 | 4 | DHC6 | 4 | IL18 | 1 | P28T | 4 |
C525 | 3 | DHC7 | 2 | IL62 | 1 | P32R | 4 |
C550 | 2 | DO28 | 4 | IL76 | 2 | P32T | 4 |
C551 | 2 | DR40 | 4 | IL86 | 2 | P337 | 4 |
C560 | 3 | DV20 | 4 | IL96 | 3 | P46T | 4 |
C56X | 3 | E110 | 2 | J328 | 3 | P68 | 4 |
C650 | 3 | E120 | 2 | JS31 | 2 | PA18 | 4 |
C680 | 3 | E121 | 2 | JS32 | 2 | PA23 | 4 |
C750 | 3 | E135 | 3 | JS41 | 3 | PA24 | 4 |
CAT | 1 | E145 | 3 | JU52 | 1 | PA27 | 4 |
CL2T | 1 | E170 | 2 | JUNR | 4 | PA30 | 4 |
CL30 | 3 | E190 | 3 | L101 | 2 | PA31 | 4 |
CL60 | 3 | E300 | 4 | L188 | 1 | PA32 | 4 |
CN35 | 2 | E50P | 4 | L29 | 4 | PA34 | 4 |
COL4 | 4 | F100 | 3 | L29A | 1 | PA38 | 4 |
CONI | 1 | F27 | 1 | L29B | 1 | PA44 | 4 |
CRJ1 | 3 | F28 | 2 | L410 | 2 | PA46 | 4 |
CRJ2 | 3 | F2TH | 3 | LGEZ | 4 | PAT 4 | 4 |
CRJ7 | 3 | F406 | 4 | LJ24 | 2 | PAY1 | 4 |
CRJ9 | 3 | F50 | 3 | LJ31 | 2 | PAY2 | 4 |
D228 | 2 | F60 | 3 | LJ35 | 2 | PAY3 | 4 |
D28D | 4 | F70 | 3 | LJ40 | 3 | PAY4 | 4 |
D328 | 3 | F8L | 4 | LJ45 | 3 | PC12 | 4 |
DA40 | 4 | F900 | 3 | LJ55 | 3 | PC6T | 4 |
DA42 | 4 | FA10 | 1 | LJ60 | 3 | PINO | 4 |
DC10 | 2 | FA20 | 1 | LNC2 | 4 | PL12 | 4 |
DC2 | 1 | FA50 | 1 | M20P | 4 | PRM1 | 4 |
DC3 | 1 | FA7X | 3 | M20T | 4 | PTS2 | 4 |
DC4 | 1 | FOUG | 4 | MD11 | 3 | R200 | 4 |
DC6 | 1 | G150 | 3 | MD81 | 3 | R300 | 4 |
DC85 | 1 | G159 | 1 | MD82 | 3 | RALL | 4 |
DC86 | 1 | G222 | 1 | MD83 | 3 | RF6 | 4 |
DC87 | 1 | GA7 | 4 | MD87 | 3 | RJ1H | 3 |
DC91 | 2 | GALX | 3 | MD88 | 3 | RJ70 | 3 |
DC92 | 2 | GL5T | 3 | MD90 | 3 | RJ85 | 3 |
DC93 | 2 | GLEX | 3 | MS76 | 4 | RV8 | 4 |
DC94 | 2 | GLF2 | 1 | MU2 | 4 | S11 | 4 |
DC95 | 2 | GLF3 | 2 | MU30 | 2 | S601 | 1 |
DH82 | 4 | GLF4 | 3 | NOMA | 4 | SB20 | 3 |
DH8A | 3 | GLF5 | 3 | P149 | 4 | SB91 | 4 |
DH8B | 3 | H25A | 1 | P180 | 4 | SBR1 | 1 |
ICAO-code versie 38 DOC 8643 | Vliegtuigcategorie | ICAO-code versie 38 DOC 8643 | Vliegtuigcategorie | ICAO-code versie 38 DOC 8643 | Vliegtuigcategorie | ICAO-code versie 38 DOC 8643 | Vliegtuigcategorie |
|---|---|---|---|---|---|---|---|
SBR2 | 1 | SR22 | 4 | T134 | 2 | TRIN | 4 |
SF2 | 4 | STAR | 4 | T154 | 2 | VF14 | 2 |
SF34 | 3 | SUBA | 4 | TAMP | 4 | WW23 | 1 |
SH33 | 1 | SW2 | 1 | TBM7 | 4 | WW24 | 1 |
SH36 | 1 | SW3 | 1 | TMOT | 4 | YK40 | 1 |
SR20 | 4 | SW4 | 1 | TOBA | 4 | YK42 | 2 |
Annex 8C3. Ongevalkans per vliegtuigcategorie
Vluchtsoort | Soort ongeval | Vliegtuigcategorie | Ongevalkans (per miljoen vluchten) |
|---|---|---|---|
Nadering | Landing overrun | 1 | 0,251 |
2 | 0,200 | ||
3 | 0,062 | ||
Nadering | Landing undershoot | 1 | 0,753 |
2 | 0,145 | ||
3 | 0,124 | ||
Nadering | 4 | 6,71 | |
Vertrek | Take-off overrun | 1 | 0,377 |
2 | 0,109 | ||
3 | 0,062 | ||
Vertrek | Take-off overshoot | 1 | 0,126 |
2&3 | 0,046 | ||
Vertrek | 4 | 2,24 |
Annex 8D. Grenswaarden; de geluidbelasting
Annex 8D1. Eenduidige beschrijving van rekenmodel geluid
- 1.
Inleiding
- 2.
Definities
- 3.
Eindresultaten
- 4.
Berekening van het totale volume van de geluidbelasting
- 5.
Berekening van de geluidbelasting voor het etmaal en de nacht
- 6.
Invoergegevens
- 7.
Referenties
1. Inleiding
Deze annex bevat een gevalideerde eenduidige beschrijving van het model ter berekening van de geluidbelasting van vliegtuigen op Schiphol. De beschrijving is zodanig opgesteld dat er geen ruimte is voor interpretatie.
Aan de hand van deze beschrijving kan programmatuur (software) worden gebouwd voor de berekening van de geluidbelasting dat wordt veroorzaakt door het luchthavenluchtverkeer. Deze annex bevat een opsomming van de berekeningsstappen die genomen moeten worden om de geluidbelasting te berekenen. Hierbij wordt teruggewerkt van resultaat naar invoergegevens.
In hoofdstuk 2 van deze annex worden de definities gegeven. De eindresultaten van geluidbelasting-berekeningen worden in hoofdstuk 3 besproken. De algoritmes ter berekening van de eindresultaten worden beschreven in hoofdstuk 4 voor het totale volume geluid en hoofdstuk 5 voor de geluidbelasting. Tenslotte wordt in hoofdstuk 6 een overzicht gegeven van de noodzakelijke invoergegevens voor een geluidbelastingberekening.
2. Definities
Avondperiode | Tijdsperiode van 19:00:00 tot 23:00:00 uur lokale tijd. |
Dagperiode | Tijdsperiode van 07:00:00 tot 19:00:00 uur lokale tijd. |
Emissiepunt | Punt waar het vliegtuig zich bevindt bij de productie van het geluid. |
Geluidtabel | Tabel met geluidsniveaus als functie van de afstand tussen emissie- en imissiepunt en de stuwkracht van het vliegtuig wanneer het zich bevindt ter plaatse van het emissiepunt. |
Grondpad | De projectie van de vliegbaan van de vlucht op het grondvlak. |
Grondsnelheid | De snelheid van het vliegtuig langs het grondpad van de vliegbaan van de vlucht. |
Grondvlak | Het X-Y vlak (referentievlak) van het rijksdriehoekstelsel. |
Handhavingspunten | De immisiepunten waar grenswaarden aan de geluidbelasting zijn vastgelegd. |
Immissiepunt | Punt alwaar de geluidbelasting of/en geluidsniveaus wordt bepaald ten gevolge van vliegtuigpassages. |
Luchthavenluchtverkeer | Het luchtverkeer zoals gedefinieerd in de appendices bij het rekenvoorschrift (ref. [1]). |
Nachtperiode | Tijdsperiode van 23:00:00 tot 7:00:00 lokale tijd. |
Prestatieprofiel | Tabel welke verloop van hoogte, stuwkracht en snelheid geeft als functie van de afstand langs het grondpad overeenkomstig de appendices bij het rekenvoorschrift (ref. [1]). |
Referentiepunten | De 33 punten waarvoor de geluidbelasting wordt berekend ten behoeve van de berekening van het totale volume van de geluidbelasting overeenkomstig het luchthavenverkeerbesluit. |
Stuwkracht | Bedrijfstoestand van de motor van het vliegtuig. |
Tijdvak | Tijdsperiode van begin van gebruiksjaar tot door gebruiker te specificeren datum. |
Vliegbaan | De drie-dimensionale beschrijving van de baan van het vliegtuig. |
3. Eindresultaten
Voor Schiphol worden de volgende items berekend ter vaststelling van de geluidbelasting ten gevolge van het luchthavenluchtverkeer per gebruiksjaar:
- 1.
het totale volume van de geluidbelasting voor het gehele etmaal, TVGden, uitgedrukt in dB(A). De berekening van het totale volume van de geluidbelasting voor het gehele etmaal wordt verder uitgewerkt in hoofdstuk 4;
- 2.
de geluidbelasting voor het gehele etmaal, Lden, in elk handhavingspunt dat is aangewezen in bijlage 2 van het Luchthavenverkeerbesluit Schiphol (artikel 4.2.1 lid 3) uitgedrukt in dB(A). De berekening van de etmaalgeluidbelasting wordt verder uitgewerkt in hoofdstuk 5;
- 3.
het totale volume van de geluidbelasting voor de nacht, TVGnight, uitgedrukt in dB(A). De berekening van het totale volume van de geluidbelasting voor de nacht wordt verder uitgewerkt in hoofdstuk 4;
- 4.
de geluidbelasting voor de nacht, Lnight, in elk handhavingspunt dat is aangewezen in bijlage 3 van het Luchthavenverkeerbesluit Schiphol (artikel 4.2.2 lid 3) uitgedrukt in dB(A). De berekening van de geluidbelasting voor de nacht wordt verder uitgewerkt in hoofdstuk 5.
In het kader van de uitvoering van de Regeling Milieu Informatie dienen bovengenoemde resultaten tevens te worden berekend voor een korter tijdvak dan een gebruiksjaar. Daarom zal in het vervolg worden gesproken over het tijdvak in plaats van gebruiksjaar.
4. Berekening van het totale volume van de geluidbelasting
De berekening van het totale volume van de geluidbelasting, TVGden en TVGnight, voor respectievelijk het etmaal en de nacht ten gevolge van het luchthavenluchtverkeer per tijdvak, wordt berekend uit het gemiddelde van de geluidbelasting in de referentiepunten overeenkomstig de volgende formules:
(1)
en

(2)
met
i | Nummer van referentiepunt, Pref; |
Pref,i | Referentiepunt, i, zoals gedefiniëerd in ref. [2]; |
TVGden | Totale volume van de geluidbelasting voor het gehele etmaal uitgedrukt in dB(A); |
TVG … | Totale volume van de geluidbelasting voor de nacht uitgedrukt in dB(A); |
| De geluidbelasting voor het etmaal in referentiepunt, Pref,i, ten gevolge van het luchthavenluchtverkeer, per tijdvak uitgedrukt in dB(A). Zie voor verdere uitwerking formule 3; |
| De geluidbelasting voor de nacht in referentiepunt, Pref,i, ten gevolge van het luchthavenluchtverkeer, per tijdvak uitgedrukt in dB(A). Zie voor verdere uitwerking formule 4. |

De berekening van de geluidbelasting voor het etmaal en de nacht in een immissiepunt, ten gevolge van het luchthavenluchtverkeer wordt verder uitgewerkt in hoofdstuk 5.
5. Berekening van de geluidbelasting voor het etmaal en de nacht
5.1. Berekening van de Lden- en Lnight geluidbelasting per imissiepunt
De Lden- en Lnight geluidbelasting in een immissiepunt ten gevolge van het luchthavenluchtverkeer per tijdvak wordt berekend met de volgende formules:
(3)
en

(4)
met
Lden | De Lden geluidbelasting in een immissiepunt ten gevolge van het luchthavenluchtverkeer per tijdvak uitgedrukt in dB(A); |
Lnight | De Lnight geluidbelasting in een immissiepunt ten gevolge van het luchthavenluchtverkeer per tijdvak uitgedrukt in dB(A); |
Hden | De hindersom bepaald over het tijdvak voor de gehele etmaalperiode (00:00 tot 24:00 uur), in een immissiepunt, ten gevolge van het luchthavenluchtverkeer per tijdvak. Zie voor verdere uitwerking formule 5; |
Hnight | De hindersom bepaald over het tijdvak voor de nachtperiode (23:00 tot 07:00 uur) in een immissiepunt ten gevolge van het luchthavenluchtverkeer per tijdvak. Zie voor verdere uitwerking formule 6; |
Tden | De totale duur van de periode waarover de hindersom, Hden, bepaald wordt, uitgedrukt in seconden; |
Tnight | De totale duur van de periode waarover de hindersom, Hnight, bepaald wordt, uitgedrukt in seconden; |
τ | Referentieperiode van 1 seconde. |

5.2. Berekening van de hindersom, Hden en Hnight
De hindersom Hden wordt berekend met de volgende formule:
(5)
met
i | Nummer van de vlucht (start of landing) uitgevoerd in het tijdvak; |
Hden | De hindersom bepaald over het tijdvak voor de gehele etmaalperiode (00:00:00 tot 24:00:00 uur), in een immisiepunt ten gevolge van het luchthavenluchtverkeer; |
LAXi | Het tijdsgeïntegreerde A-gewogen geluidsniveau in een immissiepunt ten gevolge van vlucht, i, uitgedrukt in dB(A). Zie voor verdere uitwerking formule 7; |
wi | Weegfactor met waarde overeenkomstig onderstaande tabel. |

Het tijdstip, t, waarop de vlucht heeft plaatsgevonden (lokale tijd) | wi |
|---|---|
07:00:00 ≤ t < 19:00:00 | 1 |
19:00:00 ≤ t < 23:00:00 | √10 |
23:00:00 ≤ t < 07:00:00 | 10 |
De hindersom Hnight wordt berekend met de volgende formule
(6)
met
i | Nummer van de vliegtuigbeweging (start of landing) uitgevoerd in het tijdvak voorzover plaatsvindend in de nachtperiode gedefiniëerd als de tijdperiode van 23:00:00 tot 07:00:00 uur lokale tijd; |
Hnight | De hindersom bepaald over het tijdvak voor de nachtperiode (23:00:00 tot 07:00:00 uur) in een immissiepunt ten gevolge van het luchthavenluchtverkeer; |
LAXi | Het tijdsgeïntegreerde A-gewogen geluidsniveau in een immissiepunt ten gevolge van vlucht, i, uitgedrukt in dB(A). Zie voor verdere uitwerking formule 7. |

Het tijdstip, t, waarop de vlucht heeft plaatsgevonden wordt als invoer aan het rekenmodel aangeboden (zie hoofdstuk 6).
Berekening van het tijdsgeïntegreerde A-gewogen geluidsniveau, LAX
Het tijdsgeïntegreerde A-gewogen geluidsniveau, LAXp, in immissiepunt, P, ten gevolge van een vlucht wordt berekend met de volgende formule:
(7)
met
P | Immissiepunt waar de geluidbelasting wordt berekend; |
k | Nummer van emissiepunt, Q, gelegen op de vliegbaan van de vlucht; |
LAXP | Het tijdsgeïntegreerde A-gewogen geluidsniveau in immissiepunt, P, ten gevolge van de vlucht uitgedrukt in dB(A); |
τ | Referentieperiode van 1 seconde; |
NQ | Het aantal emissie punten, Q, gelegen op de vliegbaan van de vlucht; |
Δtk | Tijdsduur van de integratiestap corresponderend met emissiepunt, Qk, uitgedrukt in seconden. Zie voor verdere uitwerking formule 34; |
| Het ongecorrigeerde momentane geluidsniveau in imissiepunt, P, ten gevolge van de vlucht waarvan het vliegtuig zich bevindt in emissiepunt, Qk, uitgedrukt in dB(A). Zie voor verdere uitwerking formule 8; |
| Laterale geluidverzwakking in imissiepunt, P, ten gevolge van de vlucht waarvan het vliegtuig zich bevindt in emissiepunt, Qk, uitgedrukt in dB(A). Zie voor verdere uitwerking formule 17. |

5.3. Berekening van het ongecorrigeerde momentane geluidsniveau, LAP,Q
Het ongecorrigeerde momentane geluidsniveau,

, in imissiepunt, P, ten gevolge van de vlucht waarvan het vliegtuig zich bevindt in emissiepunt, Qk, wordt berekend met de volgende formule:
(8)
met

(9)
en

(10)
en
k | Nummer van emissiepunt, Q, gelegen op de vliegbaan van de vlucht; |
P | Immissiepunt waar de geluidbelasting wordt berekend; |
| Het ongecorrigeerde momentane geluidsniveau in imissiepunt, P, ten gevolge van de vlucht waarvan het vliegtuig zich bevindt in emissiepunt, Qk, uitgedrukt in dB(A); |
LA(S,T) | Het geluidsniveau uitgedrukt in dB(A), corresponderend met de afstand, S, en stuwkracht, T, verkregen middels interpolatie danwel extrapolatie in de geluidtabel van de vliegtuigcategorie waartoe het vliegtuig van de vlucht behoort; |
LA(Si,Tj) | Het geluidsniveau uitgedrukt in dB(A), corresponderend met de afstand, Si, en stuwkracht, Tj, zoals voorkomend in de geluidtabel (zie §0) van de vliegtuigcategorie waartoe het vliegtuig van de vlucht behoort. Met i en j, indices welke de waarde 0 en 1 kunnen aannemen.; |
| Afstand tussen het emissiepunt, Qk, en immisiepunt, P, uitgedrukt in meters. Zie voor verdere uitwerking formule 21; |
| Stuwkracht van het vliegtuig wanneer het zich bevindt in emissiepunt, Qk, uitgedrukt in rpm, kN, Lbs of stuwkrachtsindex. Zie voor verdere uitwerking formules 26 t/m 29; |
Si | Afstand uitgedrukt in meters, zoals voorkomend in de geluidtabel van de vliegtuigcategorie waartoe het vliegtuig van de vlucht behoort. Met i en j, indices welke de waarde 0 en 1 kunnen aannemen. Zie voor verdere uitwerking formules 11 t/m 13; |
Tj | Stuwkracht uitgedrukt in Lbs, RPM, KN of stuwkrachtsindex zoals voorkomend in de geluidtabel van de vliegtuigcategorie waartoe het vliegtuig van de vlucht behoort. Met i en j, indices welke de waarde 0 en 1 kunnen aannemen. Zie voor verdere uitwerking formules 14 t/m 16. |

De waarden voor Si en Tj, worden bepaald op basis van onderstaande formules:

De waarden voor si en Tj, worden bepaald op basis van onderstaande formules:

met
n Het nummer van de afstandswaarde in de geluidtabel (1 t/m N);
m Het nummer van de stuwkrachtswaarde in de geluidtabel (1 t/m M);
SNPD,n Afstandswaarde uitgedrukt in meters corresponderend met index, n, uit geluidtabel (zie §5.8);
TNPD,m Stuwkrachtswaarde uitgedrukt in Lbs, RPM, KN of stuwkrachtsindex corresponderend met index, m, uit geluidtabel (zie §5.8);
N Het aantal afstandswaarden voorkomend in de geluidtabel (zie §5.8);
M Het aantal stuwkrachtswaarden voorkomend in de geluidtabel (zie §5.8).
5.5. Berekening van de laterale geluidverzwakking, LGVP,Q
Figuur 1. Schematische weergave van grondpad, vliegbaan en prestatieprofiel. De figuur geeft tevens de ligging van een emissie- en imissiepunt

De laterale geluidverzwakking,

, wordt berekend met de volgende formules (zie figuur 1 voor schematische weergave):
- 1.
voor 0 ≤ β; ≤ 0,35 rad
(17)

- 2.
voor 0,35 < ≤ β; ≤ 1,57 rad
(18)
met
k
Nummer van emissiepunt, Q, gelegen op de vliegbaan van de vlucht;

Laterale geluidverzwakking in imissiepunt, P, ten gevolge van de vlucht waarvan het vliegtuig zich bevindt in emissiepunt, Qk, uitgedrukt in dB(A);

Afstand tussen het emissiepunt, Qk, en immisiepunt, P, uitgedrukt in meters. Zie voor verdere uitwerking formule 21;
β;
De elevatiehoek uitgedrukt in radialen. Zie voor verdere uitwerking formule 20;
q
De afschermingsfactor: q=0 betekent dat afscherming niet van toepassing is en q=1 als de afscherming wel van toepassing is. Ref. [1] geeft per vliegtuigcategorie bij de geluidtabel of afscherming wel of niet van toepassing is (zie §5.8).
Δ L
De bodemverzwakking uitgedrukt in dB(A) welke als functie van

is gegeven in onderstaande tabel.

S (m)
Δ L (dB(A)
0 ≤ S < 50
0
50 ≤ S < 400
0,0163 (S/S0)−0,815
400 ≤ S < 2300
16,1847 10LOG(S/S0)−36,4086
S ≥ 2300
18
(19)
Met

Afstand tussen het emissiepunt, Qk, en immisiepunt, P, uitgedrukt in meters. Zie voor nadere uitwerking formule 21;
S0
Een referentieafstand van 1 meter.
De elevatiehoek wordt berekend met de volgende formule (zie figuur 1 voor schematische weergave):
(20)
met
β;
De elevatiehoek uitgedrukt in radialen;

De hoogte van het emissiepunt, Qk, boven het grondvlak uitgedrukt in meters. Zie voor verdere uitwerking formule 24 en 25;

De afstand langs het grondvlak tussen immisiepunt, P, en de projectie van Qk op het grondvlak uitgedrukt in meters. Zie voor verdere uitwerking formule 22.

5.6. Kenmerken van emissiepunten
5.6.1. Bepaling van de afstand tussen emissie- en imissiepunt
De afstand tussen emissiepunt, Qk, en immisiepunt, P, wordt berekend met de volgende formule (zie figuur 1 voor schematische weergave):
(21)

De afstand langs het grondvlak tussen emissiepunt, Qk, en immisiepunt, P, wordt berekend met de volgende formule (zie figuur 1 voor schematische weergave):
(22)
met
(XP, YP, | De X,Y en Z-coördinaat van imissiepunt, P, uitgedrukt in Rijksdriehoekscoördinaten in meters; |
| De X, Y en Z-coördinaat van emissiepunt, Qk, uitgedrukt in Rijksdriehoekscoördinaten in meters. Zie voor verdere uitwerking formules 23 t/m 25. |

De ligging van de imissiepunten worden als invoer aan het rekenmodel aangeboden (zie hoofdstuk 6).
5.6.2. Ligging van de emissiepunten langs het grondpad
De X- en Y-coördinaten van emissiepunt, Qk, worden berekend met de volgende formule:
(23)
met
k | Nummer van emissiepunt, Q, gelegen op de vliegbaan van de vlucht; |
| De X- en Y-coördinaat van emissiepunt, Qk, welke is gelegen op het grondpad van de vliegbaan, in Rijksdriehoekscoördinaten uitgedrukt in meters; |
| De afstand langs het grondpad van de vliegbaan voor emissiepunt, Qk uitgedrukt in meters. Zie voor verdere uitwerking formule 32; |
f(w) | Door gebruiker te specificeren wiskundige beschrijving van de ligging van het grondpad van de vliegbaan als functie van de afstand, w, langs het grondpad uitgedrukt in meters (zie hoofdstuk 6). |

Figuur 2. Definitie van prestatieprofielsegmenten en deelsegmenten. Met W=Afstand langs het grondpad, H=hoogte, T=Stuwkracht (hier niet getoond als stuwkrachtsindex) en V=grondsnelheid

De Z-coördinaat van emissiepunt, Qk, wordt berekend met de volgende formules (zie figuur 1 en 2 voor een schematische weergave):
(24)
En

(25)
met
i | Nummer van het segment van het prestatieprofiel behorend tot de vlucht; |
k | Nummer van emissiepunt, Q, gelegen op de vliegbaan van de vlucht; |
| De Z-coördinaat (hoogte boven het XY-grondvlak) van emissiepunt, Qk, uitgedrukt in meters; |
Hi | Hoogte corresponderend met beginpunt van prestatieprofielsegment, i, zoals gegeven in prestatieprofiel uitgedrukt in meters (zie §5.7); |
Hi+1 | Hoogte corresponderend met eindpunt van prestatieprofielsegment, i, zoals gegeven in prestatieprofiel uitgedrukt in meters (zie §5.7); |
Wi | Afstand corresponderend met beginpunt van prestatieprofielsegment, i, zoals gegeven in prestatieprofiel uitgedrukt in meters (zie §5.7); |
Wi+1 | Afstand corresponderend met eindpunt van prestatieprofielsegment, i, zoals gegeven in prestatieprofiel uitgedrukt in meters (zie §5.7); |
| De afstand langs het grondpad van de vliegbaan voor emissiepunt, Qk, uitgedrukt in meters. Zie voor nadere uitwerking formule 32. |
Nprof | Aantal prestatieprofielsegmenten behorend tot de vlucht (zie §5.7). |

Het grondpad van de vlucht wordt als invoergegeven, in een door de gebruiker te specificeren wiskundige formulering, aangeboden aan het rekenmodel (zie hoofdstuk 6).
5.6.3. Bepaling van de stuwkracht van het vliegtuig
Ingeval de stuwkracht in het prestatieprofiel als stuwkrachtindex is gespecificeerd wordt de stuwkracht van het vliegtuig wanneer het zich in emissiepunt, Qk, bevindt, berekend met de volgende formules:
(26)
en

(27)
met
i | Nummer van het segment van het prestatieprofiel behorend tot de vlucht; |
k | Nummer van emissiepunt, Q, gelegen op de vliegbaan van de vlucht; |
| De stuwkracht van het vliegtuig ter plaatse van emissiepunt, Qk, uitgedrukt als stuwkrachtsindex; |
Ti | Stuwkracht corresponderend met prestatieprofielsegment, i, uitgedrukt als stuwkrachtsindex (zie §5.7); |
Wi | Afstand corresponderend met beginpunt van prestatieprofielsegment, i, uitgedrukt in meters (zie §5.7); |
Wi+1 | Afstand corresponderend met eindpunt van prestatieprofielsegment, i, uitgedrukt in meters (zie §5.7); |
| De afstand langs het grondpad van de vliegbaan voor emissiepunt, Qk, uitgedrukt in meters. Zie voor nadere uitwerking formule 32. |
Nprof | Aantal segmenten van prestatieprofiel behorend tot de vlucht (zie §5.7). |

Ingeval de stuwkracht niet als stuwkrachtsindex is gespecificeerd in het prestatieprofiel, wordt de stuwkracht van het vliegtuig wanneer het zich in emissiepunt, Qk, bevindt, berekend met de volgende formules (zie figuur 1 en 2 voor een schematische weergave):
(28)
En

(29)
met
i | Nummer van prestatieprofielsegment behorend tot de vlucht; |
k | Nummer van emissiepunt, Q, gelegen op de vliegbaan van de vlucht; |
| De stuwkracht van het vliegtuig ter plaatse van emissiepunt, Qk, uitgedrukt in Lbs, RPM of kN; |
Ti | Stuwkracht corresponderend met beginpunt van prestatieprofielsegment, i, uitgedrukt in Lbs, RPM of kN (zie §5.7); |
Ti+1 | Stuwkracht corresponderend met eindpunt van prestatieprofielsegment, i, uitgedrukt in Lbs, RPM of kN (zie §5.7); |
Wi | Afstand corresponderend met beginpunt van prestatieprofielsegment, i, uitgedrukt in meters (zie §5.7); |
Wi+1 | Afstand corresponderend met eindpunt van prestatieprofielsegment, i, uitgedrukt in meters (zie §5.7); |
| De afstand langs het grondpad van de vliegbaan voor emissiepunt, Qk, uitgedrukt in meters. Zie voor nadere uitwerking formule 32; |
Nprof | Aantal segmenten van prestatieprofiel behorend tot de vlucht (zie §5.7). |

5.6.4. Bepaling van de snelheid van het vliegtuig
De snelheid van het vliegtuig wanneer het zich in emissiepunt, Qk, bevindt wordt berekend met de volgende formules (zie figuur 1 en 2 voor een schematische weergave):
(30)
en

(31)
met
i | Nummer van het segment van het prestatieprofiel behorend tot de vlucht; |
k | Nummer van emissiepunt, Q, gelegen op de vliegbaan van de vlucht; |
| De grondsnelheid van het vliegtuig ter plaatse van emissiepunt, Qk, uitgedrukt in m/s; |
Vi | Snelheid corresponderend met prestatieprofielsegment, i, uitgedrukt in m/s (zie §5.7); |
Wi | Afstand corresponderend met beginpunt van prestatieprofielsegment, i, uitgedrukt in meters (zie §5.7); |
Wi+1 | Afstand corresponderend met eindpunt van prestatieprofielsegment, i, uitgedrukt in meters (zie §5.7); |
| De afstand langs het grondpad van de vliegbaan voor emissiepunt, Qk, uitgedrukt in meters. Zie voor nadere uitwerking formule 32; |
Nprof | Aantal segmenten van prestatieprofiel behorend tot de vlucht (zie §5.7). |

5.6.5. Bepaling van de afstand langs het grondpad van emissiepunt
Om de ligging van de emissiepunten langs de route te berekenen wordt:
- 1.
het grondpad in grondpadsegmenten verdeeld overeenkomstig de prestatieprofielsegmenten;
- 2.
het grondpadsegment in deelsegmenten verdeeld;
- 3.
een emissiepunt per deelsegment bepaald.
In deze paragraaf worden bovenstaande stappen in omgekeerde volgorde uitgewerkt.
De afstand langs het grondpad van de vliegbaan corresponderend met emissiepunt, Qk, wordt berekend met de volgende formule:
voor 1 ≤ k ≤ NQ
(32)
met
k | Nummer van emissiepunt, Q, gelegen op de vliegbaan van de vlucht; |
NQ | Het aantal emissiepunten, Q, gelegen op de vliegbaan van de vlucht. Het aantal emissiepunten is gelijk aan het aantal afstandswaarden in de verzameling, D, minus één. Zie voor nadere uitwerking van verzameling, D, formule 33.; |
| De afstand langs het grondpad van de vliegbaan voor emissiepunt, Qk, uitgedrukt in meters; |
Dk | Afstand, k, uit verzameling, D, uitgedrukt in meters. Zie voor nadere uitwerking formule 33; |

De grondpadafstand, Dk, is onderdeel van de volgende verzameling (zie figuur 2 voor een schematische weergave):
(33)
met
i | Nummer van het segment van het prestatieprofiel behorend tot de vlucht; |
j | Nummer van het deelsegment van prestatieprofielsegment, i; |
D | De verzameling van grondpadafstanden corresponderend met de deelsegmenten, naar oplopende afstandswaarden gesorteerd, uitgedrukt in meters; |
Dk | Afstandswaarde, k, uit verzameling, D, uitgedrukt in meters; |
di,j | Afgelegde afstand langs het grondpad corresponderend met beginpunt van deelsegment, j, van prestatieprofielsegment, i, uitgedrukt in meters; Zie voor nadere uitwerking formule 35; |
Nds,i | Aantal deelsegmenten per segment, i. Zie voor nadere uitwerking formule 43; |
Nprof | Totaal aantal segmenten van het prestatieprofiel behorend tot de vlucht (zie §5.7); |
Wtrack | Totale lengte van het grondpad van de vliegbaan van de vlucht, uitgedrukt in meters. |

Het tijdinterval, Δtk, corresponderend met grondpadsegment, k, is onderdeel van de volgende verzameling:
(34)
met
i | Nummer van het segment van het prestatieprofiel behorend tot de vlucht; |
j | Nummer van het deelsegment van prestatieprofielsegment, i; |
t | De verzameling van tijdintervallen corresponderend met de deelsegmenten, naar oplopende afstandswaarden gesorteerd, uitgedrukt in seconden; |
tk | Tijdinterval corresponderend met grondpadsegment, k, uitgedrukt in seconden; |
ti,j | Tijdinterval corresponderend met deelsegment, j, van prestatieprofielsegment, i, uitgedrukt in seconden. Zie voor nadere uitwerking formules 36 en 37; |
Nds,i | Aantal deelsegmenten per segment, i. Zie voor nadere uitwerking formule 43; |
Nprof | Totaal aantal segmenten van het prestatieprofiel behorend tot de vlucht (zie §5.7); |

Op basis van de prestatieprofielsegmenten, i, worden deelsegmenten bepaald met eigenschappen overeenkomstig onderstaande formules:
- 1.
voor (1 ≤ i ≤ Nseg) ^ (1 ≤ j ≤ Nds,i) ^ (di,j ≤ We,i)
(35)

(36)


(37)
met
i
Nummer van het segment van het prestatieprofiel behorend tot de vlucht;
j
Nummer van het deelsegment van prestatieprofielsegment, i;
di,j
Afstand corresponderend met beginpunt van deelsegment, j, van prestatieprofielsegment, i, uitgedrukt in meters;
ti,j
Tijdinterval corresponderend met deelsegment, j, van prestatieprofielsegment, i, uitgedrukt in seconden;
Nseg
Aantal segmenten van het prestatieprofiel, gebruikt voor bepaling van deelsegmenten (zie formule 38);
Wb,i
Afstand corresponderend met beginpunt van segment, i, uitgedrukt in meters (zie formule 39 en 41);
We,i
Afstand corresponderend met eindpunt van segment, i, uitgedrukt in meters (zie formule 40 en 42);
Vi
Grondsnelheid corresponderend met prestatieprofielsegment, i, uitgedrukt in m/s (zie §5.7);
Δt
Integratietijd van 2 seconden;
Nds,i
Aantal deelsegmenten per segment, i. Zie voor nadere uitwerking formule 43.

Het laatste segment van het prestatieprofiel waarvoor deelsegmenten worden bepaald en het beginen eindpunt van dit segment wordt bepaald met behulp van onderstaande formules:
- 1.
voor(1 ≤ i ≤ Nprof) ^ (max(Wi) ≤ Wtrack)
Nseg=i (38)
Wb,i=Wi (39)
We,i=Wtrack (40)
De begin- en eindpunten van de overige prestatieprofielsegmenten waarvoor deelsegmenten worden bepaald, worden berekend met onderstaande formules.
- 2.
voor(1 ≤ i < Nseg)
met
i
Nummer van het segment van het prestatieprofiel behorend tot de vlucht;
Nprof
Totaal aantal segmenten van het prestatieprofiel behorend tot de vlucht (zie §5.7);
max(Wi)
Maximale waarde van de verzameling beginpunten van de prestatieprofielsegmenten;
Wi
Afstand corresponderend met beginpunt van prestatieprofielsegment, i, uitgedrukt in meters (zie §5.7);
Wi+1
Afstand corresponderend met eindpunt van prestatieprofielsegment, i, uitgedrukt in meters (zie §5.7);
Wtrack
Totale lengte van het grondpad van de vliegbaan van de vlucht, uitgedrukt in meters;
Nseg
Aantal segmenten van het prestatieprofiel, gebruikt voor bepaling van deelsegmenten, behorend tot de vlucht;
Wb,i
Afstand corresponderend met beginpunt van segment, i, uitgedrukt in meters;
We,i
Afstand corresponderend met eindpunt van segment, i, uitgedrukt in meters.
Wb,i=Wi (41)
We,i=Wi+1 (42)
Het aantal deelsegmenten per segment, i, worden berekend met de volgende formule:
(43)
met
E(x) | De entierfunctie. De entierfunctie levert het grootste gehele getal kleiner dan of gelijk aan x; |
Wb,i | Afstand corresponderend met beginpunt van segment, i, uitgedrukt in meters; |
We,i | Afstand corresponderend met eindpunt van segment, i, uitgedrukt in meters; |
Vi | Grondsnelheid corresponderend met prestatieprofielsegment, i, uitgedrukt in m/s (zie §5.7); |
Δt | Integratietijd van 2 seconden. |

De lengte van het grondpad, Wtrack, wordt bepaald op basis van de wiskundige beschrijving van het grondpad dat als invoer aan het rekenmodel wordt aangeboden (zie hoofdstuk 6).
5.7. Combinatie van het prestatieprofiel met het grondpad van de vliegbaan
Figuur 3:Combinatie van prestatieprofiel aan grondpad voor start- en naderings prestatieprofiel

Het prestatieprofiel (zie §5.9) wordt door middel van de afgelegde weg gecombineerd met het grondpad van de vliegbaan (zie figuur 3).
Voor starts is de oorsprong van het prestatieprofiel gelijk aan het chronologische beginpunt van het grondpad van de vliegbaan. Het chronologische beginpunt van het grondpad is gelegen aan het begin van de startrol.
Voor naderingen is de oorsprong van het prestatieprofiel gelijk aan de baandrempel van de landingsbaan. Het chronologische eindpunt van het grondpad van de vliegbaan is gelegen aan het einde van de landingsbaan en is tevens de oorsprong van de afstand langs het grondpad. Voor naderingen wordt de vliegbaan dus omgekeerd chronologisch geëvalueerd.
Indien het begin- en eindpunt van de afstand, W, van het eerste segment van het prestatieprofiel aan elkaar gelijk zijn en het een naderingsprofiel betreft, wordt de afstand langs het grondpad, gecorrigeerd om de beschikbare lengte voor de landing in rekening te brengen met de volgende formules:
(44)

(45)
met
i | Nummer van het segment van het prestatieprofiel behorend tot de vlucht; |
W1 | Gecorrigeerde afstand corresponderend met beginpunt van eerste prestatieprofielsegment uitgedrukt in meters; |
Wi+1 | Gecorrigeerde afstand corresponderend met eindpunt van prestatieprofielsegment, i, van een naderingsprocedure uitgedrukt in meters; |
Wunc,i+1 | Afstand corresponderend met eindpunt van segment, i, van prestatieprofiel zoals gegeven in ref. [1] van een nadering uitgedrukt in meters (zie §5.9); |
LB | Beschikbare lengte voor de landing uitgedrukt in meters. |

Indien het begin- en eindpunt van de afstand, W, van het eerste segment van het prestatieprofiel niet aan elkaar gelijk zijn, dan wordt geen nadere correctie uitgevoerd.
De beschikbare lengtes voor de landing voor de landingsbanen en landingsbaanrichtingen worden als invoergegeven aangeboden aan het rekenmodel (zie hoofdstuk 6). De beschikbare lengte voor de landing voor de landingsbaan waarop de vliegtuigbeweging wordt uitgevoerd wordt bepaald op basis van de landingsbaanaanduiding welke voor elke nadering als invoer aan het rekenmodel wordt aangeboden (zie hoofdstuk 6).
5.8. Bepaling van de geluidtabel behorende tot de vliegtuigbeweging
De geluidtabel met geluidniveau's, uitgedrukt in dB(A)-waarden, als functie van de afstand tussen emissie- en imissiepunt, en de stuwkracht, is voor elke vliegtuigcategorie beschikbaar in ref. [1]. De vliegtuigcategorie wordt voor iedere vliegtuigbeweging als invoer aan het rekenmodel aangeboden (zie hoofdstuk 6).
Naast geluidgegevens bevat de geluidtabel tevens informatie of wel of geen afscherming moet worden toegepast.
5.9. Bepaling van het prestatieprofiel behorende tot de vliegtuigbeweging
Het prestatieprofiel met de hoogte, H, stuwkracht, T, en grondsnelheid, V, als functie van de afstand, W, langs het grondpad van de vliegbaan is beschikbaar in ref. [1] op basis van de vliegtuigcategorie en de aanduiding van het prestatieprofiel. In figuur 1 is een schematische weergave gegeven van een prestatieprofiel. De vliegtuigcategorie en de aanduiding van het prestatieprofiel wordt voor iedere vliegtuigbeweging als invoer aan het rekenmodel aangeboden (zie hoofdstuk 6).
6. Invoergegevens
De invoergegevens van het geluidmodel bestaan per vliegtuigbeweging uit:
No | Invoergegeven per LTO |
|---|---|
1 | Het tijdstip waarop de vliegtuigbeweging heeft plaatsgevonden uitgedrukt in de lokale tijd. |
2 | De vliegtuigcategorie waartoe het vliegtuigtype corresponderend met de vliegtuigbeweging behoort. |
3 | Het toe te passen prestatieprofiel corresponderend met de vliegprocedure van de vliegtuigbeweging. |
4 | Het grondpad van de vliegbaan van de vliegtuigbeweging overeenkomstig een door de gebruiker te specificeren wiskundige beschrijving, in Rijksdriehoekscoördinaten uitgedrukt in meters. |
5 | Ingeval de vliegtuigbeweging een landing betreft, de aanduiding van de landingsbaan. |
De invoergegevens van het emissie-rekenmodel bestaan per invoerset uit:
No | Invoergegeven |
|---|---|
6 | De (X,Y,Z)-waarde van het imissiepunt in Rijksdriehoekscoördinaten uitgedrukt in meters. |
7 | De beschikbare lengte voor de landing van de landingsbanen uitgedrukt in meters. |
7. Referenties
- 1.
Appendices van de voorschriften voor de berekening van de geluidbelasting, NLR-CR-96650 L, vigerende versie.
- 2.
Voorschrift voor de berekening van de Lden en Lnight geluidbelasting in dB(A) ten gevolge van vliegverkeer van en naar de luchthaven Schiphol, NLR-CR-2001-372
Annex 8D2. Reconstructie van vliegbanen
Het doel van vliegbaanreconstructie is:
- 1.
het afschatten van de positie van het vliegtuig op basis van de geregistreerde positiewaarnemingen;
- 2.
het verkleinen van toevallige positiewaarnemingfouten.
Als basis voor de vliegbaanreconstructie van een vlucht dienen de volgende gegevens:
- ◆
X, Y en Z coördinaat van de positiewaarnemingen van de betreffende vlucht in Rijksdriehoekscoördinaten uitgedrukt in meters;
- ◆
het tijdstip corresponderend met de registratie van de positiewaarneming in lokale tijd, uitgedrukt in uren, minuten, seconden en tienden van seconden;overige beschikbare gegevens die voor de betreffende vlucht worden betrokken voor het identificeren van de positiewaarnemingen.
Op basis van bovenstaande gegevens dienen de volgende controles en bewerkingen te worden uitgevoerd:
- ◆
iedere positiewaarneming behorend tot de vliegbaan en tijdstip van de positiewaarneming van de betreffende vlucht worden toegekend aan een lijst;
- ◆
per positiewaarneming dient te worden nagegaan of het punt op een realistische afstand is gelegen ten opzichte van voorgaande en nakomende positiewaarnemingen gebruikmakend van de uit de gegevens berekende snelheid van het vliegtuig. Indien geen realistische afstand wordt geconstateerd dient het punt te worden verwijderd uit de lijst met positiewaarnemingen;
- ◆
indien de set met vliegbaanpunten minder dan 10 punten bevat wordt geen vliegbaanreconstructie toegepast;
- ◆
de vliegbaan wordt gereconstrueerd op basis van de positiewaarnemingen met een algoritme. De onnauwkeurigheid van de reconstructie mag maximaal 25 meter bedragen. De onnauwkeurigheid van de reconstructie kan worden bepaald op basis van een representatieve (normale omstandigheden) vliegbaan bestaande uit rechte lijnen en bochtsegmenten. Van deze vliegbaan worden punten geselecteerd met een onderlinge afstand corresponderend met een tijdverschil van 5 seconden. De maximale afwijking tussen de representatieve en de gereconstrueerde vliegbaan op basis van de geselecteerde punten zal niet meer dan 25 meter bedragen.
Annex 8D3. Indeling van vliegtuigtypes naar vliegtuigcategorieën (geluid)
De bepaling van de vliegtuigcategorie vindt plaats op basis van de ICAO-code van het vliegtuigtype en, waar van toepassing, het vluchtnummer met daarin de code voor de luchtvaartmaatschappij. Hiertoe wordt een indelingslijst gehanteerd met per vliegtuigtype en, waar van toepassing, de luchtvaartmaatschappij, de vliegtuigcategorie. Deze indelingslijst is gebaseerd op de indelingslijst overeenkomstig paragraaf 2.4.1 van de appendices.
De exploitant van de luchthaven neemt de ICAO-codes van vliegtuigtypes die niet voorkomen in de indelingslijst binnen een periode van 6 maanden na registratie van het vliegtuigtype op in de indelingslijst. De vliegtuigcategorie wordt daarbij als volgt bepaald:
- a.
het gemiddelde MTOW wordt vastgesteld voor de vluchten in de afgelopen periode van 6 maanden;
- b.
indien het soort vliegtuig op basis van ICAO DOC 8643 een helikopter betreft, dan geldt dat:
- 1.
vliegtuigcategorie 010 wordt toegekend indien het gemiddelde MTOW bepaald onder a kleiner is dan 3000 kg;
- 2.
vliegtuigcategorie 012 wordt toegekend indien het gemiddelde MTOW bepaald onder a groter of gelijk is aan 3000 kg en kleiner is dan 7000 kg;
- 3.
vliegtuigcategorie 014 wordt toegekend indien het gemiddelde MTOW bepaald onder a groter of gelijk is aan 7000 kg;
- c.
indien het soort vliegtuig op basis van ICAO DOC 8643 een straalvliegtuig of een propellervliegtuig betreft, dan geldt dat:
- 1.
vliegtuigcategorie 004 wordt toegekend indien het gemiddelde MTOW bepaald onder a kleiner is dan 6000 kg;
- 2.
de vliegtuigcategorie wordt gevormd door de gewichtscategorie/geluidsklasse indien het gemiddelde MTOW bepaald onder a groter of gelijk is aan 6000 kg, waarbij:
- a.
de gewichtscategorie wordt vastgesteld op basis van het gemiddelde MTOW bepaald onder a en overeenkomstig paragraaf 2.2.1 van de appendices;
- b.
de geluidsklasse op basis van de limietwaarden voor de certificatiemeetpunten wordt vastgesteld overeenkomstig paragraaf 2.2.1 van de appendices.
Annex 8D4. Bepaling begin van de startbaan en einde van de landingsbaan
Begin van de startbaan
Als basis voor de de bepaling van het begin van de startbaan dienen de volgende gegevens:
- ◆
X en Y coördinaten van de baandrempel welke zich bevindt aan het begin van de betreffende startbaan in Rijksdriehoekscoördinaten uitgedrukt in meters;
- ◆
X en Y coördinaten van de baandrempel welke zich bevindt aan het einde van de betreffende startbaan in Rijksdriehoekscoördinaten uitgedrukt in meters;
- ◆
De afstand van de Displaced runway Threshold van de landingsbaan aan het begin van de startbaan uitgedrukt in meters;

Op basis van bovenstaande gegevens dienen de volgende bewerkingen te worden uitgevoerd voor de bepaling van het begin van de startbaan:
- ◆
Vanaf de positie van de baandrempel aan het einde van de startbaan tot aan de positie van de baandrempel aan het begin van de startbaan wordt een recht lijnsegment geconstrueerd.
- ◆
Vervolgens wordt dit rechte lijnsegment vanaf de positie van de baandrempel aan het begin van de startbaan verlengt met de afstand van de Displaced runway Threshold.
- ◆
Het begin van de startbaan ligt aan het einde van het verlengde rechte lijnsegment.
Einde van de landingsbaan
Als basis voor de de bepaling van het einde van de landingsbaan dienen de volgende gegevens:
- ◆
X en Y coördinaten van de baandrempel welke zich bevindt aan het begin van de betreffende landingsbaan in Rijksdriehoekscoördinaten uitgedrukt in meters;
- ◆
X en Y coördinaten van de baandrempel welke zich bevindt aan het einde van de betreffende landingsbaan in Rijksdriehoekscoördinaten uitgedrukt in meters;
- ◆
Landing Distance Available van de landingsbaan uitgedrukt in meters.

Op basis van bovenstaande gegevens dienen de volgende bewerkingen te worden uitgevoerd voor de bepaling van het einde van de landingsbaan:
- ◆
Vanaf de positie van de baandrempel aan het begin van de landingsbaan wordt in de richting van de positie van de baandrempel aan het einde van de landingsbaan een recht lijnsegment geconstrueerd met een lengte gelijk aan de Landing Distance Available.
- ◆
Het einde van de landingsbaan ligt aan het einde van dit rechte lijnsegment.
Annex 8E. Grenswaarden; emissies luchtverontreinigende stoffen
Annex 8E1. Eenduidige beschrijving van emissie-rekenmodel
- 1.
Inleiding
- 2.
Eindresultaten
- 3.
Berekening van de totale emissie per gecorrigeerde vliegtuigbeweging
- 4.
Berekening van de totale emissie
- 5.
Inhoud van de emissie-database
- 6.
Invoergegevens
1. Inleiding
Deze annex bevat een gevalideerde eenduidige beschrijving van het model ter berekening van de emissies van vliegtuigen voor de stoffen CO, NOx, VOS, SO2 en PM10 op Schiphol. De annex is zodanig opgesteld dat er geen ruimte is voor interpretatie. Daarnaast is een emissie-database samengesteld.
Op basis van voorliggende beschrijving en de opgestelde emissie-database is het voor eenieder mogelijk een rekenmodel te bouwen voor emissieberekeningen dat bij gelijke invoergegevens leidt tot dezelfde uitvoergegevens. Deze annex bevat hiertoe een opsomming van de berekeningsstappen die gemaakt moeten worden om de emissies te berekenen. Hierbij wordt teruggewerkt van resultaat naar invoergegevens.
In hoofdstuk 2 van deze annex worden de eindresultaten van een emissieberekening besproken. De algoritmes ter berekening van de eindresultaten worden beschreven in hoofdstuk 3 en 4. In hoofdstuk 5 wordt de inhoud van de emissie-database besproken. Tenslotte wordt in hoofdstuk 6 een overzicht gegeven van de noodzakelijke invoergegevens voor een emissie-berekening.
2. Eindresultaten
Een emissie-berekening resulteert in twee eindresultaten. Deze zijn:
- 1.
de totale emissie van stof, j, ten gevolge van het luchthavenluchtverkeer per gecorrigeerde vliegtuigbeweging per gebruiksjaar uitgedrukt in gram per ton (1000 kg) en gedefinieerd als EmissieMTOW_tot,j (zie artikel 4.3.1 lid 1 van het besluit). De berekening van de totale emissie per gecorrigeerde vliegtuigbeweging wordt verder uitgewerkt in hoofdstuk 3;
- 2.
de totale emissie van stof, j, ten gevolge van het luchthavenluchtverkeer per gebruiksjaar uitgedrukt in gram per gebruiksjaar en gedefinieerd als Emissietot,j (zie artikel 4.3.1 lid 3 van het besluit). De berekening van de totale emissie wordt verder uitgewerkt in hoofdstuk 4.
Ten behoeve van de Regeling Milieu Informatie dient de totale emissie en de totale emissie per gecorrigeerde vliegtuigbeweging tevens te worden berekend voor een korter tijdvak dan een gebruiksjaar. Daarom zal in het vervolg worden gesproken over het tijdvak in plaats van gebruiksjaar.
3. Berekening van de totale emissie per gecorrigeerde vliegtuigbeweging
De totale emissie van stof, j, ten gevolge van het luchthavenluchtverkeer per gecorrigeerde vliegtuigbeweging per tijdvak wordt berekend met de volgende formule:
(1)
met
j | Index 1 t/m 5 voor respectievelijk de stoffen: CO, NOx, VOS, SO2 en PM10; |
i | Index over het aantal LTO's in het tijdvak; |
N | Het totaal aantal LTO's per tijdvak; |
EmissieMTOW_tot,j | Totale emissie van stof, j, ten gevolge van het luchthavenluchtverkeer per gecorrigeerde vliegtuigbeweging per tijdvak uitgedrukt in gram per ton (1000 kg) per tijdvak; |
Emissietot,j | De totale emissie van stof, j, ten gevolge van het luchthavenluchtverkeer per tijdvak uitgedrukt in gram per tijdvak (zie hoofdstuk 4); |
MTOWi | Het Maximum Take Off Weight (MTOW) van het vliegtuig corresponderend met LTO, i, uitgedrukt in ton (1000 kg); |
| Het gesommeerde Maximum Take-Off Weight over alle vliegtuigbewegingen (= 2×N) uitgevoerd in het tijdvak uitgedrukt in ton (1000 kg) per tijdvak. In het luchthavenverkeerbesluit wordt deze term aangeduid als het aantal gecorrigeerde vliegtuigbewegingen. |

Het Maximum Take-Off Weight (MTOW) van het vliegtuig corresponderend met LTO, i, wordt als invoer aan het rekenmodel aangeboden (zie hoofdstuk 6).
4. Berekening van de totale emissie
De totale emissie van stof, j, ten gevolge van het luchthavenluchtverkeer per tijdvak wordt berekend met de volgende formule:
(2)
met:
j | Index1 t/m 5 voor respectievelijk de stoffen: CO, NOx, VOS, SO2 en PM10; |
Emissietot,j | De totale emissie van stof, j, ten gevolge van het luchthavenluchtverkeer per tijdvak uitgedrukt in gram per tijdvak; |
EmissieLTO,j | De totale emissie van stof, j, ten gevolge van de LTO (Landing en Take-Off) cycles van het luchthavenluchtverkeer per tijdvak uitgedrukt in gram per tijdvak; |
EmissieAPU_tot,j | De totale emissie van stof, j, ten gevolge van het gebruik van het Auxiliary Power Unit (APU) op het platform per tijdvak uitgedrukt in gram per tijdvak. |

4.1. Berekening van de totale emissie ten gevolge van de LTO cycle
De berekening van de totale emissie van stof, j, ten gevolge van de LTO cycles van het luchthavenluchtverkeer per tijdvak wordt berekend met de volgende formule:
(3)
met:
j | Index 1 t/m 5 voor respectievelijk de stoffen: CO, NOx, VOS, SO2 en PM10; |
i | Index over het aantal LTO's in het tijdvak; |
f | Index 1 t/m 4 voor respectievelijk de vliegfasen: approach, idle, take-off en climb out; |
N | Het totaal aantal LTO's per tijdvak; |
EmissieLTO,j | De totale emissie van stof, j, ten gevolge van de LTO cycles van het luchthavenluchtverkeer per tijdvak uitgedrukt in gram per tijdvak; |
ni | Het aantal motoren van het vliegtuigtype corresponderend met LTO, i; |
Fueli,f | Het brandstofverbruik in vliegfase, f, van het motortype van het vliegtuig corresponderend met LTO, i, uitgedrukt in kg per seconde; |
TIMi,f | TIM (Time In Mode) tijd van vliegfase, f, voor het vliegtuigtype corresponderend met LTO, i, uitgedrukt in seconden; |
EFj,i,f | Emissiefactor van stof, j, in vliegfase, f, van het motortype corresponderend met LTO, i, uitgedrukt in gram per kg brandstof. |

4.1.1. Bepaling aantal motoren
Het aantal motoren van het vliegtuigtype corresponderend met LTO, i, wordt bepaald op basis van de ICAO code van het vliegtuigtype. De emissie-database bevat het aantal motoren als functie van de ICAO code (zie hoofdstuk 5, vliegtuigtype-database). De ICAO code wordt voor iedere LTO als invoer aan het rekenmodel aangeboden (zie hoofdstuk 6).
4.1.2. Bepaling brandstofverbruik
Het brandstofverbruik behorende bij vliegfase, f, van het motortype corresponderend met LTO, i, wordt bepaald op basis van het motortype. De emissie-database bevat het brandstofverbruik per vliegfase als functie van het motortype (zie hoofdstuk 5, motortype-database). Het motortype wordt voor iedere LTO als invoer aan het rekenmodel aangeboden (zie hoofdstuk 6).
4.1.3. Bepaling Time in Mode tijd
De TIM (Time In Mode) tijd behorende bij vliegfase, f, voor het vliegtuigtype corresponderend met LTO, i, wordt bepaald op basis van de TIM code die op zijn beurt weer wordt bepaaId op basis van de ICAO code van het vliegtuigtype. De emissie-database bevat de TIM code als functie van de ICAO code (zie hoofdstuk 5, vliegtuigtype-database) en de TIM-tijd per vliegfase als functie van de TIM code (zie hoofdstuk 5, TIM-code-database). De ICAO code wordt voor iedere LTO als invoer aan het rekenmodel aangeboden (zie hoofdstuk 6).
De TIM-tijd voor drie- en vier-motorige vliegtuigen voor de vliegfase ‘idle’ (f=2) wordt gecorrigeerd voor de maatregel taxiën op (n−1) motoren na de landing. Indien het vliegtuigtype corresponderend met LTO, i, drie of vier motoren heeft, wordt de TIM tijd voor vliegfase ‘idle’ als volgt berekend:
(4)
met
i | Index over het aantal LTO's in het tijdvak; |
TIMi,2 | Gecorrigeerde TIM-tijd voor drie of vier-motorig vliegtuig voor vliegfase ‘idle’ (f=2) corresponderend met LTO, i, uitgedrukt in seconden; |
TIMunc,i,2 | De ongecorrigeerde TIM-tijd voor vliegfase ‘idle’ (f=2) corresponderend met LTO, i, zoals bepaald uit de emissie-database uitgedrukt in seconden; |
ni | Het aantal motoren (3 of 4 motoren) van het vliegtuigtype corresponderend met LTO, i; |
impl(ni) | Het percentage LTO's corresponderend met vliegtuigen met drie respectievelijk vier motoren waarmee op (n−1) motoren wordt getaxied na de landing ten opzichte van het totaal aantal LTO's corresponderend met vliegtuigen met drie respectievelijk 4 motoren. Er is dus een apart percentage voor drie-motorige vliegtuigen (impl(3)) en vier-motorige vliegtuigen (impl(4)). De percentages worden vastgesteld per tijdvak. In formulevorm: |

(5)
met
N(n−1),3 | Het totaal aantal LTO's met 3-motorige vliegtuigen die taxiën op 2 motoren na de landing, per tijdvak; |
N3 | Het totaal aantal LTO's met 3-motorige vliegtuigen per tijdvak; |

(6)
met
N(n-1),4 | Het totaal aantal LTO's met 4-motorige vliegtuigen die taxiën op 3 motoren na de landing, per tijdvak; |
N4 | Het totaal aantal LTO's met 4-motorige vliegtuigen per tijdvak; |

De fracties impl(3) en impl(4) worden als invoer aan het rekenmodel aangeboden (zie hoofdstuk 6).
4.1.4. Bepaling emissiefactor
De emissiefactor van stof, j, behorend tot vliegfase, f, van het motortype corresponderend met LTO, i, wordt bepaald op basis van het motortype. De emissie-database bevat de emissiefactoren per stof per vliegfase als functie van het motortype (zie hoofdstuk 5, motortype-database). Het motortype wordt voor iedere LTO als invoer aan het rekenmodel aangeboden (zie hoofdstuk 6).
4.1.5. Ontbrekende emissiefactoren en brandstofgebruik
Er zijn niet voor alle voorkomende motortypes emissiefactoren en brandstofgegevens beschikbaar. Indien van een motortype geen emissie- en/of brandstofgegevens beschikbaar zijn, zijn emissiegegevens opgenomen in de emissie-database van een verwant motortype, het representatieve motortype. Waar van toepassing is de naam van het representatieve motortype opgenomen in het tweede veld van de motortype-database (zie hoofdstuk 5). Indien de emissiefactoren en brandstofgebruik niet beschikbaar zijn en er geen representatief motortype is vastgesteld wordt de betreffende vlucht meegeteld in het aantal niet verwerkte vluchten volgens §4.4.2 onder a.
4.2. De totale emissie ten gevolge van het gebruik van het Auxiliary Power Unit (APU)
De berekening van de totale emissie van stof, j, ten gevolge van het gebruik van de Auxiliary Power Unit (APU) op het platform per tijdvak, wordt berekend met de volgende formule:
(7)
met:
j | Index 1 t/m 5 voor respectievelijk de stoffen: CO, NOx, VOS, SO2 en PM10; |
EmissieAPU_tot,j | De totale emissie van stof, j, ten gevolge van het gebruik van het Auxiliary Power Unit (APU) op het platform per tijdvak uitgedrukt in gram per tijdvak; |
EmissieAPU+400Hz,j | De emissies van stof, j, van APU's van vliegtuigen per tijdvak waarbij wel gebruik wordt gemaakt van 400 Hz walstroom in combinatie met APU gebruik uitgedrukt in gram per tijdvak; |
EmissieAPU,j | De emissies van stof, j, van APU's van vliegtuigen per tijdvak waarbij geen gebruik wordt gemaakt van 400 Hz walstroom in combinatie met APU gebruik uitgedrukt in gram per tijdvak. |

De emissies van stof, j, van APU's van vliegtuigen per tijdvak waarbij wel gebruik wordt gemaakt van 400 Hz walstroom in combinatie met APU gebruik, wordt berekend met de volgende formule:
(8)
met
j | Index 1 t/m 5 voor respectievelijk de stoffen: CO, NOx, VOS, SO2 en PM10; |
i | Index over het aantal LTO's in het tijdvak; |
EmissieAPU+400Hz,j | De emissies van stof, j, van APU's van vliegtuigen per tijdvak waarbij wel gebruik wordt gemaakt van 400 Hz walstroom in combinatie met APU-gebruik, uitgedrukt in gram per tijdvak; |
N | Het totaal aantal LTO's per tijdvak; |
Eno load,j,i | Emissie van stof, j, van APU in onbelaste toestand, van het vliegtuig corresponderend met LTO, i, uitgedrukt in gram per LTO; |
Eairco,j,i | Emissie vanstof, j, van APU in gebruik als airco, van het vliegtuig corresponderend met LTO, i, uitgedrukt in gram per LTO; |
Ejetstart,j,i | Emissie vanstof, j, van APU in gebruik als jet starter, van het vliegtuig corresponderend met LTO, i, uitgedrukt in gram per LTO; |
FracAPU+400Hz | Percentage van alle LTO's per tijdvak waarbij wel gebruik wordt gemaakt van 400 Hz walstroom in combinatie met APU gebruik. In formulevorm: |

(9)
met
NAPU+400Hz | Het totaal aantal LTO's per tijdvak waarbij wel 400 Hz walstroom wordt gebruikt in combinatie met APU gebruik; |
N | Het totaal aantal LTO's per tijdvak; |

De emissies van stof, j, van APU's van vliegtuigen per tijdvak waarbij geen gebruik wordt gemaakt van 400 Hz walstroom in combinatie met APU gebruik, wordt berekend met de volgende formule:
(10)
met
j | Index 1 t/m 5 voor respectievelijk de stoffen: CO, NOx, VOS, SO2 en PM10; |
i | Index over het aantal LTO's in het tijdvak; |
EmissieAPU,j | De emissies van stof, j, van APU's van vliegtuigen per tijdvak waarbij geen gebruik wordt gemaakt van 400 Hz walstroom in combinatie met APU gebruik, uitgedrukt in gram per tijdvak; |
N | Het totaal aantal LTO's per tijdvak; |
Eno load,j,i | Emissie van stof, j, van APU in onbelaste toestand, van het vliegtuig corresponderend met LTO, i, uitgedrukt in gram per LTO; |
Epower,j,i | Emissie van stof, j, van APU in gebruik voor stroomvoorziening, van het vliegtuig corresponderend met LTO, i, uitgedrukt in gram per LTO; |
Eairco,j,i | Emissie vanstof, j, van APU in gebruik als airco, van het vliegtuig corresponderend met LTO, i, uitgedrukt in gram per LTO; |
Ejetstart,j,i | Emissie vanstof, j, van APU in gebruik als jet starter, van het vliegtuig corresponderend met LTO, i, uitgedrukt in gram per LTO; |
FracAPU | Percentage van alle LTO's per tijdvak waarbij geen gebruik wordt gemaakt van 400 Hz walstroom in combinatie met APU gebruik. In formulevorm: |

(11)
met
NAPU | Het totaal aantal LTO's per tijdvak waarbij geen 400 Hz walstroom wordt gebruikt in combinatie met APU gebruik; |
N | Het totaal aantal LTO's per tijdvak; |

De fracties FracAPU+400Hz en FracAPU worden als invoer aan het rekenmodel aangeboden (zie hoofdstuk 6).
De emissie van stof, j, per APU-conditie (no load, power, airco en jetstart), van het vliegtuig corresponderend met LTO, i, wordt berekend met de volgende formule:
(12)
met
j | Index 1 t/m 5 voor respectievelijk de stoffen: CO, NOx, VOS, SO2 en PM10; |
i | Index over het aantal LTO's in het tijdvak; |
conditie | Index over respectievelijk de APU-condities: no load, power, airco en jetstart; |
Econditie,j,i | De emissie van stof, j, per APU conditie, van het vliegtuig corresponderend met LTO, i, uitgedrukt in gram per LTO; |
FuelAPU,conditie,i | Het APU-brandstofverbruik per APU-conditie van de APU van het vliegtuig corresponderend met LTO, i, uitgedrukt in kg per LTO; |
EFAPU,conditie,j,i | APU-emissiefactor van stof, j, per APU-conditie van de APU van het vliegtuig corresponderend met LTO, i, uitgedrukt in gram per kg brandstof. |

4.2.1. Bepaling APU-brandstofverbruik
Het APU-brandstofverbruik per APU-conditie van de APU van het vliegtuig corresponderend met LTO, i, wordt bepaald op basis van de ICAO-code van het vliegtuigtype. De emissie-database bevat het APU type als functie van de ICAO-code (zie hoofdstuk 5, vliegtuigtype-database) en het brandstofverbruik per APU conditie als functie van het APU-type (zie hoofdstuk 5, APU-type-database). De ICAO-code wordt voor iedere LTO als invoer aan het rekenmodel aangeboden (zie hoofdstuk 6).
4.2.2. Bepaling APU-emissiefactor
De APU-emissiefactor van stof, j, behorend tot de APU-conditie van de APU van het vliegtuig corresponderend met LTO, i, wordt bepaald op basis van de ICAO-code van het vliegtuigtype. De emissie-database bevat het APU type als functie van de ICAO-code (zie hoofdstuk 5, vliegtuigtype-database) en de emissiefactor per stof per APU conditie als functie van het APU-type (zie hoofdstuk 5, APU-type-database). De ICAO-code wordt voor iedere LTO als invoer aan het rekenmodel aangeboden (zie hoofdstuk 6).
5. Inhoud van de emissie-database
De emissie-database bestaat uit vier databases t.w. de vliegtuigtype-database, de motortype-database, de APU-type-database en de TIM-code-database. De vliegtuigtype-database geeft een aanta parameters als functie van het vliegtuigtype (ICAO-code). De motortype-database geeft een aantal parameters als functie van het motortype. De APU-type-database geeft een aantal parameters als functie van het APU-type. De TIM-code-database geeft de TIM-tijden als functie van de TIM-code.
Veld | Parameter | Invoer/uitvoer |
|---|---|---|
1 | De ICAO-code van een vliegtuigtype conform de vigerende versie van ICAO DOC 8643 | Invoer |
2 | Aantal motoren | Uitvoer |
3 | TIM-code | Uitvoer |
4 | APU-type dat gebruikt wordt in de berekening | Uitvoer |
Veld | Parameter | Invoer/uitvoer |
|---|---|---|
1 | Uniek identificatienummer zoals gebruikt door ICAO en FAA | Invoer |
2 | Het motortype | Uitvoer |
3 | De combustor | Uitvoer |
4 | Type (HELI = Turboshaft helicopter engine, PISTON = Piston engine, TP = Turbopiston engine, J = Jet engine) | Uitvoer |
5 | Fabrikant | Uitvoer |
6 en 7 | Stuwkracht voor Turbofan/jet engines en vermogen voor de overige motortypes | Uitvoer |
8 | Het representatieve motortype ingeval geen emissie- en brandstofgegevens beschikbaar zijn voor het motortype genoemd in veld 2 | Uitvoer |
9 | De representatieve combustor behorend bij het representatieve motortype. | Uitvoer |
10 t/m 13 | Brandstofverbruik van het (representatieve) motortype voor de vliegfasen approach, idle, take-off, climb-out in kg per seconde | Uitvoer |
15 t/m 38 | Emissiefactoren van het (representatieve) motortype van de stoffen CO, NOx, VOS, SO2 en PM10, per stof uitgesplitst naar de vliegfasen approach, idle, take-off, climb-out, in gram per kg brandstof | Uitvoer |
Veld | Parameter | Invoer/uitvoer |
|---|---|---|
1 | Het APU-type | Invoer |
2 | Fabrikant | Uitvoer |
3 t/m 26 | Emissiefactoren van het APU-type van de stoffen CO, NOx, VOS, SO2 en PM10 per stof uitgesplitst naar de APU-condities, no load, power, airco en jetstart, in gram per kg brandstof | Uitvoer |
28 t/m 31 | APU brandstofverbruik uitgesplitst naar APU-condities, no load, power, airco en jetstart in kg per LTO | Uitvoer |
Veld | Parameter | Invoer/uitvoer |
|---|---|---|
1 | TIM code | Invoer |
2 t/m 5 | TIM-tijd voor de vliegfasen approach, idle, take-off, climb-out in seconden | Uitvoer |
6. Invoergegevens
De invoergegevens van het emissie-rekenmodel bestaan per LTO uit:
No | Invoergegeven per LTO |
|---|---|
1 | De ICAO-code van het vliegtuig conform de vigerende versie van ICAO DOC 8643 |
2 | Het motortype conform de vigerende versie van de emissie-database |
3 | Het MTOW van het vliegtuig uitgedrukt in ton (1000 kg) |
De invoergegevens van het emissie-rekenmodel bestaan per invoerset uit:
No | Invoergegeven |
|---|---|
4 | Het percentage landingen met drie-motorige vliegtuigen die na de landing met één uitgeschakelde motor naar de afhandelingsplaats taxiën ten opzichte van het totaal aantal landingen met drie-motorige vliegtuigen (impl(3) zie formule 5) |
5 | Het percentage landingen met vier-motorige vliegtuigen die na de landing met één uitgeschakelde motor naar de afhandelingsplaats taxiën ten opzichte van het totaal aantal landingen met vier-motorige vliegtuigen (impl(4) zie formule 6) |
6 | Percentage van alle LTO's per tijdvak waarbij wel gebruik wordt gemaakt van 400 Hz walstroom in combinatie met APU gebruik (FracAPU+400Hz zie formule 9) |
7 | Percentage van alle LTO's per tijdvak waarbij geen gebruik wordt gemaakt van 400 Hz walstroom in combinatie met APU gebruik (FracAPU zie formule 11) |
Annex 8E2. Database met emissie-gegevens
De emissie-database bestaat uit vier databases t.w. de vliegtuigtype-database, de motortype-database, de APU-type-database en de TIM-code-database. De vliegtuigtype-database geeft een aantal parameters als functie van het vliegtuigtype (ICAO-code). De motortype-database geeft een aantal parameters als functie van het motortype. De APU-type-database geeft een aantal parameters als functie van het APU-type. De TIM-code-database geeft de TIM-tijden als functie van de TIM-code. Hiertoe worden databases gehanteerd die gebaseerd zijn op de basis emissie-databases (zie 3. Standaard emissiedata), en aangevuld kunnen worden voor ontbrekende gegevens (zie 1. Opnemen van vliegtuigtypes in de vliegtuigtype-database en 2. Opnemen van motortypes in de motortype-database).
1. Opnemen van vliegtuigtypes in de vliegtuigtype-database
ICAO-codes van vliegtuigtypes die niet voorkomen in de vliegtuigtype-database worden binnen een periode van 6 maanden in de vliegtuigtype-database opgenomen. De benodigde gegevens worden daarbij als volgt bepaald:
- a.
het aantal motoren wordt bepaald op basis van ICAO DOC 8643;
- b.
de TIM-code en TIM-tijden worden gebaseerd op de description en engine type uit ICAO DOC 8643, zie navolgende tabel.
Description
ICAO DOC 8643
Engine type ICAO DOC 8643
TIM-code
TIM-tijden [sec]
Take-off
Climb-out
Approach
Idle
Helicopter / Gyrocopter
*
Heli
0
390
390
420
Landplane / Amphibian
Piston
Piston
18
300
270
960
Turboprop
TP
30
150
270
1229
Jet
TF
34
100
240
1229
TFBUS
24
30
96
780
Jumbo
56
120
240
1229
- c.
Voor het onderscheid in de TIM-codes van de TF-, TFBUS- of Jumbo-aanduiding wordt gebruik gemaakt van de volgende criteria:
- —
De Jumbo TIM-code wordt toegekend aan de vliegtuigtypes welke zijn uitgerust met twee gangpaden of meer;
- —
De TFBUS TIM-codes wordt toegekend aan de vliegtuigtypes voor de zakelijke luchtvaart;
- —
Aan de resterende vliegtuigen wordt een TF TIM-code toegekend.
- d.
Indien het vliegtuigtype volgens het Type-Certificate Data Sheet is uitgerust met een APU dan wordt:
- —
het betreffende APU-type toegewezen indien dit APU-type ook voorkomt in de APU-type-database
- —
een representatief APU-type toegewezen op basis van onderstaande tabel
Description
ICAO DOC 8643
Engine type ICAO DOC 8643
TIM-code
APU-type
Helicopter / Gyrocopter
*
Heli
‘No APU Data’
Landplane / Amphibian
Piston
Piston
‘No APU Data’
Turboprop
TP
GTCP36-150RR
Jet
TF
GTCP?
TFBUS
GTCP36-150RR
Jumbo
PW901A
2. Opnemen van motortypes in de motortype-database
Motortypes die niet voorkomen in de motortype-database worden binnen een periode van 6 maanden in de motortype-database opgenomen. De benodigde gegevens worden daarbij als volgt bepaald:
- a.
Indien het motortype is opgenomen in de ICAO Aircraft Engine Emissions Databank, dan worden het brandstofverbruik en de emissiefactoren onder c bepaald op basis van de gegevens in de ICAO Aircraft Engine Emissions Databank.
- b.
Indien het motortype niet is opgenomen in de database onder a, maar wel in de Federal Aviation Agency Engine Emission Database dan worden het brandstofverbruik en de emissiefactoren onder c bepaald op basis van de gegevens in de Federal Aviation Agency Engine Emission Database.
- c.
Het brandstofverbruik en de emissiefactoren worden als volgt bepaald:
- 1.
Het brandstofverbruik en de emissiefactoren voor CO en NOx uitgesplitst naar de vliegfasen approach, idle, take-off en climb-out, in gram per kg brandstof worden toegekend op basis van de in de database opgenomen gegevens;
- 2.
De emissiefactoren van VOS, uitgesplitst naar de vliegfasen approach, idle, take-off en climb-out, in gram per kg brandstof worden gelijk gesteld aan de emissiefactoren van HC;
- 3.
De emissiefactoren van SO2 voor alle vliegfasen wordt gelijk gesteld aan 0,4 gram per kilogram brandstof;
- 4.
De emissiefactor van PM10, per vliegfase, f, wordt bepaald uit het smoke number, SN,f, volgens de volgende formule:
(1)
met
f
Index 1 t/m 4 voor respectievelijk de vliegfasen: approach, idle, take-off en climb out;
EFPM10,f
Emissiefactor van PM10 in vliegfase, f, uitgedrukt in gram per kg brandstof;
SNf
Smoke Number in vliegfase, f.

- 5.
Indien van een bepaalde vliegfase een Smoke Number niet bekend is, wordt teruggevallen op onderstaande standaardwaarden voor PM10, afhankelijk van de fabrikant van het motortype.
Motorfabrikant
Take-off
Climb-out
Approach
Idle
Allied Signal Engines
1,13
1,21
0,67
0,35
AO ‘Aviadgatel’
2,69
2,93
2,25
0,73
CFM International
0,91
0,65
0,25
0,20
General Electric Aircraft Engines
0,73
0,53
0,25
0,33
International Aero Engines
0,73
0,53
0,25
0,33
Pratt & Whitney
1,23
0,94
0,25
0,07
Rolls Royce Ltd
2,81
2,26
0,72
0,22
Continental Textron Lycoming
1,13
1,21
0,67
0,35
Textron Lycoming
1,13
1,21
0,67
0,35
Avco Lycoming
1,13
1,21
0,67
0,35
ZMKB Progress
2,69
2,93
2,25
0,73
- a.
Indien het motortype niet is opgenomen in de databases onder a en b, dienen op onder-bouwde wijze de gegevens van een representatief motortype in de database te worden gebruikt. Hierbij kan gebruik worden gemaakt van de gegevens van een motortype dat wel voorkomt in de standaard database (zie 3. Standaard emissiedata) en
- —
een vergelijkbaar vermogen/stuwkracht van het ontbrekende motortype kent en zo mogelijk dezelfde fabrikant kent, of
- —
gangbaar is voor het betreffende vliegtuigtype.
- b.
Indien het brandstofverbruik en de emissiefactoren niet bepaald kunnen worden of indien het motortype ontbreekt worden de emissies berekend met de gegevens behorende bij de RB211-524B series package 1. Voor vliegtuigen met een MTOW < 5700 kg worden bij ontbrekend motortype vaste emissie gegevens gehanteerd. Voor dit geval zijn in de emissie database de pseudo ICAO codes < 5700 1P, < 5700 2P, < 5700 3P, < 5700 1TP, <5700 2TP en <5700 3TP opgenomen. De emissie gegevens voor de P types komen van de IO-360-B als representatieve motor en voor de TP types van de PT6A-45 als representatieve motor.
3. Standaard emissiedata
Zie de bij deze annex gevoegde spreadsheet met emissiegegevens.
Voetnoten
dit betreft het systeem waarmee de geluidheffingen en de landingsgelden worden bepaald.
In de richtlijn opgesteld door het Europees Parlement en de raad van de Europese Unie staat dat met ingang van 2002 om 1.00 uur 's morgens UTC, op de laatste zondag van maart, in elke lidstaat (met uitzondering van de overzeese gebieden) de zomertijd begint. Met ingang van 2002 om 1.00 uur 's morgens UTC, op de laatste zondag van oktober, eindigt in elke lidstaat de zomertijd. Voor het eerst bij de bekendmaking van de onderhavige richtlijn en vervolgens om de vijf jaar, maakt de Commissie in het Publicatieblad van de Europese Gemeenschappen (PB C 35 van 2.2.2001) een mededeling bekend met de kalender met de begin- en einddata van de zomertijd voor de volgende vijf jaar.










