Einde inhoudsopgave
Verordening (EU) 2023/955 tot oprichting van een sociaal klimaatfonds en tot wijziging van Verordening (EU) 2021/1060
Bijlage I Methode voor de berekening van de maximale financiële toewijzing voor elke lidstaat in het kader van het fonds op grond van artikel 14
Geldend
Geldend vanaf 05-06-2023
- Bronpublicatie:
10-05-2023, PbEU 2023, L 130 (uitgifte: 16-05-2023, regelingnummer: 2023/955)
- Inwerkingtreding
05-06-2023
- Bronpublicatie inwerkingtreding:
10-05-2023, PbEU 2023, L 130 (uitgifte: 16-05-2023, regelingnummer: 2023/955)
- Vakgebied(en)
EU-recht / Financiering
Milieurecht / Algemeen
Milieurecht / Energie
In deze bijlage wordt de methode bepaald voor de berekening van de maximale financiële toewijzing die voor elke lidstaat beschikbaar is overeenkomstig de artikelen 10 en 14.
In de methode is ten aanzien van elke lidstaat rekening gehouden met de volgende variabelen:
- —
bevolking met een risico op armoede in plattelandsgebieden (2019);
- —
koolstofdioxide-emissies door verbranding van brandstoffen door huishoudens (gemiddelde 2016–2018);
- —
percentage huishoudens met een risico op armoede en met achterstallige betalingen op hun rekeningen voor nutsvoorzieningen (2019);
- —
totale bevolking (2019);
- —
bruto nationaal inkomen (bni) per hoofd van de bevolking van de lidstaat, gemeten in koopkrachtstandaard (2019);
- —
aandeel van de referentie-emissies uit hoofde van artikel 4, lid 2, van Verordening (EU) 2018/842 voor de emissiebronnen 1A3b, 1A4a en 1A4b, zoals vastgesteld in de IPCC-richtsnoeren van 2006 voor nationale broeikasgasinventarissen (gemiddelde 2016–2018), zoals uitgebreid beoordeeld op grond van artikel 4, lid 3, van die verordening.
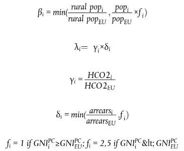
De maximale financiële toewijzing (maximum financial allocation — MFA) per lidstaat in het kader van het fonds (MFAi) wordt als volgt vastgesteld:
MFAi = αi × (MA)
waarbij:
het maximumbedrag (maximum amount — MA) voor de uitvoering van het fonds als bedoeld in artikel 10, lid 1, en αi het aandeel is van de lidstaat i in het maximumbedrag, bepaald op basis van de volgende stappen:

waarbij:

waarbij voor elke lidstaat i:
rural popi de bevolking is met een risico op armoede in plattelandsgebieden van de lidstaat i;
rural popEU de som is van de bevolking met een risico op armoede in plattelandsgebieden in de lidstaten van de EU-27;
popi de bevolking is van lidstaat i;
popEU de som is van de bevolking van de lidstaten van de EU-27;
HCO2i de koolstofdioxide-emissies zijn door verbranding van brandstoffen door huishoudens in lidstaat i;
HCO2EU de som is van koolstofdioxide-emissies door verbranding van brandstoffen door huishoudens in de lidstaten van de EU-27;
arrearsi het percentage huishoudens in lidstaat i is met een risico op armoede en met achterstallige betalingen op hun rekeningen voor nutsvoorzieningen;
arrearsEU het percentage huishoudens in de EU-27 is met een risico op armoede en met achterstallige betalingen op hun rekeningen voor nutsvoorzieningen;
het bni per hoofd van de bevolking van lidstaat i is;
het bni per hoofd van de bevolking van de EU-27 is.
De waarde βi van de lidstaten met een bni per hoofd van de bevolking dat lager is dan dat van de EU-27 en waarvoor
de minimumcomponent is, wordt naar rato aangepast om ervoor te zorgen dat de som van βi voor alle lidstaten neerkomt op 100 %. Alle waarden λi worden naar rato aangepast om ervoor te zorgen dat de som neerkomt op 100 %.
Voor geen van de lidstaten mag het αi lager zijn dan 0,07 % van het in artikel 10, lid 1, bedoelde maximumbedrag. De waarde αi van alle lidstaten met een αi dat hoger is dan 0,07 % wordt naar rato aangepast om ervoor te zorgen dat de som van alle αi gelijk is aan 100 %.
Voor lidstaten met een bni per hoofd van de bevolking dat lager is dan 90 % van dat van de EU-27, kan αi niet lager zijn dan het aandeel van de referentie-emissies overeenkomstig artikel 4, lid 2, van Verordening (EU) 2018/842 voor de emissiebronnen 1A3b, 1A4a en 1A4b, zoals vastgesteld in de IPCC-richtsnoeren van 2006 voor nationale broeikasgasinventarissen voor het gemiddelde van de periode 2016–2018, zoals uitgebreid op grond van overeenkomstig artikel 4, lid 3, van die verordening. De waarde αi van de lidstaten met een bni per hoofd van de bevolking dat hoger is dan dat van de EU-27 wordt naar rato aangepast om ervoor te zorgen dat de som van alle αi gelijk is aan 100 %.