Achtergestelde vorderingen (O&R)
Einde inhoudsopgave
Achtergestelde vorderingen (O&R nr. 114) 2019/A.3:A.3 Uitdeling bij een specifieke achterstelling
Achtergestelde vorderingen (O&R nr. 114) 2019/A.3
A.3 Uitdeling bij een specifieke achterstelling
Documentgegevens:
mr. drs. N.B. Pannevis, datum 01-04-2019
- Datum
01-04-2019
- Auteur
mr. drs. N.B. Pannevis
- JCDI
JCDI:ADS186571:1
- Vakgebied(en)
Insolventierecht / Algemeen
Ondernemingsrecht / Algemeen
Vermogensrecht / Rechtsvorderingen
Verbintenissenrecht / Algemeen
Verbintenissenrecht / Overeenkomst
Deze functie is alleen te gebruiken als je bent ingelogd.
722. Er zijn drie schuldeisers A, B en C met de vorderingen V A , V B en V C. Het verhaalsrecht van A is gelijk in rang aan dat van B en dat van C. Tussen de verhaalsrechten van B en C bestaat echter een rangverschil. B is hoger in rang dan C. Zie par. 7.4.2.4.
Eerst wordt de uitkering aan A berekend. Die is
Op de vorderingen van B en C samen wordt hun gezamenlijke deel van de executie-opbrengst uitgekeerd. Dat is
Daaruit krijgt B eerst voldaan tot maximaal de hoogte van zijn vordering. Dus
Als geldt
versimpelt de uitdrukking voor de uitkering aan B tot
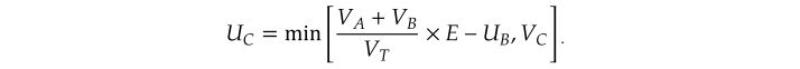
Schuldeiser C krijgt wat er resteert van zijn gezamenlijke deel met B nadat B is voldaan:
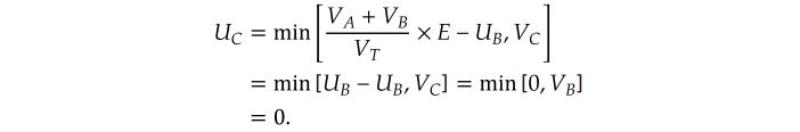
Als schuldeiser B niet volledig wordt voldaan geldt
Daardoor reduceert de uitkering aan C tot
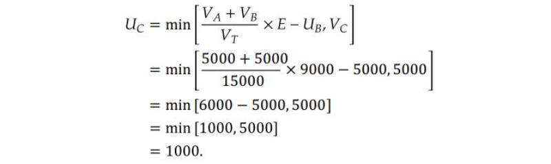
723. In het voorbeeld van par. 7.4.2.4 hebben A, B en C alle drie 5.000 te vorderen, dus V A = V B = V C = 5.000. De totale verhaalsrechten zijn V T = V A + V B + V C = 15.000. Er is 9.000 aan executie-opbrengst te verdelen, E = 9.000.
Dat betekent voor de uitkering aan A:
Verhaalsgerechtigde B wordt volledig voldaan:
Schuldeiser C ontvangt de rest: