Achtergestelde vorderingen (O&R)
Einde inhoudsopgave
Achtergestelde vorderingen (O&R nr. 114) 2019/A.4:A.4 Uitdeling bij twee specifieke achterstellingen
Achtergestelde vorderingen (O&R nr. 114) 2019/A.4
A.4 Uitdeling bij twee specifieke achterstellingen
Documentgegevens:
mr. drs. N.B. Pannevis, datum 01-04-2019
- Datum
01-04-2019
- Auteur
mr. drs. N.B. Pannevis
- JCDI
JCDI:ADS186822:1
- Vakgebied(en)
Insolventierecht / Algemeen
Ondernemingsrecht / Algemeen
Vermogensrecht / Rechtsvorderingen
Verbintenissenrecht / Algemeen
Verbintenissenrecht / Overeenkomst
Deze functie is alleen te gebruiken als je bent ingelogd.
724. Beschouw een geval met drie schuldeisers A, B en C met de vorderingen V A , V B en V C. De verhaalsrechten van A en C zijn gelijk in rang. Verder gaat A boven B en B boven C. Zie par. 7.4.2.6.
Eerst worden de fictieve uitkeringen FA , FB en FC berekend. De werkelijke uitkeringen worden berekend door de fictieve uitkeringen te herverdelen conform de rangorde.
A krijgt zoveel van de fictieve uitkering aan B als nodig is om zijn vordering volledig te voldoen. Dat kan de gehele fictieve uitkering aan B zijn, maar het kan ook minder zijn. Het is minimaal het verschil tussen V A en F A. Dus A ontvangt maximaal de volledige fictieve uitkering aan B, en minimaal het verschil tussen de vordering van A en zijn eigen fictieve uitkering. A ontvangt van B dus min[VA − FA , FB].
Op dezelfde manier ontvangt B een deel van de fictieve uitkering aan C. B ontvangt daaruit het bedrag dat nodig is om de vordering van B volledig te voldoen en maximaal de volledige fictieve uitkering aan C. In de berekening van het bedrag dat B uit de fictieve uitkering van C ontvangt wordt meegenomen dat B zelf een fictieve uitkering krijgt, maar daarvan een deel, min[V A − FA , F B], aan A moet afstaan. B ontvangt dus van de fictieve uitkering aan C een bedrag ter grootte van min[V B − F B + min[V A − F A , F B ] , F C].
De uiteindelijke verdeling van de executie-opbrengst is dan als volgt.
Aan A komt zijn eigen fictieve uitkering toe vermeerderd met een deel van de fictieve uitkering aan B. Verder moet gelden U A ≤ V A. Dat kan met de min-functie worden gehandhaafd. De uitkering aan A wordt dus gegeven door
Als de executie-opbrengst zo klein is dat de fictieve uitkeringen volledig moeten worden doorgestort zonder dat A wordt voldaan, of zodat hij exact wordt voldaan, dan geldt kennelijk F A + F B ≤ V A. In dat geval reduceert de uitkering aan A tot
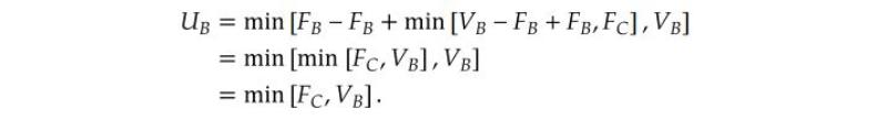
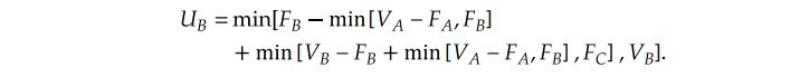
Aan B komt zijn fictieve uitkering toe, vermeerderd met zijn deel van de fictieve uitkering aan C en verminderd met het deel van de fictieve uitkering van B dat aan A toekomt. Bovendien geldt U B ≤ V B. De uitkering aan B is dus:
Als de executie-opbrengst zodanig is dat de volledige fictieve uitkering aan B toekomt aan A, dan is de vordering van A kennelijk groter of gelijk aan de som van de fictieve uitkeringen aan A en B. Anders waren ze niet beide volledig nodig geweest. Dan geldt geldt kennelijk V A ≥ F A + F B, oftewel V A − F A ≥ F B. Daardoor reduceert de uitdrukking voor U B tot
Dan ontvangt B slechts de fictieve uitkering op de vordering van C, tot een maximale hoogte van zijn eigen vordering.
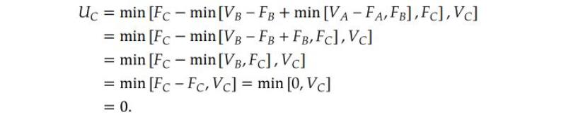
De uitkering aan C is zijn fictieve uitkering minus het deel daarvan dat hij aan B moet afdragen. Hierboven bleek dat B van C ontvangt: min[V B − F B + min[V A − F A , F B] , F C]. De uitkering aan C is dus
Als de executie-opbrengst zodanig is dat de fictieve uitkeringen op de vorderingen B en C volledig toekomen aan de hoger gerangschikte vorderingen A en B, dan geldt V A − F A ≥ F B. Bovendien is kennelijk de fictieve uitkering aan C niet voldoende om B te voldoen, F C ≤ V B. Dit betekent voor de uitkering aan C dat
Als de fictieve uitkeringen volledig toekomen aan A en B ontvangt C niets.
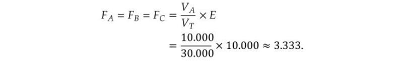
725. In het voorbeeld van par. 7.4.2.6 hebben A, B en C alle drie 10.000 te vorderen en is er een executie-opbrengst van 10.000 te verdelen. Er geldt dus V A = V B = V C = E = 10.000. Het totaal van de verhaalsrechten is V T = V A + V B + V C = 30.000. Omdat de drie verhaalsrechten even groot zijn, zijn de fictieve uitkeringen dat ook:
Hiermee kunnen de uitdrukkingen voor de uitkeringen worden ingevuld. Verhaalsgerechtigde A ontvangt
Verhaalsgerechtigde B ontvangt
Verhaalsgerechtigde C ontvangt