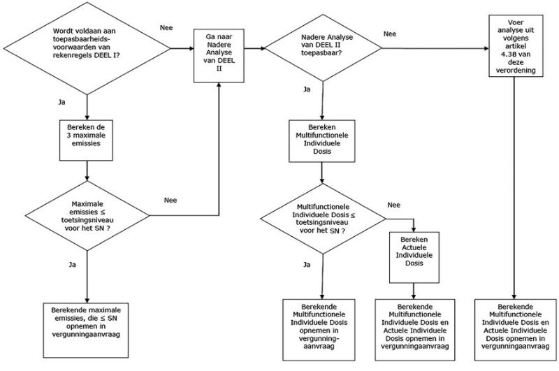
ANVS-verordening basisveiligheidsnormen stralingsbescherming:bijlage 10