Einde inhoudsopgave
Bedrijfswaarde (FM nr. 83) 1997/5.4.1
5.4.1 Doctrine naar aanleiding van het arrest Billiton/Veendam
G.Th.K. Meussen, datum 07-10-1997
- Datum
07-10-1997
- Auteur
G.Th.K. Meussen
- JCDI
JCDI:ADS350386:1
- Vakgebied(en)
Vennootschapsbelasting / Algemeen
Inkomstenbelasting / Algemeen
Inkomstenbelasting / Winst
Voetnoten
Voetnoten
G.J. van Leijenhorst, annotatie onder het arrest Billiton/Veendam in HR 8 juli 1992, nr. 27 678 in BNB 1992/ 298.
Waardering op bedrijfswaarde.
Zo ook HR 5 juni 1996, nr. 30 314, met conclusie A-G Loeb, BNB 1996/250 met noot van G.J. van Leijenhorst inzake de gecorrigeerde vervangingswaarde van de Nieuwe Kerk te Amsterdam alsmede Hof Amsterdam 5 maart 1996, nr. P9410491, M IV, Belastingblad 1996, blz. 383-386, FED 1996/527 inzake de gecorrigeerde vervangingswaarde van een schoolgebouw met sportterrein.
Vergelijk de Wet van 21 oktober 1994, Stb. 762.
Vergelijk: L.G.M. Stevens, De ondernemer en zijn belaste milieu, MBB nr. 11, november 1992, blz. 339 en R.M. Kavelaars-Niekoop, Opgeruimd staat netjes, Weekblad 1992/ 6019, blz. 1079.
J.L.P. Piet, Bodemvervuiling drukt opbrengst og-heffing, Financieel Dagblad, 6 augustus 1992.
Blijkens HR 11 september 1991, nr. 27 638, Belastingblad 1996, blz. 231 dient in het kader van de heffing van de gemeentelijke onroerende-zaakbelasting per de peildatum 1 januari 1987, rekening te worden gehouden met de waardedrukkende factor bestaande uit bodemverontreiniging. Deze verontreiniging was per 1 januari 1987 aanwezig en daaraan doet niet af dat die verontreiniging per 1 januari 1987 nog niet bekend was doch pas in maart 1988 werd ontdekt. Idem HR 9 augustus 1996, nr. 31 328, BNB 1996/ 335 betreffende verwerking van asbesthoudende materialen in onroerende zaken.
J. Hoogland, Hoge Raad wijst weg naar lagere og-heffing, Financieel Dagblad, 4 augustus 1992.
K.F. Walboom, De bedrijfswaarde of indirecte opbrengstwaarde als heffingsgrondslag voor onroerende-zaakbelastingen, FED 1992/713, blz. 2469-2480.
De gecorrigeerde vervangingswaarde in de gemeentelijke onroerend-goedbelastingen, brochure nr. 23 van het Fiscaal Economisch Instituut van de Erasmus Universiteit te Rotterdam.
J. Klaassen, Onroerend-goedbelasting en de vervangingswaarde van onroerend goed, In: KAFI-bundel 'Geld en Goed', Stichting KAFI, Arnhem, 1985.
Tap.
Niet zijnde exploitatie van onroerende zaken.
In gelijke zin: Walboom, t.a.p.
Vergelijk HR 8 juli 1992, nr. 27 003 met conclusie A-G Moltmaker, BNB 1992/297 met noot van G.J. van Leijenhorst (gemeente Wijchen).
M.H.M. Smeets, De gecorrigeerde vervangingswaarde in de onroerende-zaakbelastingen, Weekblad 1992/ 6035, blz. 1715-1725.
De gecorrigeerde vervangingswaarde in de gemeentelijke onroerend-goedbelasting en, Fiscaal Economisch Instituut (FEI) van de Erasmus Universiteit Rotterdam, brochure nr. 23.
Als onderzoeker aan de Erasmus Universiteit Rotterdam één van de opstellers van het zogenaamde FEI-rapport.
HR 8 juli 1992, nr. 27 003, met conclusie A-G Moltmaker, BNB 1992/ 297 met noot van G.J. van Leijenhorst (gemeente Wijchen). HR 8 juli 1992, nr. 27 678, met conclusie A-G Moltmaker, BNB 1992/ 298, met noot van G.J. van Leijenhorst.
J.A. Monsma, Zijn de onroerende-zaakbelastingen toe aan een opknapbeurt?, Weekblad 1992/ 6035, blz. 1726-1733.
In gelijke zin: L.G.M. Stevens, Commissie-De Kam rapporteert: Belastingen omlaag!!, Weekblad 1992/6024, blz. 1258. Naar zijn mening is door de arresten van 8 juli 1992 een subjectief element in de waardegrondslag geslopen, dat zich slecht verdraagt met het objectieve karakter van de onroerende-zaakbelasting.
Art. 273, derde lid Gemeentewet (tekst tot 1 januari 1995) gaat bij de vaststelling van de waarde in het economische verkeer uit van de fictieve veronderstellingen dat de desbetreffende onroerende zaak leeg en vrij van persoonlijke en zakelijke lasten wordt verkocht en dat het direct en in volle omvang in gebruik kan worden genomen door de koper. Dit schakelt de huidige eigenaar als potentiële gegadigde uit waardoor de subjectieve gebruikswaarde voor de eigenaar geen rol speelt bij de bepaling van de waarde in het economische verkeer en er in zoverre dus sprake is van een 'objectieve' waarde.
Ta.p., blz. 166.
Niet alleen is er veel gepubliceerd naar aanleiding van het arrest Billiton /Veendam, het arrest heeft ook geleid tot een fundamentele bezinning op de begrippen 'gecorrigeerde vervangingswaarde' en 'bedrijfswaarde' in het kader van de heffing van de onroerende-zaakbelasting. Teneinde een goed beeld te krijgen van de verschillende opvattingen wordt er in deze paragraaf stap voor stap ingegaan op zowel positieve als negatieve reacties op het arrest. Bedacht moet worden dat door dit arrest een grote vrees ontstond voor een uitholling van de heffingsgrondslag van de onroerende-zaakbelasting waarbij men tevens voorzag dat er een aanmerkelijke lastenverschuiving (ten gunste) van ondernemingen naar (en ten laste van) particulieren zou plaatsvinden.
Van Leijenhorst1 juicht de koppeling toe die in dit arrest gemaakt wordt tussen de heffing van de onroerende-zaakbelasting en de waarde (in economische zin) die een onroerende zaak voor de belastingplichtige heeft. Hij betreurt echter het discriminerende effect van het arrest, dat wil zeggen: de bedrijfswaarde geldt niet als waarderingsmaatstaf voor de onroerende zaken, die worden gewaardeerd op de voet van art. 273, derde lid, Gemeentewet (de courante onroerende zaken). Tevens is deze waarderingsmaatstaf2 niet van toepassing voor onroerende zaken, die vallen onder art. 273, vierde en vijfde lid, Gemeentewet (de incourante onroerende zaken), voorzover deze buiten de commerciële sfeer worden gebezigd3. Van Leijenhorst vraagt zich af of deze in zijn ogen onrechtvaardigheid niet door de wetgever door middel van een wetswijziging kan worden opgeheven4.
Naar aanleiding van het arrest Billiton/Veendam zijn enkele auteurs5 op het gebied van winstbelastingen van mening dat de aanslagen onroerende-zaakbelasting ten aanzien van vervuilde terreinen met succes kunnen worden bestreden. Piet6 stelt dat vervuilde bodem niet verhandelbaar is en dus geen waarde in het economisch verkeer heeft. De heffingsgrondslag voor de onroerende-zaakbelasting zou bij een vervuild terrein bijgevolg 'nul' moeten zijn7. Hoogland8 ziet het arrest als een 'handreiking naar het bedrijfsleven'. Hij verwacht dat met name industriële bedrijven (die werkzaam zijn in een branche waar de marktomstandigheden structureel moeilijk zijn) daardoor met succes aanspraak kunnen gaan maken op een lagere onroerende-zaakheffing.
Naar aanleiding van het arrest Billiton/Veendam gaat Walboom9 uitgebreid in op de achtergronden en de implicaties ervan voor de praktijk. Hij stelt onder andere de vraag aan de orde of de gecorrigeerde vervangingswaarde opgevat moet worden als een geobjectiveerd waardebegrip dan wel een waarbij de waarde in relatie tot het subject centraal staat.
Aangaande het waardebegrip dat ten grondslag ligt aan de heffing van de onroerende-zaakbelasting kunnen we spreken van twee (elkaar tegengestelde) leerstukken, voor het gemak te noemen de 'Rotterdamse leer' en de 'Amsterdamse leer'. De 'Rotterdamse leer'10 verdedigt een geobjectiveerd waardebegrip. De Hoge Raad en A-G Moltmaker wijzen deze visie echter in het arrest Billiton/ Veendam af. De zogenaamde 'Amsterdamse lee?11 stelt dat de staatssecretaris het begrip vervangingswaarde dermate ruim heeft gedefinieerd dat daaronder ook kan worden gebracht een lagere (bedrijfs)waarde, die voortvloeit uit verminderde opbrengstmogelijkheden van incourante onroerende zaken (indien de exploitatie onvoldoende rendement c.q. verlies oplevert). In het arrest Billiton/ Veendam heeft de Hoge Raad voor de 'Amsterdamse leer' gekozen.
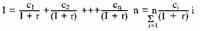
In de visie van Klaassen12, een vertegenwoordiger van de 'Amsterdamse leer', wordt de bedrijfswaarde of de indirecte opbrengstwaarde (na toerekening aan het desbetreffende activum) ontleend aan de contante waarde van de toekomstige ontvangsten en toekomstige uitgaven samenhangend met de productie waarvoor de onroerende zaak wordt gebruikt. Zijn formule voor de berekening van de bedrijfswaarde ziet er als volgt uit:
waarbij
I = bedrijfswaarde
c = het saldo van ontvangsten en uitgaven
1 = jaar 1
2 = jaar 2 r = rentevoet
n = resterende levensduur in jaren.
Walboom kan wel een heel stuk meegaan in de visie van Klaassen maar vestigt tevens de aandacht op een aantal andere aspecten. Zo kan volgens hem de berekening van de bedrijfswaarde (in tegenstelling tot de gecorrigeerde vervangingswaarde) veelal uitsluitend op indirecte wijze plaatsvinden, namelijk door uit te gaan van de winstverwachtingen van de onderneming in haar totaliteit (na schoning van wezensvreemde elementen daarin) en gevolgd door toerekening aan de desbetreffende onroerende zaak. Ook is hij in afwijking van de door Klaassen voorgestane formule van mening (ofschoon naar zijn eigen zeggen theoretisch minder juist) dat de bedrijfswaarde globaal kan worden benaderd door bijvoorbeeld voor de toekomst de geprognotiseerde winsten van de laatste vijf of zes jaren in aanmerking te nemen. Met een restrictie echter: uitsluitend als de verwachting gerechtvaardigd is dat de tendens in de winstontwikkeling wordt voortgezet.
Duidelijk is dat de diverse auteurs worstelen met de vraag hoe nu in concreto de bedrijfswaarde van een onroerende zaak moet worden berekend. Bij verhuurde onroerende zaken is dat minder een probleem omdat daarbij de huuropbrengsten als bepalend voor de waarde van de onroerende zaak kunnen worden aangemerkt. Bij complementair verbonden onroerende zaken, die dus dienstbaar zijn aan de uitoefening van een onderneming13, ligt de situatie aanmerkelijk moeilijker. Aan Klaassen kan worden tegengeworpen dat hij uitgaat van het saldo van ontvangsten en uitgaven in een bepaald jaar (c) zonder dat kenbaar wordt welke bijdrage de desbetreffende onroerende zaak aan de resultaten van de onderneming levert. Hetzelfde geldt overigens voor Walboom, die de toekomstige winsten van de onderneming als uitgangspunt neemt bij een bedrijfswaardeberekening zonder daarbij aan te geven welke bijdrage de desbetreffende onroerende zaak aan de resultaten van de onderneming levert.
Of het aantal gevallen waarin men zich met succes op het Billiton/Veendam-arrest kan beroepen groot is (c.q. zal zijn), is nog maar de vraag. Om namelijk een onroerende zaak voor de onroerende-zaakbelasting op bedrijfswaarde te kunnen waarderen, moet aan de voorwaarde voldaan zijn dat er sprake is van een al dan niet lagere winstcapaciteit in één of in alle productiesectoren van de onderneming.
Conclusie14: De Hoge Raad conformeert zich in het Billiton/Veendam-arrest aan de 'Amsterdamse leer' (van Klaassen). In feite houdt de Hoge Raad alleen nog voor één onderdeel het objectieve karakter van de onroerende-zaakbelastingen voor de gecorrigeerde vervangingswaarde in stand, namelijk indien de incourante onroerende zaak bij een ander dan de eigenaar in gebruik is. In dat geval is de waarde voor de eigenaar tevens de waarde voor de gebruiker15.
Smeets16 (onderzoeker aan de Erasmus Universiteit te Rotterdam) heeft kritiek op de visie van ons hoogste rechtscollege en schrijft daarover het volgende: Als de wetgever op een zo essentieel en fundamenteel uitgangspunt als het objectieve en zakelijke karakter van de ozb (onroerende-zaakbelasting/GM) een uitzondering zou hebben willen maken, dan zou het toch meer voor de hand hebben gelegen, dat daarop door de wetgever uitdrukkelijk zou zijn gewezen. Juist nu dit niet is gebeurd, acht ik het bepaald onwaarschijnlijk dat de wetgever een zodanige afwijking heeft gewenst.'
Conclusie van Smeets: Uit de parlementaire geschiedenis kan niet eenduidig een gesubjectiveerd waardebegrip voor de onroerende-zaakbelasting met betrekking tot commerciële onroerende zaken afgeleid worden. Weliswaar heeft de wetgever met de invoering van de gecorrigeerde vervangingswaarde volgens A-G Moltmaker bewust subjectieve elementen geïntroduceerd, maar dat strookt niet met het feit dat A-G Moltmaker op verschillende momenten in zijn betoog objectiveringen inbouwt.
De onderzoekers van de Erasmus Universiteit Rotterdam17 (opstellers van het FEI-rapport en daarmee tevens geestelijke vaders van de 'Rotterdamse leer') oordelen afwaardering op (lagere) bedrijfswaarde van een onroerende zaak geoorloofd als er bijvoorbeeld sprake is van een slechte conjunctuur. Deze mening staat weliswaar niet lijnrecht tegenover die van A-G Moltmaker, maar volgens Smeets18 blijft 'Rotterdam' met het FEI-rapport nog vrij redelijk binnen het objectieve stelsel, terwijl A-G Moltmaker veel meer subjectieve factoren bij de waardering een rol laat spelen.
Nog een ander kritiekpunt op het arrest Billiton/Veendam brengt Smeets ter sprake: A-G Moltmaker maakt onderscheid tussen commerciële en nietcommerciële onroerende zaken. In het laatste geval spelen winstmogelijkheden geen rol en is de bedrijfswaarde geen waarderingsmaatstaf. Bij commerciële onroerende zaken spelen echter de winstmogelijkheden wel een belangrijke rol, zij het dat deze moeten worden geobjectiveerd. Deze objectivering is volgens A-G Moltmaker bijvoorbeeld noodzakelijk indien het ontbreken van winstperspectief het gevolg is van slecht ondernemerschap of van ongunstige kapitalisatie.
Smeets begrijpt niet dat ons hoogste rechtscollege in casu zonder enige toelichting de in de vennootschappelijke jaarrekening toegepaste afwaardering tot op bedrijfswaarde voor de onroerende-zaakbelasting overneemt. Door het toelaten van subjectieve invloeden ontstaat er volgens hem een rechtsongelijkheid tussen eigenaren van woningen en niet commerciële zaken aan de ene kant en commerciële zaken aan de andere kant.
Ook is de toewijzing van de bedrijfswaarde aan de diverse activa in hoge mate arbitrair. Bij de onroerende-zaakbelasting (waar de vaststelling van de waarde directe en onherroepelijke gevolgen oproept) is dit onaanvaardbaar. Smeets memoreert dat bij het Billiton/Veendam-arrest uit niets blijkt, dat de controlerend accountant zich heeft gebogen over de verdeling van de bedrijfswaarde over de duurzame activa en dat is op zijn minst toch wel merkwaardig te noemen.
Conclusie van Smeets: 'De consequenties van de 8 juli-arresten19 van de Hoge Raad zijn nauwelijks aanvaardbaar te achten, gelet op het feit, dat door de invulling die de Hoge Raad aan de huidige wettelijke bepalingen geeft, bedrijfsmatig gebruikte onroerende zaken wederom voor een meer dan aanzienlijk deel buiten de heffing van de ozb (onroerende-zaakbelasting/GM) vallen.'
Ook Monsma20 acht het evident dat de invulling die de Hoge Raad heeft gegeven aan de gecorrigeerde vervangingswaarde, onverenigbaar is met het objectieve, zakelijke karakter van de onroerende-zaakbelasting.21
Conclusie: De kritiek van Smeets, Monsma en Stevens op het Billiton /Veen-damarrest is verklaarbaar vanuit hun bezorgdheid over een mogelijke verschuiving van onroerende-zaaklasten van bedrijven naar particulieren. Blijkens de parlementaire behandeling van de Wet van 22 december 1982, Stb. 723 is het begrip `bedrijfswaarde' aldaar expliciet aan de orde geweest. De uitkomst van het arrest Billiton/Veendam behoeft dan ook geen verbazing te wekken en dient als juist te worden gekwalificeerd. Smeets en Monsma ontkennen bovendien de maatschappelijke realiteit als zij in een situatie van extreme onderrentabiliteit van een onderneming, daaraan voor de heffing van de onroerende-zaakbelasting geen belang toekennen.
Bovendien heeft de wetgever door het invoeren van de gecorrigeerde vervangingswaarde, de waarde die de onroerende zaak voor de eigenaar zelf heeft als waardebepalende factor in aanmerking willen nemen. Daarmee is welbewust een subjectief element in de waardering ingevoerd22. In deze gedachtegang is het vanzelfsprekend dat de gecorrigeerde vervangingswaarde van een in de commerciële sfeer gebezigde onroerende zaak niet hoger gesteld kan worden dan de bedrijfswaarde, de waarde die de onroerende zaak in economische zin voor de huidige eigenaar vertegenwoordigt76.
Tot slot een opmerking van Kruime123. Volgens hem interpreteert de Hoge Raad de gedachtegang van de wetgever naar aanleiding van het arrest Billiton/Veendam als volgt: De waarde die de onroerende zaak in economische zin voor de eigenaar heeft, wordt gevonden door van de veronderstelling uit te gaan dat voor die zaak een markt zou zijn waarop de tegenwoordige eigenaar niet alleen als verkoper zou opereren, maar tevens als koper de bewuste zaak zou willen verwerven met handhaving van aard en bestemming.
Aangaande de invulling van het begrip bedrijfswaarde concludeert Kruimel: `Indien er sprake is van in relatie tot de investeringen te lage winsten als gevolg van ontwikkelingen in de conjunctuur of in de desbetreffende bedrijfstak kunnen daarbij aanleiding zijn om de bedrijfswaarde aanzienlijk lager te stellen dan de kostprijs vermindert met normale afschrijvingen'